Physikalisch Technische Bundesanstalt, Abbestrasse 2-12, 10587 Berlin, Germany




Abstract:We propose an unrolled algorithm approach for learning spatially adaptive parameter maps in the framework of convolutional synthesis-based $\ell_1$ regularization. More precisely, we consider a family of pre-trained convolutional filters and estimate deeply parametrized spatially varying parameters applied to the sparse feature maps by means of unrolling a FISTA algorithm to solve the underlying sparse estimation problem. The proposed approach is evaluated for image reconstruction of low-field MRI and compared to spatially adaptive and non-adaptive analysis-type procedures relying on Total Variation regularization and to a well-established model-based deep learning approach. We show that the proposed approach produces visually and quantitatively comparable results with the latter approaches and at the same time remains highly interpretable. In particular, the inferred parameter maps quantify the local contribution of each filter in the reconstruction, which provides valuable insight into the algorithm mechanism and could potentially be used to discard unsuited filters.
Abstract:Recent innovations in Magnetic Resonance Imaging (MRI) hardware and software have reignited interest in low-field ($<1\,\mathrm{T}$) and ultra-low-field MRI ($<0.1\,\mathrm{T}$). These technologies offer advantages such as lower power consumption, reduced specific absorption rate, reduced field-inhomogeneities, and cost-effectiveness, presenting a promising alternative for resource-limited and point-of-care settings. However, low-field MRI faces inherent challenges like reduced signal-to-noise ratio and therefore, potentially lower spatial resolution or longer scan times. This chapter examines the challenges and opportunities of low-field and ultra-low-field MRI, with a focus on the role of machine learning (ML) in overcoming these limitations. We provide an overview of deep neural networks and their application in enhancing low-field and ultra-low-field MRI performance. Specific ML-based solutions, including advanced image reconstruction, denoising, and super-resolution algorithms, are discussed. The chapter concludes by exploring how integrating ML with low-field MRI could expand its clinical applications and improve accessibility, potentially revolutionizing its use in diverse healthcare settings.




Abstract:Purpose: To provide a simulation framework for routine neuroimaging test data, which allows for "stress testing" of deep segmentation networks against acquisition shifts that commonly occur in clinical practice for T2 weighted (T2w) fluid attenuated inversion recovery (FLAIR) Magnetic Resonance Imaging (MRI) protocols. Approach: The approach simulates "acquisition shift derivatives" of MR images based on MR signal equations. Experiments comprise the validation of the simulated images by real MR scans and example stress tests on state-of-the-art MS lesion segmentation networks to explore a generic model function to describe the F1 score in dependence of the contrast-affecting sequence parameters echo time (TE) and inversion time (TI). Results: The differences between real and simulated images range up to 19 % in gray and white matter for extreme parameter settings. For the segmentation networks under test the F1 score dependency on TE and TI can be well described by quadratic model functions (R^2 > 0.9). The coefficients of the model functions indicate that changes of TE have more influence on the model performance than TI. Conclusions: We show that these deviations are in the range of values as may be caused by erroneous or individual differences of relaxation times as described by literature. The coefficients of the F1 model function allow for quantitative comparison of the influences of TE and TI. Limitations arise mainly from tissues with the low baseline signal (like CSF) and when the protocol contains contrast-affecting measures that cannot be modelled due to missing information in the DICOM header.




Abstract:Quantitative Magnetic Resonance Imaging (qMRI) enables the reproducible measurement of biophysical parameters in tissue. The challenge lies in solving a nonlinear, ill-posed inverse problem to obtain the desired tissue parameter maps from acquired raw data. While various learned and non-learned approaches have been proposed, the existing learned methods fail to fully exploit the prior knowledge about the underlying MR physics, i.e. the signal model and the acquisition model. In this paper, we propose PINQI, a novel qMRI reconstruction method that integrates the knowledge about the signal, acquisition model, and learned regularization into a single end-to-end trainable neural network. Our approach is based on unrolled alternating optimization, utilizing differentiable optimization blocks to solve inner linear and non-linear optimization tasks, as well as convolutional layers for regularization of the intermediate qualitative images and parameter maps. This design enables PINQI to leverage the advantages of both the signal model and learned regularization. We evaluate the performance of our proposed network by comparing it with recently published approaches in the context of highly undersampled $T_1$-mapping, using both a simulated brain dataset, as well as real scanner data acquired from a physical phantom and in-vivo data from healthy volunteers. The results demonstrate the superiority of our proposed solution over existing methods and highlight the effectiveness of our method in real-world scenarios.


Abstract:We propose a method for fast and automatic estimation of spatially dependent regularization maps for total variation-based (TV) tomography reconstruction. The estimation is based on two distinct sub-networks, with the first sub-network estimating the regularization parameter-map from the input data while the second one unrolling T iterations of the Primal-Dual Three-Operator Splitting (PD3O) algorithm. The latter approximately solves the corresponding TV-minimization problem incorporating the previously estimated regularization parameter-map. The overall network is then trained end-to-end in a supervised learning fashion using pairs of clean-corrupted data but crucially without the need of having access to labels for the optimal regularization parameter-maps.




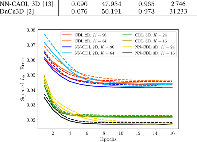
Abstract:Sparsity-based methods have a long history in the field of signal processing and have been successfully applied to various image reconstruction problems. The involved sparsifying transformations or dictionaries are typically either pre-trained using a model which reflects the assumed properties of the signals or adaptively learned during the reconstruction - yielding so-called blind Compressed Sensing approaches. However, by doing so, the transforms are never explicitly trained in conjunction with the physical model which generates the signals. In addition, properly choosing the involved regularization parameters remains a challenging task. Another recently emerged training-paradigm for regularization methods is to use iterative neural networks (INNs) - also known as unrolled networks - which contain the physical model. In this work, we construct an INN which can be used as a supervised and physics-informed online convolutional dictionary learning algorithm. We evaluated the proposed approach by applying it to a realistic large-scale dynamic MR reconstruction problem and compared it to several other recently published works. We show that the proposed INN improves over two conventional model-agnostic training methods and yields competitive results also compared to a deep INN. Further, it does not require to choose the regularization parameters and - in contrast to deep INNs - each network component is entirely interpretable.




Abstract:The concept of sparsity has been extensively applied for regularization in image reconstruction. Typically, sparsifying transforms are either pre-trained on ground-truth images or adaptively trained during the reconstruction. Thereby, learning algorithms are designed to minimize some target function which encodes the desired properties of the transform. However, this procedure ignores the subsequently employed reconstruction algorithm as well as the physical model which is responsible for the image formation process. Iterative neural networks - which contain the physical model - can overcome these issues. In this work, we demonstrate how convolutional sparsifying filters can be efficiently learned by end-to-end training of iterative neural networks. We evaluated our approach on a non-Cartesian 2D cardiac cine MRI example and show that the obtained filters are better suitable for the corresponding reconstruction algorithm than the ones obtained by decoupled pre-training.




Abstract:Purpose: Iterative Convolutional Neural Networks (CNNs) which resemble unrolled learned iterative schemes have shown to consistently deliver state-of-the-art results for image reconstruction problems across different imaging modalities. However, because these methodes include the forward model in the architecture, their applicability is often restricted to either relatively small reconstruction problems or to problems with operators which are computationally cheap to compute. As a consequence, they have so far not been applied to dynamic non-Cartesian multi-coil reconstruction problems. Methods: In this work, we propose a CNN-architecture for image reconstruction of accelerated 2D radial cine MRI with multiple receiver coils. The network is based on a computationally light CNN-component and a subsequent conjugate gradient (CG) method which can be jointly trained end-to-end using an efficient training strategy. We investigate the proposed training-strategy and compare our method to other well-known reconstruction techniques with learned and non-learned regularization methods. Results: Our proposed method outperforms all other methods based on non-learned regularization. Further, it performs similar or better than a CNN-based method employing a 3D U-Net and a method using adaptive dictionary learning. In addition, we empirically demonstrate that even by training the network with only iteration, it is possible to increase the length of the network at test time and further improve the results. Conclusions: End-to-end training allows to highly reduce the number of trainable parameters of and stabilize the reconstruction network. Further, because it is possible to change the length of the network at test time, the need to find a compromise between the complexity of the CNN-block and the number of iterations in each CG-block becomes irrelevant.




Abstract:In this work, we propose an iterative reconstruction scheme (ALONE - Adaptive Learning Of NEtworks) for 2D radial cine MRI based on ground truth-free unsupervised learning of shallow convolutional neural networks. The network is trained to approximate patches of the current estimate of the solution during the reconstruction. By imposing a shallow network topology and constraining the $L_2$-norm of the learned filters, the network's representation power is limited in order not to be able to recover noise. Therefore, the network can be interpreted to perform a low dimensional approximation of the patches for stabilizing the inversion process. We compare the proposed reconstruction scheme to two ground truth-free reconstruction methods, namely a well known Total Variation (TV) minimization and an unsupervised adaptive Dictionary Learning (DIC) method. The proposed method outperforms both methods with respect to all reported quantitative measures. Further, in contrast to DIC, where the sparse approximation of the patches involves the solution of a complex optimization problem, ALONE only requires a forward pass of all patches through the shallow network and therefore significantly accelerates the reconstruction.




Abstract:In this paper we present a generalized Deep Learning-based approach for solving ill-posed large-scale inverse problems occuring in medical image reconstruction. Recently, Deep Learning methods using iterative neural networks and cascaded neural networks have been reported to achieve state-of-the-art results with respect to various quantitative quality measures as PSNR, NRMSE and SSIM across different imaging modalities. However, the fact that these approaches employ the forward and adjoint operators repeatedly in the network architecture requires the network to process the whole images or volumes at once, which for some applications is computationally infeasible. In this work, we follow a different reconstruction strategy by decoupling the regularization of the solution from ensuring consistency with the measured data. The regularization is given in the form of an image prior obtained by the output of a previously trained neural network which is used in a Tikhonov regularization framework. By doing so, more complex and sophisticated network architectures can be used for the removal of the artefacts or noise than it is usually the case in iterative networks. Due to the large scale of the considered problems and the resulting computational complexity of the employed networks, the priors are obtained by processing the images or volumes as patches or slices. We evaluated the method for the cases of 3D cone-beam low dose CT and undersampled 2D radial cine MRI and compared it to a total variation-minimization-based reconstruction algorithm as well as to a method with regularization based on learned overcomplete dictionaries. The proposed method outperformed all the reported methods with respect to all chosen quantitative measures and further accelerates the regularization step in the reconstruction by several orders of magnitude.