Abstract:Concept Bottleneck Models (CBMs) are machine learning models that improve interpretability by grounding their predictions on human-understandable concepts, allowing for targeted interventions in their decision-making process. However, when intervened on, CBMs assume the availability of humans that can identify the need to intervene and always provide correct interventions. Both assumptions are unrealistic and impractical, considering labor costs and human error-proneness. In contrast, Learning to Defer (L2D) extends supervised learning by allowing machine learning models to identify cases where a human is more likely to be correct than the model, thus leading to deferring systems with improved performance. In this work, we gain inspiration from L2D and propose Deferring CBMs (DCBMs), a novel framework that allows CBMs to learn when an intervention is needed. To this end, we model DCBMs as a composition of deferring systems and derive a consistent L2D loss to train them. Moreover, by relying on a CBM architecture, DCBMs can explain why defer occurs on the final task. Our results show that DCBMs achieve high predictive performance and interpretability at the cost of deferring more to humans.




Abstract:The need for modelling causal knowledge at different levels of granularity arises in several settings. Causal Abstraction provides a framework for formalizing this problem by relating two Structural Causal Models at different levels of detail. Despite increasing interest in applying causal abstraction, e.g. in the interpretability of large machine learning models, the graphical and parametrical conditions under which a causal model can abstract another are not known. Furthermore, learning causal abstractions from data is still an open problem. In this work, we tackle both issues for linear causal models with linear abstraction functions. First, we characterize how the low-level coefficients and the abstraction function determine the high-level coefficients and how the high-level model constrains the causal ordering of low-level variables. Then, we apply our theoretical results to learn high-level and low-level causal models and their abstraction function from observational data. In particular, we introduce Abs-LiNGAM, a method that leverages the constraints induced by the learned high-level model and the abstraction function to speedup the recovery of the larger low-level model, under the assumption of non-Gaussian noise terms. In simulated settings, we show the effectiveness of learning causal abstractions from data and the potential of our method in improving scalability of causal discovery.




Abstract:The structure learning problem consists of fitting data generated by a Directed Acyclic Graph (DAG) to correctly reconstruct its arcs. In this context, differentiable approaches constrain or regularize the optimization problem using a continuous relaxation of the acyclicity property. The computational cost of evaluating graph acyclicity is cubic on the number of nodes and significantly affects scalability. In this paper we introduce COSMO, a constraint-free continuous optimization scheme for acyclic structure learning. At the core of our method, we define a differentiable approximation of an orientation matrix parameterized by a single priority vector. Differently from previous work, our parameterization fits a smooth orientation matrix and the resulting acyclic adjacency matrix without evaluating acyclicity at any step. Despite the absence of explicit constraints, we prove that COSMO always converges to an acyclic solution. In addition to being asymptotically faster, our empirical analysis highlights how COSMO performance on graph reconstruction compares favorably with competing structure learning methods.




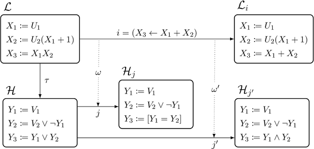
Abstract:Causal abstraction provides a theory describing how several causal models can represent the same system at different levels of detail. Existing theoretical proposals limit the analysis of abstract models to "hard" interventions fixing causal variables to be constant values. In this work, we extend causal abstraction to "soft" interventions, which assign possibly non-constant functions to variables without adding new causal connections. Specifically, (i) we generalize $\tau$-abstraction from Beckers and Halpern (2019) to soft interventions, (ii) we propose a further definition of soft abstraction to ensure a unique map $\omega$ between soft interventions, and (iii) we prove that our constructive definition of soft abstraction guarantees the intervention map $\omega$ has a specific and necessary explicit form.