School of Mathematical Science, Inner Mongolia University, Hohhot, China
Abstract:Interpolating missing data in k-space is essential for accelerating imaging. However, existing methods, including convolutional neural network-based deep learning, primarily exploit local predictability while overlooking the inherent global dependencies in k-space. Recently, Transformers have demonstrated remarkable success in natural language processing and image analysis due to their ability to capture long-range dependencies. This inspires the use of Transformers for k-space interpolation to better exploit its global structure. However, their lack of interpretability raises concerns regarding the reliability of interpolated data. To address this limitation, we propose GPI-WT, a white-box Transformer framework based on Globally Predictable Interpolation (GPI) for k-space. Specifically, we formulate GPI from the perspective of annihilation as a novel k-space structured low-rank (SLR) model. The global annihilation filters in the SLR model are treated as learnable parameters, and the subgradients of the SLR model naturally induce a learnable attention mechanism. By unfolding the subgradient-based optimization algorithm of SLR into a cascaded network, we construct the first white-box Transformer specifically designed for accelerated MRI. Experimental results demonstrate that the proposed method significantly outperforms state-of-the-art approaches in k-space interpolation accuracy while providing superior interpretability.




Abstract:Recovering hidden structures from incomplete or noisy data remains a pervasive challenge across many fields, particularly where multi-dimensional data representation is essential. Quaternion matrices, with their ability to naturally model multi-dimensional data, offer a promising framework for this problem. This paper introduces the quaternion nuclear norm over the Frobenius norm (QNOF) as a novel nonconvex approximation for the rank of quaternion matrices. QNOF is parameter-free and scale-invariant. Utilizing quaternion singular value decomposition, we prove that solving the QNOF can be simplified to solving the singular value $L_1/L_2$ problem. Additionally, we extend the QNOF to robust quaternion matrix completion, employing the alternating direction multiplier method to derive solutions that guarantee weak convergence under mild conditions. Extensive numerical experiments validate the proposed model's superiority, consistently outperforming state-of-the-art quaternion methods.




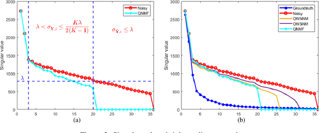
Abstract:Color image restoration methods typically represent images as vectors in Euclidean space or combinations of three monochrome channels. However, they often overlook the correlation between these channels, leading to color distortion and artifacts in the reconstructed image. To address this, we present Quaternion Nuclear Norm Minus Frobenius Norm Minimization (QNMF), a novel approach for color image reconstruction. QNMF utilizes quaternion algebra to capture the relationships among RGB channels comprehensively. By employing a regularization technique that involves nuclear norm minus Frobenius norm, QNMF approximates the underlying low-rank structure of quaternion-encoded color images. Theoretical proofs are provided to ensure the method's mathematical integrity. Demonstrating versatility and efficacy, the QNMF regularizer excels in various color low-level vision tasks, including denoising, deblurring, inpainting, and random impulse noise removal, achieving state-of-the-art results.




Abstract:Sparse view computed tomography (CT) reconstruction poses a challenging ill-posed inverse problem, necessitating effective regularization techniques. In this letter, we employ $L_p$-norm ($0<p<1$) regularization to induce sparsity and introduce inertial steps, leading to the development of the inertial $L_p$-norm half-quadratic splitting algorithm. We rigorously prove the convergence of this algorithm. Furthermore, we leverage deep learning to initialize the conjugate gradient method, resulting in a deep unrolling network with theoretical guarantees. Our extensive numerical experiments demonstrate that our proposed algorithm surpasses existing methods, particularly excelling in fewer scanned views and complex noise conditions.




Abstract:Image demosaicing and denoising play a critical role in the raw imaging pipeline. These processes have often been treated as independent, without considering their interactions. Indeed, most classic denoising methods handle noisy RGB images, not raw images. Conversely, most demosaicing methods address the demosaicing of noise free images. The real problem is to jointly denoise and demosaic noisy raw images. But the question of how to proceed is still not yet clarified. In this paper, we carry-out extensive experiments and a mathematical analysis to tackle this problem by low complexity algorithms. Indeed, both problems have been only addressed jointly by end-to-end heavy weight convolutional neural networks (CNNs), which are currently incompatible with low power portable imaging devices and remain by nature domain (or device) dependent. Our study leads us to conclude that, with moderate noise, demosaicing should be applied first, followed by denoising. This requires a simple adaptation of classic denoising algorithms to demosaiced noise, which we justify and specify. Although our main conclusion is ``demosaic first, then denoise'', we also discover that for high noise, there is a moderate PSNR gain by a more complex strategy: partial CFA denoising followed by demosaicing, and by a second denoising on the RGB image. These surprising results are obtained by a black-box optimization of the pipeline, which could be applied to any other pipeline. We validate our results on simulated and real noisy CFA images obtained from several benchmarks.




Abstract:PET suffers from a low signal-to-noise ratio. Meanwhile, the k-space data acquisition process in MRI is time-consuming by PET-MRI systems. We aim to accelerate MRI and improve PET image quality. This paper proposed a novel joint reconstruction model by diffusion stochastic differential equations based on learning the joint probability distribution of PET and MRI. Compare the results underscore the qualitative and quantitative improvements our model brings to PET and MRI reconstruction, surpassing the current state-of-the-art methodologies. Joint PET-MRI reconstruction is a challenge in the PET-MRI system. This studies focused on the relationship extends beyond edges. In this study, PET is generated from MRI by learning joint probability distribution as the relationship.
Abstract:The main objective of the Multiple Kernel k-Means (MKKM) algorithm is to extract non-linear information and achieve optimal clustering by optimizing base kernel matrices. Current methods enhance information diversity and reduce redundancy by exploiting interdependencies among multiple kernels based on correlations or dissimilarities. Nevertheless, relying solely on a single metric, such as correlation or dissimilarity, to define kernel relationships introduces bias and incomplete characterization. Consequently, this limitation hinders efficient information extraction, ultimately compromising clustering performance. To tackle this challenge, we introduce a novel method that systematically integrates both kernel correlation and dissimilarity. Our approach comprehensively captures kernel relationships, facilitating more efficient classification information extraction and improving clustering performance. By emphasizing the coherence between kernel correlation and dissimilarity, our method offers a more objective and transparent strategy for extracting non-linear information and significantly improving clustering precision, supported by theoretical rationale. We assess the performance of our algorithm on 13 challenging benchmark datasets, demonstrating its superiority over contemporary state-of-the-art MKKM techniques.




Abstract:With the widespread application of convolutional neural networks (CNNs), the traditional model based denoising algorithms are now outperformed. However, CNNs face two problems. First, they are computationally demanding, which makes their deployment especially difficult for mobile terminals. Second, experimental evidence shows that CNNs often over-smooth regular textures present in images, in contrast to traditional non-local models. In this letter, we propose a solution to both issues by combining a nonlocal algorithm with a lightweight residual CNN. This solution gives full latitude to the advantages of both models. We apply this framework to two GPU implementations of classic nonlocal algorithms (NLM and BM3D) and observe a substantial gain in both cases, performing better than the state-of-the-art with low computational requirements. Our solution is between 10 and 20 times faster than CNNs with equivalent performance and attains higher PSNR. In addition the final method shows a notable gain on images containing complex textures like the ones of the MIT Moire dataset.
Abstract:Positron Emission Tomography and Magnetic Resonance Imaging (PET-MRI) systems can obtain functional and anatomical scans. PET suffers from a low signal-to-noise ratio. Meanwhile, the k-space data acquisition process in MRI is time-consuming. The study aims to accelerate MRI and enhance PET image quality. Conventional approaches involve the separate reconstruction of each modality within PET-MRI systems. However, there exists complementary information among multi-modal images. The complementary information can contribute to image reconstruction. In this study, we propose a novel PET-MRI joint reconstruction model employing a mutual consistency-driven diffusion mode, namely MC-Diffusion. MC-Diffusion learns the joint probability distribution of PET and MRI for utilizing complementary information. We conducted a series of contrast experiments about LPLS, Joint ISAT-net and MC-Diffusion by the ADNI dataset. The results underscore the qualitative and quantitative improvements achieved by MC-Diffusion, surpassing the state-of-the-art method.
Abstract:Skin lesion segmentation is of great significance for skin lesion analysis and subsequent treatment. It is still a challenging task due to the irregular and fuzzy lesion borders, and diversity of skin lesions. In this paper, we propose Triple-UNet to automatically segment skin lesions. It is an organic combination of three UNet architectures with suitable modules. In order to concatenate the first and second sub-networks more effectively, we design a region of interest enhancement module (ROIE). The ROIE enhances the target object region of the image by using the predicted score map of the first UNet. The features learned by the first UNet and the enhanced image help the second UNet obtain a better score map. Finally, the results are fine-tuned by the third UNet. We evaluate our algorithm on a publicly available dataset of skin lesion segmentation. Experiments show that Triple-UNet outperforms the state-of-the-art on skin lesion segmentation.