



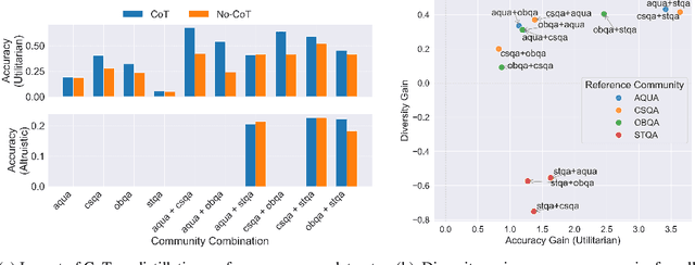
Abstract:The current era of AI development places a heavy emphasis on training large models on increasingly scaled-up datasets. This paradigm has catalyzed entirely new product categories, such as LLM chatbots, while also raising concerns about data privacy and consumer choice. In this paper, we consider questions of data portability and user autonomy in the context of LLMs that "reason" using chain-of-thought (CoT) traces, computing intermediate text artifacts from user input before producing a final output. We first interpret recent data privacy and portability law to argue that these intermediate computations qualify as users' personal data. Then, building on the existing framework of Conscious Data Contribution, we show how communities who receive low utility from an available model can aggregate and distill their shared knowledge into an alternate model better aligned with their goals. We verify this approach empirically and investigate the effects of community diversity, reasoning granularity, and community size on distillation performance.
Abstract:The integration of AI into daily life has generated considerable attention and excitement, while also raising concerns about automating algorithmic harms and re-entrenching existing social inequities. While the responsible deployment of trustworthy AI systems is a worthy goal, there are many possible ways to realize it, from policy and regulation to improved algorithm design and evaluation. In fact, since AI trains on social data, there is even a possibility for everyday users, citizens, or workers to directly steer its behavior through Algorithmic Collective Action, by deliberately modifying the data they share with a platform to drive its learning process in their favor. This paper considers how these grassroots efforts to influence AI interact with methods already used by AI firms and governments to improve model trustworthiness. In particular, we focus on the setting where the AI firm deploys a differentially private model, motivated by the growing regulatory focus on privacy and data protection. We investigate how the use of Differentially Private Stochastic Gradient Descent (DPSGD) affects the collective's ability to influence the learning process. Our findings show that while differential privacy contributes to the protection of individual data, it introduces challenges for effective algorithmic collective action. We characterize lower bounds on the success of algorithmic collective action under differential privacy as a function of the collective's size and the firm's privacy parameters, and verify these trends experimentally by simulating collective action during the training of deep neural network classifiers across several datasets.
Abstract:Small changes in how a prompt is worded can lead to meaningful differences in the behavior of large language models (LLMs), raising concerns about the stability and reliability of their evaluations. While prior work has explored simple formatting changes, these rarely capture the kinds of natural variation seen in real-world language use. We propose a controlled paraphrasing framework based on a taxonomy of minimal linguistic transformations to systematically generate natural prompt variations. Using the BBQ dataset, we validate our method with both human annotations and automated checks, then use it to study how LLMs respond to paraphrased prompts in stereotype evaluation tasks. Our analysis shows that even subtle prompt modifications can lead to substantial changes in model behavior. These results highlight the need for robust, paraphrase-aware evaluation protocols.




Abstract:Tools for analyzing character portrayal in fiction are valuable for writers and literary scholars in developing and interpreting compelling stories. Existing tools, such as visualization tools for analyzing fictional characters, primarily rely on explicit textual indicators of character attributes. However, portrayal is often implicit, revealed through actions and behaviors rather than explicit statements. We address this gap by leveraging large language models (LLMs) to uncover implicit character portrayals. We start by generating a dataset for this task with greater cross-topic similarity, lexical diversity, and narrative lengths than existing narrative text corpora such as TinyStories and WritingPrompts. We then introduce LIIPA (LLMs for Inferring Implicit Portrayal for Character Analysis), a framework for prompting LLMs to uncover character portrayals. LIIPA can be configured to use various types of intermediate computation (character attribute word lists, chain-of-thought) to infer how fictional characters are portrayed in the source text. We find that LIIPA outperforms existing approaches, and is more robust to increasing character counts (number of unique persons depicted) due to its ability to utilize full narrative context. Lastly, we investigate the sensitivity of portrayal estimates to character demographics, identifying a fairness-accuracy tradeoff among methods in our LIIPA framework -- a phenomenon familiar within the algorithmic fairness literature. Despite this tradeoff, all LIIPA variants consistently outperform non-LLM baselines in both fairness and accuracy. Our work demonstrates the potential benefits of using LLMs to analyze complex characters and to better understand how implicit portrayal biases may manifest in narrative texts.




Abstract:The deployment of AI in consumer products is currently focused on the use of so-called foundation models, large neural networks pre-trained on massive corpora of digital records. This emphasis on scaling up datasets and pre-training computation raises the risk of further consolidating the industry, and enabling monopolistic (or oligopolistic) behavior. Judges and regulators seeking to improve market competition may employ various remedies. This paper explores dissolution -- the breaking up of a monopolistic entity into smaller firms -- as one such remedy, focusing in particular on the technical challenges and opportunities involved in the breaking up of large models and datasets. We show how the framework of Conscious Data Contribution can enable user autonomy during under dissolution. Through a simulation study, we explore how fine-tuning and the phenomenon of "catastrophic forgetting" could actually prove beneficial as a type of machine unlearning that allows users to specify which data they want used for what purposes.




Abstract:Designing deep neural network classifiers that perform robustly on distributions differing from the available training data is an active area of machine learning research. However, out-of-distribution generalization for regression-the analogous problem for modeling continuous targets-remains relatively unexplored. To tackle this problem, we return to first principles and analyze how the closed-form solution for Ordinary Least Squares (OLS) regression is sensitive to covariate shift. We characterize the out-of-distribution risk of the OLS model in terms of the eigenspectrum decomposition of the source and target data. We then use this insight to propose a method for adapting the weights of the last layer of a pre-trained neural regression model to perform better on input data originating from a different distribution. We demonstrate how this lightweight spectral adaptation procedure can improve out-of-distribution performance for synthetic and real-world datasets.
Abstract:Research on algorithmic recourse typically considers how an individual can reasonably change an unfavorable automated decision when interacting with a fixed decision-making system. This paper focuses instead on the online setting, where system parameters are updated dynamically according to interactions with data subjects. Beyond the typical individual-level recourse, the online setting opens up new ways for groups to shape system decisions by leveraging the parameter update rule. We show empirically that recourse can be improved when users coordinate by jointly computing their feature perturbations, underscoring the importance of collective action in mitigating adverse automated decisions.




Abstract:Machine Learning (ML) is an expressive framework for turning data into computer programs. Across many problem domains -- both in industry and policy settings -- the types of computer programs needed for accurate prediction or optimal control are difficult to write by hand. On the other hand, collecting instances of desired system behavior may be relatively more feasible. This makes ML broadly appealing, but also induces data sensitivities that often manifest as unexpected failure modes during deployment. In this sense, the training data available tend to be imperfect for the task at hand. This thesis explores several data sensitivities of modern machine learning and how to address them. We begin by discussing how to prevent ML from codifying prior human discrimination measured in the training data, where we take a fair representation learning approach. We then discuss the problem of learning from data containing spurious features, which provide predictive fidelity during training but are unreliable upon deployment. Here we observe that insofar as standard training methods tend to learn such features, this propensity can be leveraged to search for partitions of training data that expose this inconsistency, ultimately promoting learning algorithms invariant to spurious features. Finally, we turn our attention to reinforcement learning from data with insufficient coverage over all possible states and actions. To address the coverage issue, we discuss how causal priors can be used to model the single-step dynamics of the setting where data are collected. This enables a new type of data augmentation where observed trajectories are stitched together to produce new but plausible counterfactual trajectories.




Abstract:Fair decision making has largely been studied with respect to a single decision. In this paper we investigate the notion of fairness in the context of sequential decision making where multiple stakeholders can be affected by the outcomes of decisions, and where decision making may be informed by additional constraints and criteria beyond the requirement of fairness. In this setting, we observe that fairness often depends on the history of the sequential decision-making process and not just on the current state. To advance our understanding of this class of fairness problems, we define the notion of non-Markovian fairness in the context of sequential decision making. We identify properties of non-Markovian fairness, including notions of long-term, anytime, periodic, and bounded fairness. We further explore the interplay between non-Markovian fairness and memory, and how this can support construction of fair policies in sequential decision-making settings.




Abstract:Modeling the mechanics of fluid in complex scenes is vital to applications in design, graphics, and robotics. Learning-based methods provide fast and differentiable fluid simulators, however most prior work is unable to accurately model how fluids interact with genuinely novel surfaces not seen during training. We introduce SURFSUP, a framework that represents objects implicitly using signed distance functions (SDFs), rather than an explicit representation of meshes or particles. This continuous representation of geometry enables more accurate simulation of fluid-object interactions over long time periods while simultaneously making computation more efficient. Moreover, SURFSUP trained on simple shape primitives generalizes considerably out-of-distribution, even to complex real-world scenes and objects. Finally, we show we can invert our model to design simple objects to manipulate fluid flow.