Abstract:The ubiquitous time-delay estimation (TDE) problem becomes nontrivial when sensors are non-co-located and communication between them is limited. Building on the recently proposed "extremum encoding" compression-estimation scheme, we address the critical extension to complex-valued signals, suitable for radio-frequency (RF) baseband processing. This extension introduces new challenges, e.g., due to unknown phase of the signal of interest and random phase of the noise, rendering a na\"ive application of the original scheme inapplicable and irrelevant. In the face of these challenges, we propose a judiciously adapted, though natural, extension of the scheme, paving its way to RF applications. While our extension leads to a different statistical analysis, including extremes of non-Gaussian distributions, we show that, ultimately, its asymptotic behavior is akin to the original scheme. We derive an exponentially tight upper bound on its error probability, corroborate our results via simulation experiments, and demonstrate the superior performance compared to two benchmark approaches.
Abstract:The need to digitize signals with intricate spectral characteristics often challenges traditional analog-to-digital converters (ADCs). The recently proposed modulo-ADC architecture offers a promising alternative by leveraging inherent features of the input signals. This approach can dramatically reduce the number of bits required for the conversion while maintaining the desired fidelity. However, the core algorithm of this architecture, which utilizes a prediction filter, functions properly only when the respective prediction error is bounded. In practice, this assumption may not always hold, leading to considerable instability and performance degradation. To address this limitation, we propose an enhanced modulo-unfolding solution without this assumption. We develop a reliable detector to successfully unfold the signals, yielding a robust solution. Consequently, the reinforced system maintains proper operation in scenarios where the original approach fails, while also reducing the quantization noise. We present simulation results that demonstrate the superior performance of our approach in a representative setting.




Abstract:This paper addresses the critical problem of interference rejection in radio-frequency (RF) signals using a novel, data-driven approach that leverages state-of-the-art AI models. Traditionally, interference rejection algorithms are manually tailored to specific types of interference. This work introduces a more scalable data-driven solution and contains the following contributions. First, we present an insightful signal model that serves as a foundation for developing and analyzing interference rejection algorithms. Second, we introduce the RF Challenge, a publicly available dataset featuring diverse RF signals along with code templates, which facilitates data-driven analysis of RF signal problems. Third, we propose novel AI-based rejection algorithms, specifically architectures like UNet and WaveNet, and evaluate their performance across eight different signal mixture types. These models demonstrate superior performance exceeding traditional methods like matched filtering and linear minimum mean square error estimation by up to two orders of magnitude in bit-error rate. Fourth, we summarize the results from an open competition hosted at 2024 IEEE International Conference on Acoustics, Speech, and Signal Processing (ICASSP 2024) based on the RF Challenge, highlighting the significant potential for continued advancements in this area. Our findings underscore the promise of deep learning algorithms in mitigating interference, offering a strong foundation for future research.
Abstract:Motivated by the proliferation of mobile devices, we consider a basic form of the ubiquitous problem of time-delay estimation (TDE), but with communication constraints between two non co-located sensors. In this setting, when joint processing of the received signals is not possible, a compression technique that is tailored to TDE is desirable. For our basic TDE formulation, we develop such a joint compression-estimation strategy based on the notion of what we term "extremum encoding", whereby we send the index of the maximum of a finite-length time-series from one sensor to another. Subsequent joint processing of the encoded message with locally observed data gives rise to our proposed time-delay "maximum-index"-based estimator. We derive an exponentially tight upper bound on its error probability, establishing its consistency with respect to the number of transmitted bits. We further validate our analysis via simulations, and comment on potential extensions and generalizations of the basic methodology.




Abstract:We propose a new method for separating superimposed sources using diffusion-based generative models. Our method relies only on separately trained statistical priors of independent sources to establish a new objective function guided by maximum a posteriori estimation with an $\alpha$-posterior, across multiple levels of Gaussian smoothing. Motivated by applications in radio-frequency (RF) systems, we are interested in sources with underlying discrete nature and the recovery of encoded bits from a signal of interest, as measured by the bit error rate (BER). Experimental results with RF mixtures demonstrate that our method results in a BER reduction of 95% over classical and existing learning-based methods. Our analysis demonstrates that our proposed method yields solutions that asymptotically approach the modes of an underlying discrete distribution. Furthermore, our method can be viewed as a multi-source extension to the recently proposed score distillation sampling scheme, shedding additional light on its use beyond conditional sampling.



Abstract:Underwater communication signals typically suffer from distortion due to motion-induced Doppler. Especially in shallow water environments, recovering the signal is challenging due to the time-varying Doppler effects distorting each path differently. However, conventional Doppler estimation algorithms typically model uniform Doppler across all paths and often fail to provide robust Doppler tracking in multipath environments. In this paper, we propose a dynamic programming-inspired method, called online segmented recursive least-squares (OSRLS) to sequentially estimate the time-varying non-uniform Doppler across different multipath arrivals. By approximating the non-linear time distortion as a piece-wise-linear Markov model, we formulate the problem in a dynamic programming framework known as segmented least-squares (SLS). In order to circumvent an ill-conditioned formulation, perturbations are added to the Doppler model during the linearization process. The successful operation of the algorithm is demonstrated in a simulation on a synthetic channel with time-varying non-uniform Doppler.


Abstract:Key challenges in developing underwater acoustic localization methods are related to the combined effects of high reverberation in intricate environments. To address such challenges, recent studies have shown that with a properly designed architecture, neural networks can lead to unprecedented localization capabilities and enhanced accuracy. However, the robustness of such methods to environmental mismatch is typically hard to characterize, and is usually assessed only empirically. In this work, we consider the recently proposed data-driven method [19] based on a deep convolutional neural network, and demonstrate that it can learn to localize in complex and mismatched environments. To explain this robustness, we provide an upper bound on the localization mean squared error (MSE) in the ``true" environment, in terms of the MSE in a ``presumed" environment and an additional penalty term related to the environmental discrepancy. Our theoretical results are corroborated via simulation results in a rich, highly reverberant, and mismatch channel.


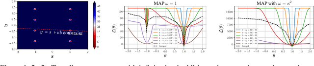
Abstract:A bilateral (i.e., upper and lower) bound on the mean-square error under a general model mismatch is developed. The bound, which is derived from the variational representation of the chi-square divergence, is applicable in the Bayesian and nonBayesian frameworks to biased and unbiased estimators. Unlike other classical MSE bounds that depend only on the model, our bound is also estimator-dependent. Thus, it is applicable as a tool for characterizing the MSE of a specific estimator. The proposed bounding technique has a variety of applications, one of which is a tool for proving the consistency of estimators for a class of models. Furthermore, it provides insight as to why certain estimators work well under general model mismatch conditions.



Abstract:We study the single-channel source separation problem involving orthogonal frequency-division multiplexing (OFDM) signals, which are ubiquitous in many modern-day digital communication systems. Related efforts have been pursued in monaural source separation, where state-of-the-art neural architectures have been adopted to train an end-to-end separator for audio signals (as 1-dimensional time series). In this work, through a prototype problem based on the OFDM source model, we assess -- and question -- the efficacy of using audio-oriented neural architectures in separating signals based on features pertinent to communication waveforms. Perhaps surprisingly, we demonstrate that in some configurations, where perfect separation is theoretically attainable, these audio-oriented neural architectures perform poorly in separating co-channel OFDM waveforms. Yet, we propose critical domain-informed modifications to the network parameterization, based on insights from OFDM structures, that can confer about 30 dB improvement in performance.




Abstract:We study the problem of extracting biometric information of individuals by looking at shadows of objects cast on diffuse surfaces. We show that the biometric information leakage from shadows can be sufficient for reliable identity inference under representative scenarios via a maximum likelihood analysis. We then develop a learning-based method that demonstrates this phenomenon in real settings, exploiting the subtle cues in the shadows that are the source of the leakage without requiring any labeled real data. In particular, our approach relies on building synthetic scenes composed of 3D face models obtained from a single photograph of each identity. We transfer what we learn from the synthetic data to the real data using domain adaptation in a completely unsupervised way. Our model is able to generalize well to the real domain and is robust to several variations in the scenes. We report high classification accuracies in an identity classification task that takes place in a scene with unknown geometry and occluding objects.