Abstract:Physical-layer characteristics, such as channel state information (CSI) and transmitter noise induced by hardware impairments, are often uniquely associated with a transmitter. This paper investigates transmitter anonymity at the physical layer from a signal design perspective. We consider an anonymous communication problem where the receiver should reliably decode the signal from the transmitter but should not make use of the signal to infer the transmitter's identity.Transmitter anonymity is quantified using a Kullback-Leibler divergence (KLD)-based metric, which enables the formulation of explicit anonymity constraints in the precoder design.We then propose an anonymous symbol-level precoding strategy that preserves reliable communication under spatial multiplexing while preventing transmitter identification. The proposed framework employs a partitioned equal-gain combining (P-EGC) scheme that leverages receiver diversity without requiring transmitter-specific CSI. Simulation results demonstrate anonymity-reliability tradeoffs across different signal-to-noise ratios (SNRs) and numbers of data streams. Moreover, the results reveal opposite trends of anonymity with respect to transmitter-dependent noise variations in the low-SNR and high-SNR regimes.
Abstract:In this paper, we develop a tractable analytical framework for a three-dimensional (3D) indoor terahertz (THz) communication system to theoretically assess the impact of the pointing error on its coverage performance. Specifically, we model the locations of access points (APs) using a Poisson point process, human blockages as random cylinder processes, and wall blockages through a Boolean straight line process. A pointing error refers to beamforming gain and direction mismatch between the transmitter and receiver. We characterize it based on the inaccuracy of location estimate. We then analyze the impact of this pointing error on the received signal power and derive a tractable expression for the coverage probability, incorporating the multi-cluster fluctuating two-ray distribution to accurately model small-scale fading in THz communications. Aided by simulation results, we corroborate our analysis and demonstrate that the pointing error has a pronounced impact on the coverage probability. Specifically, we find that merely increasing the antenna array size is insufficient to improve the coverage probability and mitigate the detrimental impact of the pointing error, highlighting the necessity of advanced estimation techniques in THz communication systems.
Abstract:This work studies near-field secure communications through transmit beamfocusing. We examine the benefit of having a protected eavesdropper-free zone around the legitimate receiver, and we determine the worst-case secrecy performance against a potential eavesdropper located anywhere outside the protected zone. A max-min optimization problem is formulated for the beamfocusing design with and without artificial noise transmission. Despite the NP-hardness of the problem, we develop a synchronous gradient descent-ascent framework that approximates the global maximin solution. A low-complexity solution is also derived that delivers excellent performance over a wide range of operating conditions. We further extend this study to a scenario where it is not possible to physically enforce a protected zone. To this end, we consider secure communications through the creation of a virtual protected zone using a full-duplex legitimate receiver. Numerical results demonstrate that exploiting either the physical or virtual receiver-centered protected zone with appropriately designed beamfocusing is an effective strategy for achieving secure near-field communications.




Abstract:In this paper, we study a secure integrated sensing and communication (ISAC) system employing a full-duplex base station with sensing capabilities against a mobile proactive adversarial target$\unicode{x2014}$a malicious unmanned aerial vehicle (M-UAV). We develop a game-theoretic model to enhance communication security, radar sensing accuracy, and power efficiency. The interaction between the legitimate network and the mobile adversary is formulated as a non-cooperative Stackelberg game (NSG), where the M-UAV acts as the leader and strategically adjusts its trajectory to improve its eavesdropping ability while conserving power and avoiding obstacles. In response, the legitimate network, acting as the follower, dynamically allocates resources to minimize network power usage while ensuring required secrecy rates and sensing performance. To address this challenging problem, we propose a low-complexity successive convex approximation (SCA) method for network resource optimization combined with a deep reinforcement learning (DRL) algorithm for adaptive M-UAV trajectory planning through sequential interactions and learning. Simulation results demonstrate the efficacy of the proposed method in addressing security challenges of dynamic ISAC systems in 6G, i.e., achieving a Stackelberg equilibrium with robust performance while mitigating the adversary's ability to intercept network signals.




Abstract:In this paper, we develop a novel analytical framework for a three-dimensional (3D) indoor terahertz (THz) communication system. Our proposed model incorporates more accurate modeling of wall blockages via Manhattan line processes and precise modeling of THz fading channels via a fluctuating two-ray (FTR) channel model. We also account for traditional unique features of THz, such as molecular absorption loss, user blockages, and 3D directional antenna beams. Moreover, we model locations of access points (APs) using a Poisson point process and adopt the nearest line-of-sight AP association strategy. Due to the high penetration loss caused by wall blockages, we consider that a user equipment (UE) and its associated AP and interfering APs are all in the same rectangular area, i.e., a room. Based on the proposed rectangular area model, we evaluate the impact of the UE's location on the distance to its associated AP. We then develop a tractable method to derive a new expression for the coverage probability by examining the interference from interfering APs and considering the FTR fading experienced by THz communications. Aided by simulation results, we validate our analysis and demonstrate that the UE's location has a pronounced impact on its coverage probability. Additionally, we find that the optimal AP density is determined by both the UE's location and the room size, which provides valuable insights for meeting the coverage requirements of future THz communication system deployment.




Abstract:This paper studies an extremely large-scale reconfigurable intelligent surface (XL-RIS) empowered covert communication system in the near-field region. Alice covertly transmits messages to Bob with the assistance of the XL-RIS, while evading detection by Willie. To enhance the covert communication performance, we maximize the achievable covert rate by jointly optimizing the hybrid analog and digital beamformers at Alice, as well as the reflection coefficient matrix at the XL-RIS. An alternating optimization algorithm is proposed to solve the joint beamforming design problem. For the hybrid beamformer design, a semi-closed-form solution for fully digital beamformer is first obtained by a weighted minimum mean-square error based algorithm, then the baseband digital and analog beamformers at Alice are designed by approximating the fully digital beamformer via manifold optimization. For the XL-RIS's reflection coefficient matrix design, a low-complexity alternating direction method of multipliers based algorithm is proposed to address the challenge of large-scale variables and unit-modulus constraints. Numerical results unveil that i) the near-field communications can achieve a higher covert rate than the far-field covert communications in general, and still realize covert transmission even if Willie is located at the same direction as Bob and closer to the XL-RIS; ii) the proposed algorithm can enhance the covert rate significantly compared to the benchmark schemes; iii) the proposed algorithm leads to a beam diffraction pattern that can bypass Willie and achieve high-rate covert transmission to Bob.




Abstract:In this paper, we propose a secure short-packet communication (SPC) system involving an unmanned aerial vehicle (UAV)-aided relay in the presence of a terrestrial passive eavesdropper. The considered system, which is applicable to various next-generation Internet-of-Things (IoT) networks, exploits a UAV as a mobile relay, facilitating the reliable and secure exchange of intermittent short packets between a pair of remote IoT devices with strict latency. Our objective is to improve the overall secrecy throughput performance of the system by carefully designing key parameters such as the coding blocklengths and the UAV trajectory. However, this inherently poses a challenging optimization problem that is difficult to solve optimally. To address the issue, we propose a low-complexity algorithm inspired by the block successive convex approximation approach, where we divide the original problem into two subproblems and solve them alternately until convergence. Numerical results demonstrate that the proposed design achieves significant performance improvements relative to other benchmarks, and offer valuable insights into determining appropriate coding blocklengths and UAV trajectory.




Abstract:Short-packet communication (SPC) and unmanned aerial vehicles (UAVs) are anticipated to play crucial roles in the development of 5G-and-beyond wireless networks and the Internet of Things (IoT). In this paper, we propose a secure SPC system, where a UAV serves as a mobile decode-and-forward (DF) relay, periodically receiving and relaying small data packets from a remote IoT device to its receiver in two hops with strict latency requirements, in the presence of an eavesdropper. This system requires careful optimization of important design parameters, such as the coding blocklengths of both hops, transmit powers, and UAV's trajectory. While the overall optimization problem is nonconvex, we tackle it by applying a block successive convex approximation (BSCA) approach to divide the original problem into three subproblems and solve them separately. Then, an overall iterative algorithm is proposed to obtain the final design with guaranteed convergence. Our proposed low-complexity algorithm incorporates 3D trajectory design and resource management to optimize the effective average secrecy throughput of the communication system over the course of UAV-relay's mission. Simulation results demonstrate significant performance improvements compared to various benchmark schemes and provide useful design insights on the coding blocklengths and transmit powers along the trajectory of the UAV.




Abstract:In this work, we propose an adaptive system design for an Internet of Things (IoT) monitoring network with latency and reliability requirements, where IoT devices generate time-critical and event-triggered bursty traffic, and an unmanned aerial vehicle (UAV) aggregates and relays sensed data to the base station. Existing transmission schemes based on the overall average traffic rates over-utilize network resources when traffic is smooth, and suffer from packet collisions when traffic is bursty which occurs in an event of interest. We address such problems by designing an adaptive transmission scheme employing multiuser shared access (MUSA) based grant-free non-orthogonal multiple access and use short packet communication for low latency of the IoT-to-UAV communication. Specifically, to accommodate bursty traffic, we design an analytical framework and formulate an optimization problem to maximize the performance by determining the optimal number of transmission time slots, subject to the stringent reliability and latency constraints. We compare the performance of the proposed scheme with a non-adaptive power-diversity based scheme with a fixed number of time slots. Our results show that the proposed scheme has superior reliability and stability in comparison to the state-of-the-art scheme at moderate to high average traffic rates, while satisfying the stringent latency requirements.




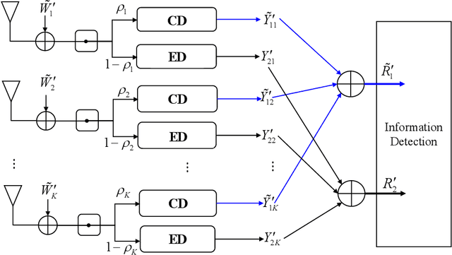
Abstract:Recently proposed splitting receivers, utilizing both coherently and non-coherently processed signals for detection, have demonstrated remarkable performance gain compared to conventional receivers in the single-antenna scenario. In this paper, we propose a multi-antenna splitting receiver, where the received signal at each antenna is split into an envelope detection (ED) branch and a coherent detection (CD) branch, and the processed signals from both branches of all antennas are then jointly utilized for recovering the transmitted information. We derive a closed-form approximation of the achievable mutual information (MI) in terms of the key receiver design parameters, including the power splitting ratio at each antenna and the signal combining coefficients from all the ED and CD branches. We further optimize these receiver design parameters and demonstrate important design insights for the proposed multi-antenna ED-CD splitting receiver: 1) the optimal splitting ratio is identical at each antenna, and 2) the optimal combining coefficients for the ED and CD branches are the same, and each coefficient is proportional to the corresponding antenna's channel power gain. Our numerical results also demonstrate the MI performance improvement of the proposed receiver over conventional non-splitting receivers.