Abstract:This letter introduces EGGCodec, a robust neural Encodec framework engineered for electroglottography (EGG) signal reconstruction and F0 extraction. We propose a multi-scale frequency-domain loss function to capture the nuanced relationship between original and reconstructed EGG signals, complemented by a time-domain correlation loss to improve generalization and accuracy. Unlike conventional Encodec models that extract F0 directly from features, EGGCodec leverages reconstructed EGG signals, which more closely correspond to F0. By removing the conventional GAN discriminator, we streamline EGGCodec's training process without compromising efficiency, incurring only negligible performance degradation. Trained on a widely used EGG-inclusive dataset, extensive evaluations demonstrate that EGGCodec outperforms state-of-the-art F0 extraction schemes, reducing mean absolute error (MAE) from 14.14 Hz to 13.69 Hz, and improving voicing decision error (VDE) by 38.2\%. Moreover, extensive ablation experiments validate the contribution of each component of EGGCodec.




Abstract:The advent of next-generation ultra-reliable and low-latency communications (xURLLC) presents stringent and unprecedented requirements for key performance indicators (KPIs). As a disruptive technology, non-orthogonal multiple access (NOMA) harbors the potential to fulfill these stringent KPIs essential for xURLLC. However, the immaturity of research on the tail distributions of these KPIs significantly impedes the application of NOMA to xURLLC. Stochastic network calculus (SNC), as a potent methodology, is leveraged to provide dependable theoretical insights into tail distribution analysis and statistical QoS provisioning (SQP). In this article, we develop a NOMA-assisted uplink xURLLC network architecture that incorporates an SNC-based SQP theoretical framework (SNC-SQP) to support tail distribution analysis in terms of delay, age-of-information (AoI), and reliability. Based on SNC-SQP, an SQP-driven power optimization problem is proposed to minimize transmit power while guaranteeing xURLLC's KPIs on delay, AoI, reliability, and power consumption. Extensive simulations validate our proposed theoretical framework and demonstrate that the proposed power allocation scheme significantly reduces uplink transmit power and outperforms conventional schemes in terms of SQP performance.




Abstract:More refined resource management and Quality of Service (QoS) provisioning is a critical goal of wireless communication technologies. In this paper, we propose a novel Business-Centric Network (BCN) aimed at enabling scalable QoS provisioning, based on a cross-layer framework that captures the relationship between application, transport parameters, and channels. We investigate both continuous flow and event-driven flow models, presenting key QoS metrics such as throughput, delay, and reliability. By jointly considering power and bandwidth allocation, transmission parameters, and AP network topology across layers, we optimize weighted resource efficiency with statistical QoS provisioning. To address the coupling among parameters, we propose a novel deep reinforcement learning (DRL) framework, which is Collaborative Optimization among Heterogeneous Actors with Experience Sharing (COHA-ES). Power and sub-channel (SC) Actors representing multiple APs are jointly optimized under the unified guidance of a common critic. Additionally, we introduce a novel multithreaded experience-sharing mechanism to accelerate training and enhance rewards. Extensive comparative experiments validate the effectiveness of our DRL framework in terms of convergence and efficiency. Moreover, comparative analyses demonstrate the comprehensive advantages of the BCN structure in enhancing both spectral and energy efficiency.




Abstract:Integrated sensing and communication (ISAC) is an emerging technology in next-generation communication networks. However, the communication performance of the ISAC system may be severely affected by interference from the radar system if the sensing task has demanding performance requirements. In this paper, we exploit device-to-device communication (D2D) to improve system communication capacity. The ISAC system in a single cell D2D assisted-network is investigated, where the base station (BS) performs target sensing and communication with multiple celluar user equipments (CUEs) as well as D2D user equipments (DUEs) simultaneously communicating with other DUEs by multiplexing the same frequency resource. To achieve the optimal communication performance in the D2D-assisted ISAC system, a joint beamforming and power control problem is formulated with the goal to maximize the sum rate of the system while guaranteeing the performance requirements of radar sensing. Due to the non-convexity of the problem, we propose the algorithm to transform the origin problem into a relaxation form and obtain the solution. We also proposed the zero-forcing (ZF) beamforming scheme to acquire the solution that can eliminate the interference of the BS on DUEs. Extensive numerical simulations demonstrated that with the assistance of the D2D communications, our proposed algorithm significantly outperforms the baseline schemes in the system sum rate.




Abstract:Grouped-query attention (GQA) has been widely adopted in LLMs to mitigate the complexity of multi-head attention (MHA). To transform an MHA to a GQA, neighbour queries in MHA are evenly split into groups where each group shares the value and key layers. In this work, we propose AsymGQA, an activation-informed approach to asymmetrically grouping an MHA to a GQA for better model performance. Our AsymGQA outperforms the GQA within the same model size budget. For example, AsymGQA LLaMA-2-7B has an accuracy increase of 7.5% on MMLU compared to neighbour grouping. Our approach addresses the GQA's trade-off problem between model performance and hardware efficiency.




Abstract:Massive interconnection has sparked people's envisioning for next-generation ultra-reliable and low-latency communications (xURLLC), prompting the design of customized next-generation advanced transceivers (NGAT). Rate-splitting multiple access (RSMA) has emerged as a pivotal technology for NGAT design, given its robustness to imperfect channel state information (CSI) and resilience to quality of service (QoS). Additionally, xURLLC urgently appeals to large-scale access techniques, thus massive multiple-input multiple-output (mMIMO) is anticipated to integrate with RSMA to enhance xURLLC. In this paper, we develop an innovative RSMA-assisted massive-MIMO xURLLC (RSMA-mMIMO-xURLLC) network architecture tailored to accommodate xURLLC's critical QoS constraints in finite blocklength (FBL) regimes. Leveraging uplink pilot training under imperfect CSI at the transmitter, we estimate channel gains and customize linear precoders for efficient downlink short-packet data transmission. Subsequently, we formulate a joint rate-splitting, beamforming, and transmit antenna selection optimization problem to maximize the total effective transmission rate (ETR). Addressing this multi-variable coupled non-convex problem, we decompose it into three corresponding subproblems and propose a low-complexity joint iterative algorithm for efficient optimization. Extensive simulations substantiate that compared with non-orthogonal multiple access (NOMA) and space division multiple access (SDMA), the developed architecture improves the total ETR by 15.3% and 41.91%, respectively, as well as accommodates larger-scale access.




Abstract:In the traditional cellular-based mobile edge computing (MEC), users at the edge of the cell are prone to suffer severe inter-cell interference and signal attenuation, leading to low throughput even transmission interruptions. Such edge effect severely obstructs offloading of tasks to MEC servers. To address this issue, we propose user-centric mobile edge computing (UCMEC), a novel MEC architecture integrating user-centric transmission, which can ensure high throughput and reliable communication for task offloading. Then, we formulate an optimization problem with joint consideration of task offloading, power control, and computing resource allocation in UCMEC, aiming at obtaining the optimal performance in terms of long-term average total delay. To solve the intractable problem, we propose two decentralized joint optimization schemes based on multi-agent deep reinforcement learning (MADRL) and convex optimization, which consider both cooperation and non-cooperation among network nodes. Simulation results demonstrate that the proposed schemes in UCMEC can significantly improve the uplink transmission rate by at most 343.56% and reduce the long-term average total delay by at most 45.57% compared to traditional cellular-based MEC.




Abstract:Millimeter-wave(mmWave) technology has emerged as a promising enabler for unleashing the full potential of 360-degree virtual reality (VR). However, the explosive growth of VR services, coupled with the reliability issues of mmWave communications, poses enormous challenges in terms of wireless resource and quality-of-service (QoS) provisioning for mmWave-enabled 360-degree VR. In this paper, we propose an innovative 360-degree VR streaming architecture that addresses three under-exploited issues: overlapping field-of-views (FoVs), statistical QoS provisioning (SQP), and loss-tolerant active data discarding. Specifically, an overlapping FoV-based optimal joint unicast and multicast (JUM) task assignment scheme is designed to implement the non-redundant task assignments, thereby conserving wireless resources remarkably. Furthermore, leveraging stochastic network calculus, we develop a comprehensive SQP theoretical framework that encompasses two SQP schemes from delay and rate perspectives. Additionally, a corresponding optimal adaptive joint time-slot allocation and active-discarding (ADAPT-JTAAT) transmission scheme is proposed to minimize resource consumption while guaranteeing diverse statistical QoS requirements under loss-intolerant and loss-tolerant scenarios from delay and rate perspectives, respectively. Extensive simulations demonstrate the effectiveness of the designed overlapping FoV-based JUM optimal task assignment scheme. Comparisons with six baseline schemes validate that the proposed optimal ADAPTJTAAT transmission scheme can achieve superior SQP performance in resource utilization, flexible rate control, and robust queue behaviors.




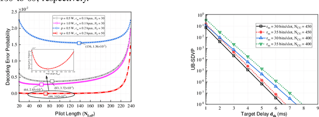
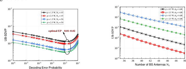
Abstract:In this paper, fundamentals and performance tradeoffs of the neXt-generation ultra-reliable and low-latency communication (xURLLC) are investigated from the perspective of stochastic network calculus (SNC). An xURLLC-enabled massive MU-MIMO system model has been developed to accommodate xURLLC features. By leveraging and promoting SNC, we provide a quantitative statistical quality of service (QoS) provisioning analysis and derive the closed-form expression of upper-bounded statistical delay violation probability (UB-SDVP). Based on the proposed theoretical framework, we formulate the UB-SDVP minimization problem that is first degenerated into a one-dimensional integer-search problem by deriving the minimum error probability (EP) detector, and then efficiently solved by the integer-form Golden-Section search algorithm. Moreover, two novel concepts, EP-based effective capacity (EP-EC) and EP-based energy efficiency (EP-EE) have been defined to characterize the tail distributions and performance tradeoffs for xURLLC. Subsequently, we formulate the EP-EC and EP-EE maximization problems and prove that the EP-EC maximization problem is equivalent to the UB-SDVP minimization problem, while the EP-EE maximization problem is solved with a low-complexity outer-descent inner-search collaborative algorithm. Extensive simulations demonstrate that the proposed framework in reducing computational complexity compared to reference schemes, and in providing various tradeoffs and optimization performance of xURLLC concerning UB-SDVP, EP, EP-EC, and EP-EE.




Abstract:In the traditional mobile edge computing (MEC) system, the availability of MEC services is greatly limited for the edge users of the cell due to serious signal attenuation and inter-cell interference. User-centric MEC (UC-MEC) can be seen as a promising solution to address this issue. In UC-MEC, each user is served by a dedicated access point (AP) cluster enabled with MEC capability instead of a single MEC server, however, at the expense of more energy consumption and greater privacy risks. To achieve efficient and reliable resource utilization with user-centric services, we propose an energy efficient blockchain-enabled UC-MEC system where blockchain operations and resource optimization are jointly performed. Firstly, we design a resource-aware, reliable, replicated, redundant, and fault-tolerant (R-RAFT) consensus mechanism to implement secure and reliable resource trading. Then, an optimization framework based on alternating direction method of multipliers (ADMM) is proposed to minimize the total energy consumed by wireless transmission, consensus and task computing, where APs clustering, computing resource allocation and bandwidth allocation are jointly considered. Simulation results show superiority of the proposed UC-MEC system over reference schemes, at most 33.96% reduction in the total delay and 48.77% reduction in the total energy consumption.