Abstract:CSI extrapolation is an effective method for acquiring channel state information (CSI), essential for optimizing performance of sixth-generation (6G) communication systems. Traditional channel estimation methods face scalability challenges due to the surging overhead in emerging high-mobility, extremely large-scale multiple-input multiple-output (EL-MIMO), and multi-band systems. CSI extrapolation techniques mitigate these challenges by using partial CSI to infer complete CSI, significantly reducing overhead. Despite growing interest, a comprehensive review of state-of-the-art (SOTA) CSI extrapolation techniques is lacking. This paper addresses this gap by comprehensively reviewing the current status, challenges, and future directions of CSI extrapolation for the first time. Firstly, we analyze the performance metrics specific to CSI extrapolation in 6G, including extrapolation accuracy, adaption to dynamic scenarios and algorithm costs. We then review both model-driven and artificial intelligence (AI)-driven approaches for time, frequency, antenna, and multi-domain CSI extrapolation. Key insights and takeaways from these methods are summarized. Given the promise of AI-driven methods in meeting performance requirements, we also examine the open-source channel datasets and simulators that could be used to train high-performance AI-driven CSI extrapolation models. Finally, we discuss the critical challenges of the existing research and propose perspective research opportunities.
Abstract:Integrating large AI models (LAMs) into 6G mobile networks promises to redefine protocol design and control-plane intelligence by enabling autonomous, cognitive network operations. While industry concepts, such as ETSI's Experiential Networked Intelligence (ENI), envision LAM-driven agents for adaptive network slicing and intent-based management, practical implementations still face challenges in protocol literacy and real-world deployment. This paper presents an end-to-end demonstration of a LAM that generates standards-compliant, ASN.1-encoded Radio Resource Control (RRC) messages as part of control-plane procedures inside a gNB. We treat RRC messaging as a domain-specific language and fine-tune a decoder-only transformer model (LLaMA class) using parameter-efficient Low-Rank Adaptation (LoRA) on RRC messages linearized to retain their ASN.1 syntactic structure before standard byte-pair encoding tokenization. This enables combinatorial generalization over RRC protocol states while minimizing training overhead. On 30k field-test request-response pairs, our 8 B model achieves a median cosine similarity of 0.97 with ground-truth messages on an edge GPU -- a 61 % relative gain over a zero-shot LLaMA-3 8B baseline -- indicating substantially improved structural and semantic RRC fidelity. Overall, our results show that LAMs, when augmented with Radio Access Network (RAN)-specific reasoning, can directly orchestrate control-plane procedures, representing a stepping stone toward the AI-native air-interface paradigm. Beyond RRC emulation, this work lays the groundwork for future AI-native wireless standards.




Abstract:Passively cooled base stations (PCBSs) have emerged to deliver better cost and energy efficiency. However, passive cooling necessitates intelligent thermal control via traffic management, i.e., the instantaneous data traffic or throughput of a PCBS directly impacts its thermal performance. This is particularly challenging for outdoor deployment of PCBSs because the heat dissipation efficiency is uncertain and fluctuates over time. What is more, the PCBSs are interference-coupled in multi-cell scenarios. Thus, a higher-throughput PCBS leads to higher interference to the other PCBSs, which, in turn, would require more resource consumption to meet their respective throughput targets. In this paper, we address online decision-making for maximizing the total downlink throughput for a multi-PCBS system subject to constraints related on operating temperature. We demonstrate that a reinforcement learning (RL) approach, specifically soft actor-critic (SAC), can successfully perform throughput maximization while keeping the PCBSs cool, by adapting the throughput to time-varying heat dissipation conditions. Furthermore, we design a denial and reward mechanism that effectively mitigates the risk of overheating during the exploration phase of RL. Simulation results show that our approach achieves up to 88.6% of the global optimum. This is very promising, as our approach operates without prior knowledge of future heat dissipation efficiency, which is required by the global optimum.
Abstract:In this article, we study the collocated and distributed deployment of intelligent reflecting surfaces (IRS) for a fixed total number of IRS elements to support enhanced mobile broadband (eMBB) and ultra-reliable low-latency communication (URLLC) services inside a factory. We build a channel model that incorporates the line-of-sight (LOS) probability and power loss of each transmission path, and propose three metrics, namely, the expected received signal-to-noise ratio (SNR), expected finite-blocklength (FB) capacity, and expected outage probability, where the expectation is taken over the probability distributions of interior blockages and channel fading. The expected received SNR and expected FB capacity for extremely high blockage densities are derived in closed-form as functions of the amount and height of IRSs and the density, size, and penetration loss of blockages, which are verified by Monte Carlo simulations. Results show that deploying IRSs vertically higher leads to higher expected received SNR and expected FB capacity. By analysing the average/minimum/maximum of the three metrics versus the number of IRSs, we find that for high blockage densities, both eMBB and URLLC services benefit from distributed deployment; and for low blockage densities, URLLC services benefit from distributed deployment while eMBB services see limited difference between collocated and distributed deployment.
Abstract:Quantifying the performance bound of an integrated localization and communication (ILAC) system and the trade-off between communication and localization performance is critical. In this letter, we consider an ILAC system that can perform communication and localization via time-domain or frequency-domain resource allocation. We develop an analytical framework to derive the closed-form expression of the capacity loss versus localization Cramer-Rao lower bound (CRB) loss via time-domain and frequency-domain resource allocation. Simulation results validate the analytical model and demonstrate that frequency-domain resource allocation is preferable in scenarios with a smaller number of antennas at the next generation nodeB (gNB) and a larger distance between user equipment (UE) and gNB, while time-domain resource allocation is preferable in scenarios with a larger number of antennas and smaller distance between UE and the gNB.




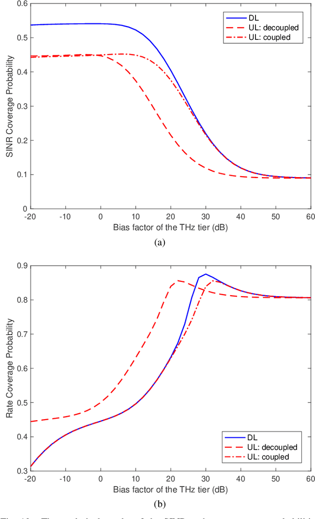
Abstract:It is expected that B5G/6G networks will exploit both terahertz (THz) and millimetre wave (mmWave) frequency bands and will increase flexibility in user equipment (UE)-cell association. In this paper, we introduce a novel stochastic geometry-based framework for the analysis of the signal-to-interference-plus-noise-ratio (SINR) and rate coverage in a multi-tier hybrid mmWave and THz network, where each tier has a particular base station (BS) density, transmit power, bandwidth, number of BS antennas, and cell-association bias factor. The proposed framework incorporates the effects of mmWave and THz channel characteristics, BS beamforming gain, and blockages. We investigate the downlink (DL) and uplink (UL) decoupled cell-association strategy and characterise the per-tier cell-association probability. Based on that, we analytically derive the SINR and rate coverage probabilities of a typical user for both DL and UL transmissions. The analytical results are validated via extensive Monte Carlo simulations. Numerical results demonstrate the superiority of the DL and UL decoupled cell-association strategy in terms of SINR and rate coverage over its coupled counterpart. Moreover, we observe that the superiority of using the DL and UL decoupled cell-association strategy becomes more evident with the dense deployment of THz networks.
Abstract:Internet-of-Things (IoT) networks are expected to support the wireless connection of massive energy limited IoT nodes. The emerging wireless powered backscatter communications (WPBC) enable IoT nodes to harvest energy from the incident radio frequency signals transmitted by a power beacon (PB) to support their circuit operation, but the energy consumption of the PB (a potentially high cost borne by the network operator) has not been sufficiently studied for WPBC. In this paper, we aim to minimize the energy consumption of the PB while satisfying the throughput requirement per IoT node by jointly optimizing the time division multiple access (TDMA) time slot duration and backscatter reflection coefficient of each IoT node and the PB transmit power per time slot. As the formulated joint optimization problem is non-convex, we transform it into a convex problem by using auxiliary variables, then employ the Lagrange dual method to obtain the optimal solutions. To reduce the implementation complexity required for adjusting the PB's transmit power every time slot, we keep the PB transmit power constant in each time block and solve the corresponding PB energy consumption minimization problem by using auxiliary variables, the block coordinated decent method and the successive convex approximation technique. Based on the above solutions, two iterative algorithms are proposed for the dynamic PB transmit power scheme and the static PB transmit power scheme. The simulation results show that the dynamic PB transmit power scheme and the static PB transmit power scheme both achieve a lower PB energy consumption than the benchmark schemes, and the former achieves the lowest PB energy consumption.




Abstract:The increasingly stringent requirement on quality-of-experience in 5G/B5G communication systems has led to the emerging neural speech enhancement techniques, which however have been developed in isolation from the existing expert-rule based models of speech pronunciation and distortion, such as the classic Linear Predictive Coding (LPC) speech model because it is difficult to integrate the models with auto-differentiable machine learning frameworks. In this paper, to improve the efficiency of neural speech enhancement, we introduce an LPC-based speech enhancement (LPCSE) architecture, which leverages the strong inductive biases in the LPC speech model in conjunction with the expressive power of neural networks. Differentiable end-to-end learning is achieved in LPCSE via two novel blocks: a block that utilizes the expert rules to reduce the computational overhead when integrating the LPC speech model into neural networks, and a block that ensures the stability of the model and avoids exploding gradients in end-to-end training by mapping the Linear prediction coefficients to the filter poles. The experimental results show that LPCSE successfully restores the formants of the speeches distorted by transmission loss, and outperforms two existing neural speech enhancement methods of comparable neural network sizes in terms of the Perceptual evaluation of speech quality (PESQ) and Short-Time Objective Intelligibility (STOI) on the LJ Speech corpus.




Abstract:The emerging millimeter-wave (mm-wave) unmanned aerial vehicle (UAV) air-to-ground (A2G) communications are facing the Doppler effect problem that arises from the inevitable wobbling of the UAV. The fast time-varying channel for UAV A2G communications may lead to the outdated channel state information (CSI) from the channel estimation. In this paper, we introduce two detectors to demodulate the received signal and get the instantaneous bit error probability (BEP) of a mm-wave UAV A2G link under imperfect CSI. Based on the designed detectors, we propose an adaptive modulation scheme to maximize the average transmission rate under imperfect CSI by optimizing the data transmission time subject to the maximum tolerable BEP. A power control policy is in conjunction with adaptive modulation to minimize the transmission power while maintaining both the BEP under the threshold and the maximized average transmission rate. Numerical results show that the proposed adaptive modulation scheme in conjunction with the power control policy could maximize the temporally averaged transmission rate, while saves as much as 50\% energy.



Abstract:This paper investigates a device-to-device (D2D) cooperative computing system, where an user can offload part of its computation task to nearby idle users with the aid of an intelligent reflecting surface (IRS). We propose to minimize the total computing delay via jointly optimizing the computation task assignment, transmit power, bandwidth allocation, and phase beamforming of the IRS. To solve the formulated problem, we devise an alternating optimization algorithm with guaranteed convergence. In particular, the task assignment strategy is derived in closed-form expression, while the phase beamforming is optimized by exploiting the semi-definite relaxation (SDR) method. Numerical results demonstrate that the IRS enhanced D2D cooperative computing scheme can achieve a much lower computing delay as compared to the conventional D2D cooperative computing strategy.