



Abstract:This work studies the Tensor Robust Principal Component Analysis (TRPCA) problem, which aims to exactly recover the low-rank and sparse components from their sum. Our model is motivated by the recently proposed linear transforms based tensor-tensor product and tensor SVD. We define a new transforms depended tensor rank and the corresponding tensor nuclear norm. Then we solve the TRPCA problem by convex optimization whose objective is a weighted combination of the new tensor nuclear norm and the $\ell_1$-norm. In theory, we show that under certain incoherence conditions, the convex program exactly recovers the underlying low-rank and sparse components. It is of great interest that our new TRPCA model generalizes existing works. In particular, if the studied tensor reduces to a matrix, our TRPCA model reduces to the known matrix RPCA. Our new TRPCA which is allowed to use general linear transforms can be regarded as an extension of our former TRPCA work which uses the discrete Fourier transform. But their proof of the recovery guarantee is different. Numerical experiments verify our results and the application on image recovery demonstrates the superiority of our method.



Abstract:We consider the problem of minimizing the sum of an average function of a large number of smooth convex components and a general, possibly non-differentiable, convex function. Although many methods have been proposed to solve this problem with the assumption that the sum is strongly convex, few methods support the non-strongly convex case. Adding a small quadratic regularization is a common trick used to tackle non-strongly convex problems; however, it may cause loss of sparsity of solutions or weaken the performance of the algorithms. Avoiding this trick, we propose an accelerated randomized mirror descent method for solving this problem without the strongly convex assumption. Our method extends the deterministic accelerated proximal gradient methods of Paul Tseng \cite{Tseng} and can be applied even when proximal points are computed inexactly. We also propose a scheme for solving the problem when the component functions are non-smooth.


Abstract:The tensor-tensor product (t-product) [M. E. Kilmer and C. D. Martin, 2011] is a natural generalization of matrix multiplication. Based on t-product, many operations on matrix can be extended to tensor cases, including tensor SVD, tensor spectral norm, tensor nuclear norm [C. Lu, et al., 2018] and many others. The linear algebraic structure of tensors are similar to the matrix cases. We develop a Matlab toolbox to implement several basic operations on tensors based on t-product. The toolbox is available at https://github.com/canyilu/tproduct.




Abstract:The recent proposed Tensor Nuclear Norm (TNN) [Lu et al., 2016; 2018a] is an interesting convex penalty induced by the tensor SVD [Kilmer and Martin, 2011]. It plays a similar role as the matrix nuclear norm which is the convex surrogate of the matrix rank. Considering that the TNN based Tensor Robust PCA [Lu et al., 2018a] is an elegant extension of Robust PCA with a similar tight recovery bound, it is natural to solve other low rank tensor recovery problems extended from the matrix cases. However, the extensions and proofs are generally tedious. The general atomic norm provides a unified view of low-complexity structures induced norms, e.g., the $\ell_1$-norm and nuclear norm. The sharp estimates of the required number of generic measurements for exact recovery based on the atomic norm are known in the literature. In this work, with a careful choice of the atomic set, we prove that TNN is a special atomic norm. Then by computing the Gaussian width of certain cone which is necessary for the sharp estimate, we achieve a simple bound for guaranteed low tubal rank tensor recovery from Gaussian measurements. Specifically, we show that by solving a TNN minimization problem, the underlying tensor of size $n_1\times n_2\times n_3$ with tubal rank $r$ can be exactly recovered when the given number of Gaussian measurements is $O(r(n_1+n_2-r)n_3)$. It is order optimal when comparing with the degrees of freedom $r(n_1+n_2-r)n_3$. Beyond the Gaussian mapping, we also give the recovery guarantee of tensor completion based on the uniform random mapping by TNN minimization. Numerical experiments verify our theoretical results.




Abstract:Spectral Clustering (SC) is one of the most widely used methods for data clustering. It first finds a low-dimensonal embedding $U$ of data by computing the eigenvectors of the normalized Laplacian matrix, and then performs k-means on $U^\top$ to get the final clustering result. In this work, we observe that, in the ideal case, $UU^\top$ should be block diagonal and thus sparse. Therefore we propose the Sparse Spectral Clustering (SSC) method which extends SC with sparse regularization on $UU^\top$. To address the computational issue of the nonconvex SSC model, we propose a novel convex relaxation of SSC based on the convex hull of the fixed rank projection matrices. Then the convex SSC model can be efficiently solved by the Alternating Direction Method of \canyi{Multipliers} (ADMM). Furthermore, we propose the Pairwise Sparse Spectral Clustering (PSSC) which extends SSC to boost the clustering performance by using the multi-view information of data. Experimental comparisons with several baselines on real-world datasets testify to the efficacy of our proposed methods.




Abstract:This work studies the Generalized Singular Value Thresholding (GSVT) operator ${\text{Prox}}_{g}^{{\sigma}}(\cdot)$, \begin{equation*} {\text{Prox}}_{g}^{{\sigma}}(B)=\arg\min\limits_{X}\sum_{i=1}^{m}g(\sigma_{i}(X)) + \frac{1}{2}||X-B||_{F}^{2}, \end{equation*} associated with a nonconvex function $g$ defined on the singular values of $X$. We prove that GSVT can be obtained by performing the proximal operator of $g$ (denoted as $\text{Prox}_g(\cdot)$) on the singular values since $\text{Prox}_g(\cdot)$ is monotone when $g$ is lower bounded. If the nonconvex $g$ satisfies some conditions (many popular nonconvex surrogate functions, e.g., $\ell_p$-norm, $0<p<1$, of $\ell_0$-norm are special cases), a general solver to find $\text{Prox}_g(b)$ is proposed for any $b\geq0$. GSVT greatly generalizes the known Singular Value Thresholding (SVT) which is a basic subroutine in many convex low rank minimization methods. We are able to solve the nonconvex low rank minimization problem by using GSVT in place of SVT.




Abstract:This paper studies the Tensor Robust Principal Component (TRPCA) problem which extends the known Robust PCA (Candes et al. 2011) to the tensor case. Our model is based on a new tensor Singular Value Decomposition (t-SVD) (Kilmer and Martin 2011) and its induced tensor tubal rank and tensor nuclear norm. Consider that we have a 3-way tensor ${\mathcal{X}}\in\mathbb{R}^{n_1\times n_2\times n_3}$ such that ${\mathcal{X}}={\mathcal{L}}_0+{\mathcal{E}}_0$, where ${\mathcal{L}}_0$ has low tubal rank and ${\mathcal{E}}_0$ is sparse. Is that possible to recover both components? In this work, we prove that under certain suitable assumptions, we can recover both the low-rank and the sparse components exactly by simply solving a convex program whose objective is a weighted combination of the tensor nuclear norm and the $\ell_1$-norm, i.e., $\min_{{\mathcal{L}},\ {\mathcal{E}}} \ \|{{\mathcal{L}}}\|_*+\lambda\|{{\mathcal{E}}}\|_1, \ \text{s.t.} \ {\mathcal{X}}={\mathcal{L}}+{\mathcal{E}}$, where $\lambda= {1}/{\sqrt{\max(n_1,n_2)n_3}}$. Interestingly, TRPCA involves RPCA as a special case when $n_3=1$ and thus it is a simple and elegant tensor extension of RPCA. Also numerical experiments verify our theory and the application for the image denoising demonstrates the effectiveness of our method.




Abstract:This paper studies the subspace clustering problem. Given some data points approximately drawn from a union of subspaces, the goal is to group these data points into their underlying subspaces. Many subspace clustering methods have been proposed and among which sparse subspace clustering and low-rank representation are two representative ones. Despite the different motivations, we observe that many existing methods own the common block diagonal property, which possibly leads to correct clustering, yet with their proofs given case by case. In this work, we consider a general formulation and provide a unified theoretical guarantee of the block diagonal property. The block diagonal property of many existing methods falls into our special case. Second, we observe that many existing methods approximate the block diagonal representation matrix by using different structure priors, e.g., sparsity and low-rankness, which are indirect. We propose the first block diagonal matrix induced regularizer for directly pursuing the block diagonal matrix. With this regularizer, we solve the subspace clustering problem by Block Diagonal Representation (BDR), which uses the block diagonal structure prior. The BDR model is nonconvex and we propose an alternating minimization solver and prove its convergence. Experiments on real datasets demonstrate the effectiveness of BDR.




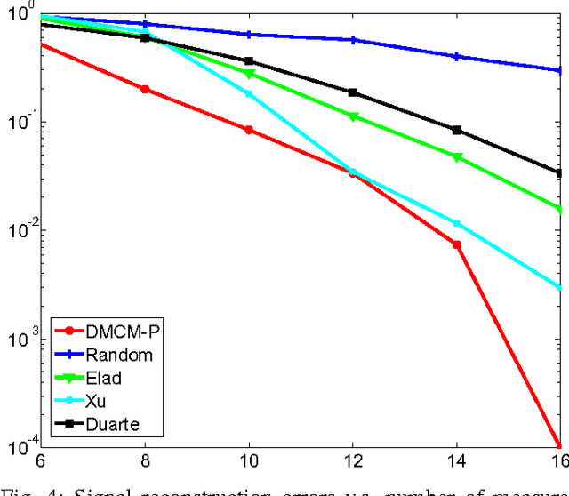
Abstract:Compressed Sensing (CS) is a novel technique for simultaneous signal sampling and compression based on the existence of a sparse representation of signal and a projected dictionary $PD$, where $P\in\mathbb{R}^{m\times d}$ is the projection matrix and $D\in\mathbb{R}^{d\times n}$ is the dictionary. To exactly recover the signal with a small number of measurements $m$, the projected dictionary $PD$ is expected to be of low mutual coherence. Several previous methods attempt to find the projection $P$ such that the mutual coherence of $PD$ can be as low as possible. However, they do not minimize the mutual coherence directly and thus their methods are far from optimal. Also the solvers they used lack of the convergence guarantee and thus there has no guarantee on the quality of their obtained solutions. This work aims to address these issues. We propose to find an optimal projection by minimizing the mutual coherence of $PD$ directly. This leads to a nonconvex nonsmooth minimization problem. We then approximate it by smoothing and solve it by alternate minimization. We further prove the convergence of our algorithm. To the best of our knowledge, this is the first work which directly minimizes the mutual coherence of the projected dictionary with a convergence guarantee. Numerical experiments demonstrate that the proposed method can recover sparse signals better than existing methods.




Abstract:In this paper, we consider the Tensor Robust Principal Component Analysis (TRPCA) problem, which aims to exactly recover the low-rank and sparse components from their sum. Our model is based on the recently proposed tensor-tensor product (or t-product) [13]. Induced by the t-product, we first rigorously deduce the tensor spectral norm, tensor nuclear norm, and tensor average rank, and show that the tensor nuclear norm is the convex envelope of the tensor average rank within the unit ball of the tensor spectral norm. These definitions, their relationships and properties are consistent with matrix cases. Equipped with the new tensor nuclear norm, we then solve the TRPCA problem by solving a convex program and provide the theoretical guarantee for the exact recovery. Our TRPCA model and recovery guarantee include matrix RPCA as a special case. Numerical experiments verify our results, and the applications to image recovery and background modeling problems demonstrate the effectiveness of our method.