



Abstract:Over-the-air computation (AirComp) has emerged as a promising technology for fast wireless data aggregation by harnessing the superposition property of wireless multiple-access channels. This paper investigates a fluid antenna (FA) array-enhanced AirComp system, employing the new degrees of freedom achieved by antenna movements. Specifically, we jointly optimize the transceiver design and antenna position vector (APV) to minimize the mean squared error (MSE) between target and estimated function values. To tackle the resulting highly non-convex problem, we adopt an alternating optimization technique to decompose it into three subproblems. These subproblems are then iteratively solved until convergence, leading to a locally optimal solution. Numerical results show that FA arrays with the proposed transceiver and APV design significantly outperform the traditional fixed-position antenna arrays in terms of MSE.





Abstract:Over-the-air computation (AirComp) is emerging as a promising technology for wireless data aggregation. However, its performance is hampered by users with poor channel conditions. To mitigate such a performance bottleneck, this paper introduces an active reconfigurable intelligence surface (RIS) into the AirComp system. Specifically, we begin by exploring the ideal RIS model and propose a joint optimization of the transceiver design and RIS configuration to minimize the mean squared error (MSE) between the target and estimated function values. To manage the resultant tri-convex optimization problem, we employ the alternating optimization (AO) technique to decompose it into three convex subproblems, each solvable optimally. Subsequently, we investigate two specific cases and analyze their respective asymptotic performance to reveal the superiority of the active RIS in mitigating the MSE relative to its passive counterpart. Lastly, we adapt our transceiver and RIS configuration design to account for the self-interference of the active RIS. To handle the resultant highly non-convex problem, we further devise a two-layer AO framework. Simulation results demonstrate the superiority of the active RIS in enhancing AirComp performance compared to its passive counterpart.

Abstract:In this paper, we propose leveraging the active reconfigurable intelligence surface (RIS) to support reliable gradient aggregation for over-the-air computation (AirComp) enabled federated learning (FL) systems. An analysis of the FL convergence property reveals that minimizing gradient aggregation errors in each training round is crucial for narrowing the convergence gap. As such, we formulate an optimization problem, aiming to minimize these errors by jointly optimizing the transceiver design and RIS configuration. To handle the formulated highly non-convex problem, we devise a two-layer alternative optimization framework to decompose it into several convex subproblems, each solvable optimally. Simulation results demonstrate the superiority of the active RIS in reducing gradient aggregation errors compared to its passive counterpart.

Abstract:This letter investigates computation offloading and transmit precoding co-design for multi-access edge computing (MEC), where multiple MEC users (MUs) equipped with multiple antennas access the MEC server in a non-orthogonal multiple access manner. We aim to minimize the total energy consumption of all MUs while satisfying the latency constraints by jointly optimizing the computational frequency, offloading ratio, and precoding matrix of each MU. For tractability, we first decompose the original problem into three subproblems and then solve these subproblems iteratively until convergence. Simulation results validate the convergence of the proposed method and demonstrate its superiority over baseline algorithms.

Abstract:We consider a broadband over-the-air computation empowered model aggregation approach for wireless federated learning (FL) systems and propose to leverage an intelligent reflecting surface (IRS) to combat wireless fading and noise. We first investigate the conventional node-selection based framework, where a few edge nodes are dropped in model aggregation to control the aggregation error. We analyze the performance of this node-selection based framework and derive an upper bound on its performance loss, which is shown to be related to the selected edge nodes. Then, we seek to minimize the mean-squared error (MSE) between the desired global gradient parameters and the actually received ones by optimizing the selected edge nodes, their transmit equalization coefficients, the IRS phase shifts, and the receive factors of the cloud server. By resorting to the matrix lifting technique and difference-of-convex programming, we successfully transform the formulated optimization problem into a convex one and solve it using off-the-shelf solvers. To improve learning performance, we further propose a weight-selection based FL framework. In such a framework, we assign each edge node a proper weight coefficient in model aggregation instead of discarding any of them to reduce the aggregation error, i.e., amplitude alignment of the received local gradient parameters from different edge nodes is not required. We also analyze the performance of this weight-selection based framework and derive an upper bound on its performance loss, followed by minimizing the MSE via optimizing the weight coefficients of the edge nodes, their transmit equalization coefficients, the IRS phase shifts, and the receive factors of the cloud server. Furthermore, we use the MNIST dataset for simulations to evaluate the performance of both node-selection and weight-selection based FL frameworks.





Abstract:In this paper, we develop an efficient training beam sequence design approach for millimeter wave MISO tracking systems. We impose a discrete state Markov process assumption on the evolution of the angle of departure and introduce the maximum a posteriori criterion to track it in each beam training period. Since it is infeasible to derive an explicit expression for the resultant tracking error probability, we turn to its upper bound, which possesses a closed-form expression and is therefore leveraged as the objective function to optimize the training beam sequence. Considering the complicated objective function and the unit modulus constraints imposed by analog phase shifters, we resort to the particle swarm algorithm to solve the formulated optimization problem. Numerical results validate the superiority of the proposed training beam sequence design approach.





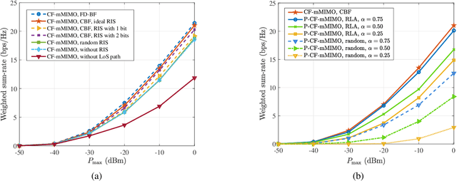
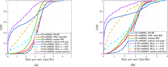
Abstract:The combination of cell-free massive multiple-input multiple-output (CF-mMIMO) and reconfigurable intelligent surface (RIS) is envisioned as a promising paradigm to improve network capacity and enhance coverage capability. However, to reap full benefits of RIS-aided CF-mMIMO, the main challenge is to efficiently design cooperative beamforming (CBF) at base stations (BSs), RISs, and users. Firstly, we investigate the fractional programing to convert the weighted sum-rate (WSR) maximization problem into a tractable optimization problem. Then, the alternating optimization framework is employed to decompose the transformed problem into a sequence of subproblems, i.e., hybrid BF (HBF) at BSs, passive BF at RISs, and combining at users. In particular, the alternating direction method of multipliers algorithm is utilized to solve the HBF subproblem at BSs. Concretely, the analog BF design with unit-modulus constraints is solved by the manifold optimization (MO) while we obtain a closed-form solution to the digital BF design that is essentially a convex least-square problem. Additionally, the passive BF at RISs and the analog combining at users are designed by primal-dual subgradient and MO methods. Moreover, considering heavy communication costs in conventional CF-mMIMO systems, we propose a partially-connected CF-mMIMO (P-CF-mMIMO) framework to decrease the number of connections among BSs and users. To better compromise WSR performance and network costs, we formulate the BS selection problem in the P-CF-mMIMO system as a binary integer quadratic programming (BIQP) problem, and develop a relaxed linear approximation algorithm to handle this BIQP problem. Finally, numerical results demonstrate superiorities of our proposed algorithms over baseline counterparts.





Abstract:Reconfigurable intelligent surface (RIS) and hybrid beamforming have been envisioned as promising alternatives to alleviate blockage vulnerability and enhance coverage capability for terahertz (THz) multi-user multiple-input multiple-output systems that suffer from severe propagation attenuation and poor diffraction. Considering that the joint beamforming with large-scale array elements at transceivers and RIS is extremely complicated, the codebook based beamforming can be employed in a computationally efficient manner. However, the codeword selection for analog beamforming is an intractable combinatorial optimization (CO) problem. To this end, an iterative alternating search (IAS) algorithm is developed to achieve a near-optimal sum-rate performance with low computational complexity in contrast with the optimal exhaustive search algorithm. According to the THz channel dataset generated by the IAS algorithm, a multi-task learning based analog beam selection (MTL-ABS) framework is developed to further decrease the computation overhead. Specifically, we take the CO problem as a multi-task classification problem and implement multiple beam selection tasks at transceivers and RIS simultaneously. Remarkably, residual network and self-attention mechanism are used to combat the network degradation and mine intrinsic THz channel features. Finally, blockwise convergence analysis and numerical results demonstrate the effectiveness of the MTL-ABS framework over search based counterparts.





Abstract:To leverage massive distributed data and computation resources, machine learning in the network edge is considered to be a promising technique especially for large-scale model training. Federated learning (FL), as a paradigm of collaborative learning techniques, has obtained increasing research attention with the benefits of communication efficiency and improved data privacy. Due to the lossy communication channels and limited communication resources (e.g., bandwidth and power), it is of interest to investigate fast responding and accurate FL schemes over wireless systems. Hence, we investigate the problem of jointly optimized communication efficiency and resources for FL over wireless Internet of things (IoT) networks. To reduce complexity, we divide the overall optimization problem into two sub-problems, i.e., the client scheduling problem and the resource allocation problem. To reduce the communication costs for FL in wireless IoT networks, a new client scheduling policy is proposed by reusing stale local model parameters. To maximize successful information exchange over networks, a Lagrange multiplier method is first leveraged by decoupling variables including power variables, bandwidth variables and transmission indicators. Then a linear-search based power and bandwidth allocation method is developed. Given appropriate hyper-parameters, we show that the proposed communication-efficient federated learning (CEFL) framework converges at a strong linear rate. Through extensive experiments, it is revealed that the proposed CEFL framework substantially boosts both the communication efficiency and learning performance of both training loss and test accuracy for FL over wireless IoT networks compared to a basic FL approach with uniform resource allocation.
