



Abstract:In next-generation communications and networks, machine learning (ML) models are expected to deliver not only accurate predictions but also well-calibrated confidence scores that reflect the true likelihood of correct decisions. This paper studies the calibration performance of an ML-based outage predictor within a single-user, multi-resource allocation framework. We first establish key theoretical properties of this system's outage probability (OP) under perfect calibration. Importantly, we show that as the number of resources grows, the OP of a perfectly calibrated predictor approaches the expected output conditioned on it being below the classification threshold. In contrast, when only one resource is available, the system's OP equals the model's overall expected output. We then derive the OP conditions for a perfectly calibrated predictor. These findings guide the choice of the classification threshold to achieve a desired OP, helping system designers meet specific reliability requirements. We also demonstrate that post-processing calibration cannot improve the system's minimum achievable OP, as it does not introduce new information about future channel states. Additionally, we show that well-calibrated models are part of a broader class of predictors that necessarily improve OP. In particular, we establish a monotonicity condition that the accuracy-confidence function must satisfy for such improvement to occur. To demonstrate these theoretical properties, we conduct a rigorous simulation-based analysis using post-processing calibration techniques: Platt scaling and isotonic regression. As part of this framework, the predictor is trained using an outage loss function specifically designed for this system. Furthermore, this analysis is performed on Rayleigh fading channels with temporal correlation captured by Clarke's 2D model, which accounts for receiver mobility.
Abstract:Deep learning (DL) has shown great potential for enhancing channel state information (CSI) feedback in multiple-input multiple-output (MIMO) communication systems, a subject currently under study by the 3GPP standards body. Digital twins (DTs) have emerged as an effective means to generate site-specific datasets for training DL-based CSI feedback models. However, most existing studies rely solely on simulations, leaving the effectiveness of DTs in reducing DL training costs yet to be validated through realistic experimental setups. This paper addresses this gap by establishing a real-world (RW) environment and corresponding virtual channels using ray tracing with replicated 3D models and accurate antenna properties. We evaluate whether models trained in DT environments can effectively operate in RW scenarios and quantify the benefits of online learning (OL) for performance enhancement. Results show that a dedicated DT remains essential even with OL to achieve satisfactory performance in RW scenarios.
Abstract:Task offloading management in 6G vehicular networks is crucial for maintaining network efficiency, particularly as vehicles generate substantial data. Integrating secure communication through authentication introduces additional computational and communication overhead, significantly impacting offloading efficiency and latency. This paper presents a unified framework incorporating lightweight Identity-Based Cryptographic (IBC) authentication into task offloading within cloud-based 6G Vehicular Twin Networks (VTNs). Utilizing Proximal Policy Optimization (PPO) in Deep Reinforcement Learning (DRL), our approach optimizes authenticated offloading decisions to minimize latency and enhance resource allocation. Performance evaluation under varying network sizes, task sizes, and data rates reveals that IBC authentication can reduce offloading efficiency by up to 50% due to the added overhead. Besides, increasing network size and task size can further reduce offloading efficiency by up to 91.7%. As a countermeasure, increasing the transmission data rate can improve the offloading performance by as much as 63%, even in the presence of authentication overhead. The code for the simulations and experiments detailed in this paper is available on GitHub for further reference and reproducibility [1].




Abstract:The idea of next-generation ports has become more apparent in the last ten years in response to the challenge posed by the rising demand for efficiency and the ever-increasing volume of goods. In this new era of intelligent infrastructure and facilities, it is evident that cyber-security has recently received the most significant attention from the seaport and maritime authorities, and it is a primary concern on the agenda of most ports. Traditional security solutions can be applied to safeguard IoT and Cyber-Physical Systems (CPS) from harmful entities. Nevertheless, security researchers can only watch, examine, and learn about the behaviors of attackers if these solutions operate more transparently. Herein, honeypots are potential solutions since they offer valuable information about the attackers. It can be virtual or physical. Virtual honeypots must be more realistic to entice attackers, necessitating better high-fidelity. To this end, Digital Twin (DT) technology can be employed to increase the complexity and simulation fidelity of the honeypots. Seaports can be attacked from both their existing devices and external devices at the same time. Existing mechanisms are insufficient to detect external attacks; therefore, the current systems cannot handle attacks at the desired level. DT and honeypot technologies can be used together to tackle them. Consequently, we suggest a DT-assisted honeypot, called TwinPot, for external attacks in smart seaports. Moreover, we propose an intelligent attack detection mechanism to handle different attack types using DT for internal attacks. Finally, we build an extensive smart seaport dataset for internal and external attacks using the MANSIM tool and two existing datasets to test the performance of our system. We show that under simultaneous internal and external attacks on the system, our solution successfully detects internal and external attacks.




Abstract:Existing distributed denial of service attack (DDoS) solutions cannot handle highly aggregated data rates; thus, they are unsuitable for Internet service provider (ISP) core networks. This article proposes a digital twin-enabled intelligent DDoS detection mechanism using an online learning method for autonomous systems. Our contributions are three-fold: we first design a DDoS detection architecture based on the digital twin for ISP core networks. We implemented a Yet Another Next Generation (YANG) model and an automated feature selection (AutoFS) module to handle core network data. We used an online learning approach to update the model instantly and efficiently, improve the learning model quickly, and ensure accurate predictions. Finally, we reveal that our proposed solution successfully detects DDoS attacks and updates the feature selection method and learning model with a true classification rate of ninety-seven percent. Our proposed solution can estimate the attack within approximately fifteen minutes after the DDoS attack starts.




Abstract:We propose a new spectrum allocation strategy, aided by unsupervised learning, for multiuser terahertz communication systems. In this strategy, adaptive sub-band bandwidth is considered such that the spectrum of interest can be divided into sub-bands with unequal bandwidths. This strategy reduces the variation in molecular absorption loss among the users, leading to the improved data rate performance. We first formulate an optimization problem to determine the optimal sub-band bandwidth and transmit power, and then propose the unsupervised learning-based approach to obtaining the near-optimal solution to this problem. In the proposed approach, we first train a deep neural network (DNN) while utilizing a loss function that is inspired by the Lagrangian of the formulated problem. Then using the trained DNN, we approximate the near-optimal solutions. Numerical results demonstrate that comparing to existing approaches, our proposed unsupervised learning-based approach achieves a higher data rate, especially when the molecular absorption coefficient within the spectrum of interest varies in a highly non-linear manner.




Abstract:In this paper, we propose a deep reinforcement learning (DRL) approach for solving the optimisation problem of the network's sum-rate in device-to-device (D2D) communications supported by an intelligent reflecting surface (IRS). The IRS is deployed to mitigate the interference and enhance the signal between the D2D transmitter and the associated D2D receiver. Our objective is to jointly optimise the transmit power at the D2D transmitter and the phase shift matrix at the IRS to maximise the network sum-rate. We formulate a Markov decision process and then propose the proximal policy optimisation for solving the maximisation game. Simulation results show impressive performance in terms of the achievable rate and processing time.




Abstract:Many of the devices used in Internet-of-Things (IoT) applications are energy-limited, and thus supplying energy while maintaining seamless connectivity for IoT devices is of considerable importance. In this context, we propose a simultaneous wireless power transfer and information transmission scheme for IoT devices with support from reconfigurable intelligent surface (RIS)-aided unmanned aerial vehicle (UAV) communications. In particular, in a first phase, IoT devices harvest energy from the UAV through wireless power transfer; and then in a second phase, the UAV collects data from the IoT devices through information transmission. To characterise the agility of the UAV, we consider two scenarios: a hovering UAV and a mobile UAV. Aiming at maximizing the total network sum-rate, we jointly optimize the trajectory of the UAV, the energy harvesting scheduling of IoT devices, and the phaseshift matrix of the RIS. We formulate a Markov decision process and propose two deep reinforcement learning algorithms to solve the optimization problem of maximizing the total network sum-rate. Numerical results illustrate the effectiveness of the UAV's flying path optimization and the network's throughput of our proposed techniques compared with other benchmark schemes. Given the strict requirements of the RIS and UAV, the significant improvement in processing time and throughput performance demonstrates that our proposed scheme is well applicable for practical IoT applications.




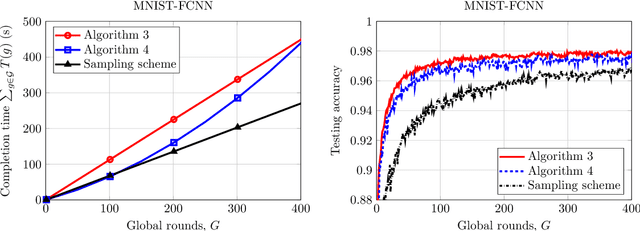
Abstract:Federated learning (FL) is capable of performing large distributed machine learning tasks across multiple edge users by periodically aggregating trained local parameters. To address key challenges of enabling FL over a wireless fog-cloud system (e.g., non-i.i.d. data, users' heterogeneity), we first propose an efficient FL algorithm (called FedFog) to perform the local aggregation of gradient parameters at fog servers and global training update at the cloud. Next, we employ FedFog in wireless fog-cloud systems by investigating a novel network-aware FL optimization problem that strikes the balance between the global loss and completion time. An iterative algorithm is then developed to obtain a precise measurement of the system performance, which helps design an efficient stopping criteria to output an appropriate number of global rounds. To mitigate the straggler effect, we propose a flexible user aggregation strategy that trains fast users first to obtain a certain level of accuracy before allowing slow users to join the global training updates. Extensive numerical results using several real-world FL tasks are provided to verify the theoretical convergence of FedFog. We also show that the proposed co-design of FL and communication is essential to substantially improve resource utilization while achieving comparable accuracy of the learning model.




Abstract:Unmanned aerial vehicles (UAVs) are now beginning to be deployed for enhancing the network performance and coverage in wireless communication. However, due to the limitation of their on-board power and flight time, it is challenging to obtain an optimal resource allocation scheme for the UAV-assisted Internet of Things (IoT). In this paper, we design a new UAV-assisted IoT systems relying on the shortest flight path of the UAVs while maximising the amount of data collected from IoT devices. Then, a deep reinforcement learning-based technique is conceived for finding the optimal trajectory and throughput in a specific coverage area. After training, the UAV has the ability to autonomously collect all the data from user nodes at a significant total sum-rate improvement while minimising the associated resources used. Numerical results are provided to highlight how our techniques strike a balance between the throughput attained, trajectory, and the time spent. More explicitly, we characterise the attainable performance in terms of the UAV trajectory, the expected reward and the total sum-rate.