Fellow IEEE
Abstract:Recent advancements in multimodal large language models and vision-languageaction models have significantly driven progress in Embodied AI. As the field transitions toward more complex task scenarios, multi-agent system frameworks are becoming essential for achieving scalable, efficient, and collaborative solutions. This shift is fueled by three primary factors: increasing agent capabilities, enhancing system efficiency through task delegation, and enabling advanced human-agent interactions. To address the challenges posed by multi-agent collaboration, we propose the Multi-Agent Robotic System (MARS) Challenge, held at the NeurIPS 2025 Workshop on SpaVLE. The competition focuses on two critical areas: planning and control, where participants explore multi-agent embodied planning using vision-language models (VLMs) to coordinate tasks and policy execution to perform robotic manipulation in dynamic environments. By evaluating solutions submitted by participants, the challenge provides valuable insights into the design and coordination of embodied multi-agent systems, contributing to the future development of advanced collaborative AI systems.
Abstract:Accurate and rapid state-of-health (SOH) monitoring plays an important role in indicating energy information for lithium-ion battery-powered portable mobile devices. To confront their variable working conditions, transfer learning (TL) emerges as a promising technique for leveraging knowledge from data-rich source working conditions, significantly reducing the training data required for SOH monitoring from target working conditions. However, traditional TL-based SOH monitoring is infeasible when applied in portable mobile devices since substantial computational resources are consumed during the TL stage and unexpectedly reduce the working endurance. To address these challenges, this paper proposes a lightweight TL-based SOH monitoring approach with constructive incremental transfer learning (CITL). First, taking advantage of the unlabeled data in the target domain, a semi-supervised TL mechanism is proposed to minimize the monitoring residual in a constructive way, through iteratively adding network nodes in the CITL. Second, the cross-domain learning ability of node parameters for CITL is comprehensively guaranteed through structural risk minimization, transfer mismatching minimization, and manifold consistency maximization. Moreover, the convergence analysis of the CITL is given, theoretically guaranteeing the efficacy of TL performance and network compactness. Finally, the proposed approach is verified through extensive experiments with a realistic autonomous air vehicles (AAV) battery dataset collected from dozens of flight missions. Specifically, the CITL outperforms SS-TCA, MMD-LSTM-DA, DDAN, BO-CNN-TL, and AS$^3$LSTM, in SOH estimation by 83.73%, 61.15%, 28.24%, 87.70%, and 57.34%, respectively, as evaluated using the index root mean square error.




Abstract:Classification of multi-dimensional time series from real-world systems require fine-grained learning of complex features such as cross-dimensional dependencies and intra-class variations-all under the practical challenge of low training data availability. However, standard deep learning (DL) struggles to learn generalizable features in low-data environments due to model overfitting. We propose a versatile yet data-efficient framework, Intelligently Augmented Contrastive Tensor Factorization (ITA-CTF), to learn effective representations from multi-dimensional time series. The CTF module learns core explanatory components of the time series (e.g., sensor factors, temporal factors), and importantly, their joint dependencies. Notably, unlike standard tensor factorization (TF), the CTF module incorporates a new contrastive loss optimization to induce similarity learning and class-awareness into the learnt representations for better classification performance. To strengthen this contrastive learning, the preceding ITA module generates targeted but informative augmentations that highlight realistic intra-class patterns in the original data, while preserving class-wise properties. This is achieved by dynamically sampling a "soft" class prototype to guide the warping of each query data sample, which results in an augmentation that is intelligently pattern-mixed between the "soft" class prototype and the query sample. These augmentations enable the CTF module to recognize complex intra-class variations despite the limited original training data, and seek out invariant class-wise properties for accurate classification performance. The proposed method is comprehensively evaluated on five different classification tasks. Compared to standard TF and several DL benchmarks, notable performance improvements up to 18.7% were achieved.




Abstract:Recent advancements in sensor technology and deep learning have led to significant progress in 3D human body reconstruction. However, most existing approaches rely on data from a specific sensor, which can be unreliable due to the inherent limitations of individual sensing modalities. On the other hand, existing multi-modal fusion methods generally require customized designs based on the specific sensor combinations or setups, which limits the flexibility and generality of these methods. Furthermore, conventional point-image projection-based and Transformer-based fusion networks are susceptible to the influence of noisy modalities and sensor poses. To address these limitations and achieve robust 3D human body reconstruction in various conditions, we propose AdaptiveFusion, a generic adaptive multi-modal multi-view fusion framework that can effectively incorporate arbitrary combinations of uncalibrated sensor inputs. By treating different modalities from various viewpoints as equal tokens, and our handcrafted modality sampling module by leveraging the inherent flexibility of Transformer models, AdaptiveFusion is able to cope with arbitrary numbers of inputs and accommodate noisy modalities with only a single training network. Extensive experiments on large-scale human datasets demonstrate the effectiveness of AdaptiveFusion in achieving high-quality 3D human body reconstruction in various environments. In addition, our method achieves superior accuracy compared to state-of-the-art fusion methods.




Abstract:Data-driven methods have gained extensive attention in estimating the state of health (SOH) of lithium-ion batteries. Accurate SOH estimation requires degradation-relevant features and alignment of statistical distributions between training and testing datasets. However, current research often overlooks these needs and relies on arbitrary voltage segment selection. To address these challenges, this paper introduces an innovative approach leveraging spatio-temporal degradation dynamics via graph convolutional networks (GCNs). Our method systematically selects discharge voltage segments using the Matrix Profile anomaly detection algorithm, eliminating the need for manual selection and preventing information loss. These selected segments form a fundamental structure integrated into the GCN-based SOH estimation model, capturing inter-cycle dynamics and mitigating statistical distribution incongruities between offline training and online testing data. Validation with a widely accepted open-source dataset demonstrates that our method achieves precise SOH estimation, with a root mean squared error of less than 1%.
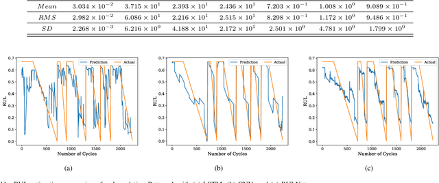
Abstract:By informing the onset of the degradation process, health status evaluation serves as a significant preliminary step for reliable remaining useful life (RUL) estimation of complex equipment. This paper proposes a novel temporal dynamics learning-based model for detecting change points of individual devices, even under variable operating conditions, and utilises the learnt change points to improve the RUL estimation accuracy. During offline model development, the multivariate sensor data are decomposed to learn fused temporal correlation features that are generalisable and representative of normal operation dynamics across multiple operating conditions. Monitoring statistics and control limit thresholds for normal behaviour are dynamically constructed from these learnt temporal features for the unsupervised detection of device-level change points. The detected change points then inform the degradation data labelling for training a long short-term memory (LSTM)-based RUL estimation model. During online monitoring, the temporal correlation dynamics of a query device is monitored for breach of the control limit derived in offline training. If a change point is detected, the device's RUL is estimated with the well-trained offline model for early preventive action. Using C-MAPSS turbofan engines as the case study, the proposed method improved the accuracy by 5.6\% and 7.5\% for two scenarios with six operating conditions, when compared to existing LSTM-based RUL estimation models that do not consider heterogeneous change points.
Abstract:Data-driven soft sensors provide a potentially cost-effective and more accurate modeling approach to measure difficult-to-measure indices in industrial processes compared to mechanistic approaches. Artificial intelligence (AI) techniques, such as deep learning, have become a popular soft sensors modeling approach in the area of machine learning and big data. However, soft sensors models based deep learning potentially lead to complex model structures and excessive training time. In addition, industrial processes often rely on distributed control systems (DCS) characterized by resource constraints. Herein, guided by spatial geometric, a lightweight geometric constructive neural network, namely LightGCNet, is proposed, which utilizes compact angle constraint to assign the hidden parameters from dynamic intervals. At the same time, a node pool strategy and spatial geometric relationships are used to visualize and optimize the process of assigning hidden parameters, enhancing interpretability. In addition, the universal approximation property of LightGCNet is proved by spatial geometric analysis. Two versions algorithmic implementations of LightGCNet are presented in this article. Simulation results concerning both benchmark datasets and the ore grinding process indicate remarkable merits of LightGCNet in terms of small network size, fast learning speed, and sound generalization.




Abstract:Data-driven industrial health prognostics require rich training data to develop accurate and reliable predictive models. However, stringent data privacy laws and the abundance of edge industrial data necessitate decentralized data utilization. Thus, the industrial health prognostics field is well suited to significantly benefit from federated learning (FL), a decentralized and privacy-preserving learning technique. However, FL-based health prognostics tasks have hardly been investigated due to the complexities of meaningfully aggregating model parameters trained from heterogeneous data to form a high performing federated model. Specifically, data heterogeneity among edge devices, stemming from dissimilar degradation mechanisms and unequal dataset sizes, poses a critical statistical challenge for developing accurate federated models. We propose a pioneering FL-based health prognostic model with a feature similarity-matched parameter aggregation algorithm to discriminatingly learn from heterogeneous edge data. The algorithm searches across the heterogeneous locally trained models and matches neurons with probabilistically similar feature extraction functions first, before selectively averaging them to form the federated model parameters. As the algorithm only averages similar neurons, as opposed to conventional naive averaging of coordinate-wise neurons, the distinct feature extractors of local models are carried over with less dilution to the resultant federated model. Using both cyclic degradation data of Li-ion batteries and non-cyclic data of turbofan engines, we demonstrate that the proposed method yields accuracy improvements as high as 44.5\% and 39.3\% for state-of-health estimation and remaining useful life estimation, respectively.




Abstract:Lithium-ion batteries (LiBs) degrade slightly until the knee onset, after which the deterioration accelerates to end of life (EOL). The knee onset, which marks the initiation of the accelerated degradation rate, is crucial in providing an early warning of the battery's performance changes. However, there is only limited literature on online knee onset identification. Furthermore, it is good to perform such identification using easily collected measurements. To solve these challenges, an online knee onset identification method is developed by exploiting the temporal information within the discharge data. First, the temporal dynamics embedded in the discharge voltage cycles from the slight degradation stage are extracted by the dynamic time warping. Second, the anomaly is exposed by Matrix Profile during subsequence similarity search. The knee onset is detected when the temporal dynamics of the new cycle exceed the control limit and the profile index indicates a change in regime. Finally, the identified knee onset is utilized to categorize the battery into long-range or short-range categories by its strong correlation with the battery's EOL cycles. With the support of the battery categorization and the training data acquired under the same statistic distribution, the proposed SOH estimation model achieves enhanced estimation results with a root mean squared error as low as 0.22%.




Abstract:The ability to predict traffic flow over time for crowded areas during rush hours is increasingly important as it can help authorities make informed decisions for congestion mitigation or scheduling of infrastructure development in an area. However, a crucial challenge in traffic flow forecasting is the slow shifting in temporal peaks between daily and weekly cycles, resulting in the nonstationarity of the traffic flow signal and leading to difficulty in accurate forecasting. To address this challenge, we propose a slow shifting concerned machine learning method for traffic flow forecasting, which includes two parts. First, we take advantage of Empirical Mode Decomposition as the feature engineering to alleviate the nonstationarity of traffic flow data, yielding a series of stationary components. Second, due to the superiority of Long-Short-Term-Memory networks in capturing temporal features, an advanced traffic flow forecasting model is developed by taking the stationary components as inputs. Finally, we apply this method on a benchmark of real-world data and provide a comparison with other existing methods. Our proposed method outperforms the state-of-art results by 14.55% and 62.56% using the metrics of root mean squared error and mean absolute percentage error, respectively.