Jilin University




Abstract:In this paper, we focus on the often-overlooked issue of embedding collapse in existing diffusion-based sequential recommendation models and propose ADRec, an innovative framework designed to mitigate this problem. Diverging from previous diffusion-based methods, ADRec applies an independent noise process to each token and performs diffusion across the entire target sequence during training. ADRec captures token interdependency through auto-regression while modeling per-token distributions through token-level diffusion. This dual approach enables the model to effectively capture both sequence dynamics and item representations, overcoming the limitations of existing methods. To further mitigate embedding collapse, we propose a three-stage training strategy: (1) pre-training the embedding weights, (2) aligning these weights with the ADRec backbone, and (3) fine-tuning the model. During inference, ADRec applies the denoising process only to the last token, ensuring that the meaningful patterns in historical interactions are preserved. Our comprehensive empirical evaluation across six datasets underscores the effectiveness of ADRec in enhancing both the accuracy and efficiency of diffusion-based sequential recommendation systems.




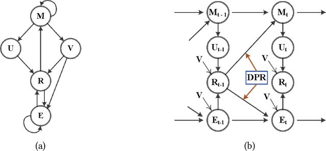
Abstract:Recommendation models trained on the user feedback collected from deployed recommendation systems are commonly biased. User feedback is considerably affected by the exposure mechanism, as users only provide feedback on the items exposed to them and passively ignore the unexposed items, thus producing numerous false negative samples. Inevitably, biases caused by such user feedback are inherited by new models and amplified via feedback loops. Moreover, the presence of false negative samples makes negative sampling difficult and introduces spurious information in the user preference modeling process of the model. Recent work has investigated the negative impact of feedback loops and unknown exposure mechanisms on recommendation quality and user experience, essentially treating them as independent factors and ignoring their cross-effects. To address these issues, we deeply analyze the data exposure mechanism from the perspective of data iteration and feedback loops with the Missing Not At Random (\textbf{MNAR}) assumption, theoretically demonstrating the existence of an available stabilization factor in the transformation of the exposure mechanism under the feedback loops. We further propose Dynamic Personalized Ranking (\textbf{DPR}), an unbiased algorithm that uses dynamic re-weighting to mitigate the cross-effects of exposure mechanisms and feedback loops without additional information. Furthermore, we design a plugin named Universal Anti-False Negative (\textbf{UFN}) to mitigate the negative impact of the false negative problem. We demonstrate theoretically that our approach mitigates the negative effects of feedback loops and unknown exposure mechanisms. Experimental results on real-world datasets demonstrate that models using DPR can better handle bias accumulation and the universality of UFN in mainstream loss methods.




Abstract:Recommender models aim to capture user preferences from historical feedback and then predict user-specific feedback on candidate items. However, the presence of various unmeasured confounders causes deviations between the user preferences in the historical feedback and the true preferences, resulting in models not meeting their expected performance. Existing debias models either (1) specific to solving one particular bias or (2) directly obtain auxiliary information from user historical feedback, which cannot identify whether the learned preferences are true user preferences or mixed with unmeasured confounders. Moreover, we find that the former recommender system is not only a successor to unmeasured confounders but also acts as an unmeasured confounder affecting user preference modeling, which has always been neglected in previous studies. To this end, we incorporate the effect of the former recommender system and treat it as a proxy for all unmeasured confounders. We propose a novel framework, \textbf{S}eparating and \textbf{L}earning Latent Confounders \textbf{F}or \textbf{R}ecommendation (\textbf{SLFR}), which obtains the representation of unmeasured confounders to identify the counterfactual feedback by disentangling user preferences and unmeasured confounders, then guides the target model to capture the true preferences of users. Extensive experiments in five real-world datasets validate the advantages of our method.




Abstract:Inferring user preferences from the historical feedback of users is a valuable problem in recommender systems. Conventional approaches often rely on the assumption that user preferences in the feedback data are equivalent to the real user preferences without additional noise, which simplifies the problem modeling. However, there are various confounders during user-item interactions, such as weather and even the recommendation system itself. Therefore, neglecting the influence of confounders will result in inaccurate user preferences and suboptimal performance of the model. Furthermore, the unobservability of confounders poses a challenge in further addressing the problem. To address these issues, we refine the problem and propose a more rational solution. Specifically, we consider the influence of confounders, disentangle them from user preferences in the latent space, and employ causal graphs to model their interdependencies without specific labels. By cleverly combining local and global causal graphs, we capture the user-specificity of confounders on user preferences. We theoretically demonstrate the identifiability of the obtained causal graph. Finally, we propose our model based on Variational Autoencoders, named Causal Structure representation learning of Confounders in latent space (CSC). We conducted extensive experiments on one synthetic dataset and five real-world datasets, demonstrating the superiority of our model. Furthermore, we demonstrate that the learned causal representations of confounders are controllable, potentially offering users fine-grained control over the objectives of their recommendation lists with the learned causal graphs.




Abstract:Data analysis usually suffers from the Missing Not At Random (MNAR) problem, where the cause of the value missing is not fully observed. Compared to the naive Missing Completely At Random (MCAR) problem, it is more in line with the realistic scenario whereas more complex and challenging. Existing statistical methods model the MNAR mechanism by different decomposition of the joint distribution of the complete data and the missing mask. But we empirically find that directly incorporating these statistical methods into deep generative models is sub-optimal. Specifically, it would neglect the confidence of the reconstructed mask during the MNAR imputation process, which leads to insufficient information extraction and less-guaranteed imputation quality. In this paper, we revisit the MNAR problem from a novel perspective that the complete data and missing mask are two modalities of incomplete data on an equal footing. Along with this line, we put forward a generative-model-specific joint probability decomposition method, conjunction model, to represent the distributions of two modalities in parallel and extract sufficient information from both complete data and missing mask. Taking a step further, we exploit a deep generative imputation model, namely GNR, to process the real-world missing mechanism in the latent space and concurrently impute the incomplete data and reconstruct the missing mask. The experimental results show that our GNR surpasses state-of-the-art MNAR baselines with significant margins (averagely improved from 9.9% to 18.8% in RMSE) and always gives a better mask reconstruction accuracy which makes the imputation more principle.
Abstract:Sequential recommendation models sequences of historical user-item interactive behaviors (or referred as token) to better infer dynamic preferences. Fueled by the improved neural network architectures such as RNN, CNN and Transformer, this field has enjoyed rapid performance boost in the past years. Recent progress on all-MLP models lights on an efficient method with less intensive computation, token-mixing MLP, to learn the transformation patterns among historical behaviors. However, due to the inherent fully-connection design that allows the unrestricted cross-token communication and ignores the chronological order, we find that directly applying token-mixing MLP into sequential recommendation leads to subpar performance. In this paper, we present a purely MLP-based sequential recommendation architecture TriMLP with a novel \underline{Tri}angular Mixer where the modified \underline{MLP} endows tokens with ordered interactions. As the cross-token interaction in MLP is actually matrix multiplication, Triangular Mixer drops the lower-triangle neurons in the weight matrix and thus blocks the connections from future tokens, which prevents information leakage and improves prediction capability under the standard auto-regressive training fashion. To further model long and short-term preferences on fine-grained level, the mixer adopts a dual-branch structure based on the delicate MLP described above, namely global and local mixing, to separately capture the sequential long-range dependencies and local patterns. Empirical study on 9 different scale datasets (contain 50K\textasciitilde20M behaviors) of various benchmarks, including MovieLens, Amazon and Tenrec, demonstrates that TriMLP attains promising and stable accuracy/efficiency trade-off, i.e., averagely surpasses several state-of-the-art baselines by 5.32\% and saves 8.44\% inference time cost.




Abstract:In e-commerce, online retailers are usually suffering from professional malicious users (PMUs), who utilize negative reviews and low ratings to their consumed products on purpose to threaten the retailers for illegal profits. Specifically, there are three challenges for PMU detection: 1) professional malicious users do not conduct any abnormal or illegal interactions (they never concurrently leave too many negative reviews and low ratings at the same time), and they conduct masking strategies to disguise themselves. Therefore, conventional outlier detection methods are confused by their masking strategies. 2) the PMU detection model should take both ratings and reviews into consideration, which makes PMU detection a multi-modal problem. 3) there are no datasets with labels for professional malicious users in public, which makes PMU detection an unsupervised learning problem. To this end, we propose an unsupervised multi-modal learning model: MMD, which employs Metric learning for professional Malicious users Detection with both ratings and reviews. MMD first utilizes a modified RNN to project the informational review into a sentiment score, which jointly considers the ratings and reviews. Then professional malicious user profiling (MUP) is proposed to catch the sentiment gap between sentiment scores and ratings. MUP filters the users and builds a candidate PMU set. We apply a metric learning-based clustering to learn a proper metric matrix for PMU detection. Finally, we can utilize this metric and labeled users to detect PMUs. Specifically, we apply the attention mechanism in metric learning to improve the model's performance. The extensive experiments in four datasets demonstrate that our proposed method can solve this unsupervised detection problem. Moreover, the performance of the state-of-the-art recommender models is enhanced by taking MMD as a preprocessing stage.




Abstract:Most NN-RSs focus on accuracy by building representations from the direct user-item interactions (e.g., user-item rating matrix), while ignoring the underlying relatedness between users and items (e.g., users who rate the same ratings for the same items should be embedded into similar representations), which is an ideological disadvantage. On the other hand, ME models directly employ inner products as a default loss function metric that cannot project users and items into a proper latent space, which is a methodological disadvantage. In this paper, we propose a supervised collaborative representation learning model - Magnetic Metric Learning (MML) - to map users and items into a unified latent vector space, enhancing the representation learning for NN-RSs. Firstly, MML utilizes dual triplets to model not only the observed relationships between users and items, but also the underlying relationships between users as well as items to overcome the ideological disadvantage. Specifically, a modified metric-based dual loss function is proposed in MML to gather similar entities and disperse the dissimilar ones. With MML, we can easily compare all the relationships (user to user, item to item, user to item) according to the weighted metric, which overcomes the methodological disadvantage. We conduct extensive experiments on four real-world datasets with large item space. The results demonstrate that MML can learn a proper unified latent space for representations from the user-item matrix with high accuracy and effectiveness, and lead to a performance gain over the state-of-the-art RS models by an average of 17%.




Abstract:Medical image registration is a fundamental and critical task in medical image analysis. With the rapid development of deep learning, convolutional neural networks (CNN) have dominated the medical image registration field. Due to the disadvantage of the local receptive field of CNN, some recent registration methods have focused on using transformers for non-local registration. However, the standard Transformer has a vast number of parameters and high computational complexity, which causes Transformer can only be applied at the bottom of the registration models. As a result, only coarse information is available at the lowest resolution, limiting the contribution of Transformer in their models. To address these challenges, we propose a convolution-based efficient multi-head self-attention (CEMSA) block, which reduces the parameters of the traditional Transformer and captures local spatial context information for reducing semantic ambiguity in the attention mechanism. Based on the proposed CEMSA, we present a novel Symmetric Transformer-based model (SymTrans). SymTrans employs the Transformer blocks in the encoder and the decoder respectively to model the long-range spatial cross-image relevance. We apply SymTrans to the displacement field and diffeomorphic registration. Experimental results show that our proposed method achieves state-of-the-art performance in image registration. Our code is publicly available at \url{https://github.com/MingR-Ma/SymTrans}.




Abstract:Classical accuracy-oriented Recommender Systems (RSs) typically face the cold-start problem and the filter-bubble problem when users suffer the familiar, repeated, and even predictable recommendations, making them boring and unsatisfied. To address the above issues, serendipity-oriented RSs are proposed to recommend appealing and valuable items significantly deviating from users' historical interactions and thus satisfying them by introducing unexplored but relevant candidate items to them. In this paper, we devise a novel serendipity-oriented recommender system (\textbf{G}enerative \textbf{S}elf-\textbf{S}erendipity \textbf{R}ecommender \textbf{S}ystem, \textbf{GS$^2$-RS}) that generates users' self-serendipity preferences to enhance the recommendation performance. Specifically, this model extracts users' interest and satisfaction preferences, generates virtual but convincible neighbors' preferences from themselves, and achieves their self-serendipity preference. Then these preferences are injected into the rating matrix as additional information for RS models. Note that GS$^2$-RS can not only tackle the cold-start problem but also provides diverse but relevant recommendations to relieve the filter-bubble problem. Extensive experiments on benchmark datasets illustrate that the proposed GS$^2$-RS model can significantly outperform the state-of-the-art baseline approaches in serendipity measures with a stable accuracy performance.