



Abstract:Identifying super-spreaders can be framed as a subtask of the influence maximisation problem. It seeks to pinpoint agents within a network that, if selected as single diffusion seeds, disseminate information most effectively. Multilayer networks, a specific class of heterogeneous graphs, can capture diverse types of interactions (e.g., physical-virtual or professional-social), and thus offer a more accurate representation of complex relational structures. In this work, we introduce a novel approach to identifying super-spreaders in such networks by leveraging graph neural networks. To this end, we construct a dataset by simulating information diffusion across hundreds of networks - to the best of our knowledge, the first of its kind tailored specifically to multilayer networks. We further formulate the task as a variation of the ranking prediction problem based on a four-dimensional vector that quantifies each agent's spreading potential: (i) the number of activations; (ii) the duration of the diffusion process; (iii) the peak number of activations; and (iv) the simulation step at which this peak occurs. Our model, TopSpreadersNetwork, comprises a relationship-agnostic encoder and a custom aggregation layer. This design enables generalisation to previously unseen data and adapts to varying graph sizes. In an extensive evaluation, we compare our model against classic centrality-based heuristics and competitive deep learning methods. The results, obtained across a broad spectrum of real-world and synthetic multilayer networks, demonstrate that TopSpreadersNetwork achieves superior performance in identifying high-impact nodes, while also offering improved interpretability through its structured output.




Abstract:Knowledge-intensive tasks pose a significant challenge for Machine Learning (ML) techniques. Commonly adopted methods, such as Large Language Models (LLMs), often exhibit limitations when applied to such tasks. Nevertheless, there have been notable endeavours to mitigate these challenges, with a significant emphasis on augmenting LLMs through Knowledge Graphs (KGs). While KGs provide many advantages for representing knowledge, their development costs can deter extensive research and applications. Addressing this limitation, we introduce a framework for enriching embeddings of small-scale domain-specific Knowledge Graphs with well-established general-purpose KGs. Adopting our method, a modest domain-specific KG can benefit from a performance boost in downstream tasks when linked to a substantial general-purpose KG. Experimental evaluations demonstrate a notable enhancement, with up to a 44% increase observed in the Hits@10 metric. This relatively unexplored research direction can catalyze more frequent incorporation of KGs in knowledge-intensive tasks, resulting in more robust, reliable ML implementations, which hallucinates less than prevalent LLM solutions. Keywords: knowledge graph, knowledge graph completion, entity alignment, representation learning, machine learning




Abstract:In recent years, unsupervised and self-supervised graph representation learning has gained popularity in the research community. However, most proposed methods are focused on homogeneous networks, whereas real-world graphs often contain multiple node and edge types. Multiplex graphs, a special type of heterogeneous graphs, possess richer information, provide better modeling capabilities and integrate more detailed data from potentially different sources. The diverse edge types in multiplex graphs provide more context and insights into the underlying processes of representation learning. In this paper, we tackle the problem of learning representations for nodes in multiplex networks in an unsupervised or self-supervised manner. To that end, we explore diverse information fusion schemes performed at different levels of the graph processing pipeline. The detailed analysis and experimental evaluation of various scenarios inspired us to propose improvements in how to construct GNN architectures that deal with multiplex graphs.




Abstract:In recent years, self-supervised learning has played a pivotal role in advancing machine learning by allowing models to acquire meaningful representations from unlabeled data. An intriguing research avenue involves developing self-supervised models within an information-theoretic framework, but many studies often deviate from the stochasticity assumptions made when deriving their objectives. To gain deeper insights into this issue, we propose to explicitly model the representation with stochastic embeddings and assess their effects on performance, information compression and potential for out-of-distribution detection. From an information-theoretic perspective, we seek to investigate the impact of probabilistic modeling on the information bottleneck, shedding light on a trade-off between compression and preservation of information in both representation and loss space. Emphasizing the importance of distinguishing between these two spaces, we demonstrate how constraining one can affect the other, potentially leading to performance degradation. Moreover, our findings suggest that introducing an additional bottleneck in the loss space can significantly enhance the ability to detect out-of-distribution examples, only leveraging either representation features or the variance of their underlying distribution.




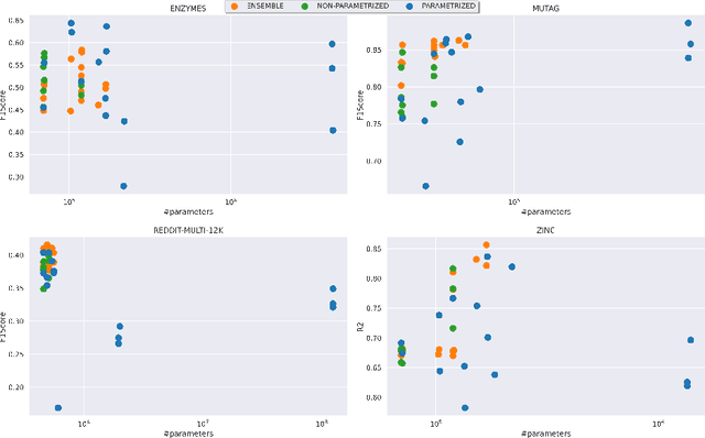
Abstract:Graph machine learning models have been successfully deployed in a variety of application areas. One of the most prominent types of models - Graph Neural Networks (GNNs) - provides an elegant way of extracting expressive node-level representation vectors, which can be used to solve node-related problems, such as classifying users in a social network. However, many tasks require representations at the level of the whole graph, e.g., molecular applications. In order to convert node-level representations into a graph-level vector, a so-called readout function must be applied. In this work, we study existing readout methods, including simple non-trainable ones, as well as complex, parametrized models. We introduce a concept of ensemble-based readout functions that combine either representations or predictions. Our experiments show that such ensembles allow for better performance than simple single readouts or similar performance as the complex, parametrized ones, but at a fraction of the model complexity.




Abstract:Learning representations of nodes has been a crucial area of the graph machine learning research area. A well-defined node embedding model should reflect both node features and the graph structure in the final embedding. In the case of dynamic graphs, this problem becomes even more complex as both features and structure may change over time. The embeddings of particular nodes should remain comparable during the evolution of the graph, what can be achieved by applying an alignment procedure. This step was often applied in existing works after the node embedding was already computed. In this paper, we introduce a framework -- RAFEN -- that allows to enrich any existing node embedding method using the aforementioned alignment term and learning aligned node embedding during training time. We propose several variants of our framework and demonstrate its performance on six real-world datasets. RAFEN achieves on-par or better performance than existing approaches without requiring additional processing steps.


Abstract:In order to advance large-scale graph machine learning, the Open Graph Benchmark Large Scale Challenge (OGB-LSC) was proposed at the KDD Cup 2021. The PCQM4M-LSC dataset defines a molecular HOMO-LUMO property prediction task on about 3.8M graphs. In this short paper, we show our current work-in-progress solution which builds an ensemble of three graph neural networks models based on GIN, Bayesian Neural Networks and DiffPool. Our approach outperforms the provided baseline by 7.6%. Moreover, using uncertainty in our ensemble's prediction, we can identify molecules whose HOMO-LUMO gaps are harder to predict (with Pearson's correlation of 0.5181). We anticipate that this will facilitate active learning.




Abstract:The self-supervised learning (SSL) paradigm is an essential exploration area, which tries to eliminate the need for expensive data labeling. Despite the great success of SSL methods in computer vision and natural language processing, most of them employ contrastive learning objectives that require negative samples, which are hard to define. This becomes even more challenging in the case of graphs and is a bottleneck for achieving robust representations. To overcome such limitations, we propose a framework for self-supervised graph representation learning -- Graph Barlow Twins, which utilizes a cross-correlation-based loss function instead of negative samples. Moreover, it does not rely on non-symmetric neural network architectures -- in contrast to state-of-the-art self-supervised graph representation learning method BGRL. We show that our method achieves as competitive results as BGRL, best self-supervised methods, and fully supervised ones while requiring substantially fewer hyperparameters and converging in an order of magnitude training steps earlier.




Abstract:Representation learning has overcome the often arduous and manual featurization of networks through (unsupervised) feature learning as it results in embeddings that can apply to a variety of downstream learning tasks. The focus of representation learning on graphs has focused mainly on shallow (node-centric) or deep (graph-based) learning approaches. While there have been approaches that work on homogeneous and heterogeneous networks with multi-typed nodes and edges, there is a gap in learning edge representations. This paper proposes a novel unsupervised inductive method called AttrE2Vec, which learns a low-dimensional vector representation for edges in attributed networks. It systematically captures the topological proximity, attributes affinity, and feature similarity of edges. Contrary to current advances in edge embedding research, our proposal extends the body of methods providing representations for edges, capturing graph attributes in an inductive and unsupervised manner. Experimental results show that, compared to contemporary approaches, our method builds more powerful edge vector representations, reflected by higher quality measures (AUC, accuracy) in downstream tasks as edge classification and edge clustering. It is also confirmed by analyzing low-dimensional embedding projections.




Abstract:Prediction over edges and nodes in graphs requires appropriate and efficiently achieved data representation. Recent research on representation learning for dynamic networks resulted in a significant progress. However, the more precise and accurate methods, the greater computational and memory complexity. Here, we introduce ICMEN - the first-in-class incremental meta-embedding method that produces vector representations of nodes respecting temporal dependencies in the graph. ICMEN efficiently constructs nodes' embedding from historical representations by linearly convex combinations making the process less memory demanding than state-of-the-art embedding algorithms. The method is capable of constructing representation for inactive and new nodes without a need to re-embed. The results of link prediction on several real-world datasets shown that applying ICMEN incremental meta-method to any base embedding approach, we receive similar results and save memory and computational power. Taken together, our work proposes a new way of efficient online representation learning in dynamic complex networks.