



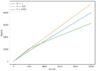
Abstract:In Reinforcement Learning (RL), tasks with instantaneous hard constraints present significant challenges, particularly when the decision space is non-convex or non-star-convex. This issue is especially relevant in domains like autonomous vehicles and robotics, where constraints such as collision avoidance often take a non-convex form. In this paper, we establish a regret bound of $\tilde{\mathcal{O}}\bigl(\bigl(1 + \tfrac{1}{\tau}\bigr) \sqrt{\log(\tfrac{1}{\tau}) d^3 H^4 K} \bigr)$, applicable to both star-convex and non-star-convex cases, where $d$ is the feature dimension, $H$ the episode length, $K$ the number of episodes, and $\tau$ the safety threshold. Moreover, the violation of safety constraints is zero with high probability throughout the learning process. A key technical challenge in these settings is bounding the covering number of the value-function class, which is essential for achieving value-aware uniform concentration in model-free function approximation. For the star-convex setting, we develop a novel technique called Objective Constraint-Decomposition (OCD) to properly bound the covering number. This result also resolves an error in a previous work on constrained RL. In non-star-convex scenarios, where the covering number can become infinitely large, we propose a two-phase algorithm, Non-Convex Safe Least Squares Value Iteration (NCS-LSVI), which first reduces uncertainty about the safe set by playing a known safe policy. After that, it carefully balances exploration and exploitation to achieve the regret bound. Finally, numerical simulations on an autonomous driving scenario demonstrate the effectiveness of NCS-LSVI.
Abstract:Multi-objective multi-armed bandit (MO-MAB) problems traditionally aim to achieve Pareto optimality. However, real-world scenarios often involve users with varying preferences across objectives, resulting in a Pareto-optimal arm that may score high for one user but perform quite poorly for another. This highlights the need for customized learning, a factor often overlooked in prior research. To address this, we study a preference-aware MO-MAB framework in the presence of explicit user preference. It shifts the focus from achieving Pareto optimality to further optimizing within the Pareto front under preference-centric customization. To our knowledge, this is the first theoretical study of customized MO-MAB optimization with explicit user preferences. Motivated by practical applications, we explore two scenarios: unknown preference and hidden preference, each presenting unique challenges for algorithm design and analysis. At the core of our algorithms are preference estimation and preference-aware optimization mechanisms to adapt to user preferences effectively. We further develop novel analytical techniques to establish near-optimal regret of the proposed algorithms. Strong empirical performance confirm the effectiveness of our approach.


Abstract:Partially observable Markov decision processes (POMDPs) have been widely applied to capture many real-world applications. However, existing theoretical results have shown that learning in general POMDPs could be intractable, where the main challenge lies in the lack of latent state information. A key fundamental question here is how much hindsight state information (HSI) is sufficient to achieve tractability. In this paper, we establish a lower bound that reveals a surprising hardness result: unless we have full HSI, we need an exponentially scaling sample complexity to obtain an $\epsilon$-optimal policy solution for POMDPs. Nonetheless, from the key insights in our lower-bound construction, we find that there exist important tractable classes of POMDPs even with partial HSI. In particular, for two novel classes of POMDPs with partial HSI, we provide new algorithms that are shown to be near-optimal by establishing new upper and lower bounds.




Abstract:In the field of semi-supervised medical image segmentation, the shortage of labeled data is the fundamental problem. How to effectively learn image features from unlabeled images to improve segmentation accuracy is the main research direction in this field. Traditional self-training methods can partially solve the problem of insufficient labeled data by generating pseudo labels for iterative training. However, noise generated due to the model's uncertainty during training directly affects the segmentation results. Therefore, we added sample-level and pixel-level uncertainty to stabilize the training process based on the self-training framework. Specifically, we saved several moments of the model during pre-training, and used the difference between their predictions on unlabeled samples as the sample-level uncertainty estimate for that sample. Then, we gradually add unlabeled samples from easy to hard during training. At the same time, we added a decoder with different upsampling methods to the segmentation network and used the difference between the outputs of the two decoders as pixel-level uncertainty. In short, we selectively retrained unlabeled samples and assigned pixel-level uncertainty to pseudo labels to optimize the self-training process. We compared the segmentation results of our model with five semi-supervised approaches on the public 2017 ACDC dataset and 2018 Prostate dataset. Our proposed method achieves better segmentation performance on both datasets under the same settings, demonstrating its effectiveness, robustness, and potential transferability to other medical image segmentation tasks. Keywords: Medical image segmentation, semi-supervised learning, self-training, uncertainty estimation




Abstract:The information diffusion performance of GCN and its variant models is limited by the adjacency matrix, which can lower their performance. Therefore, we introduce a new framework for graph convolutional networks called Hybrid Diffusion-based Graph Convolutional Network (HD-GCN) to address the limitations of information diffusion caused by the adjacency matrix. In the HD-GCN framework, we initially utilize diffusion maps to facilitate the diffusion of information among nodes that are adjacent to each other in the feature space. This allows for the diffusion of information between similar points that may not have an adjacent relationship. Next, we utilize graph convolution to further propagate information among adjacent nodes after the diffusion maps, thereby enabling the spread of information among similar nodes that are adjacent in the graph. Finally, we employ the diffusion distances obtained through the use of diffusion maps to regularize and constrain the predicted labels of training nodes. This regularization method is then applied to the HD-GCN training, resulting in a smoother classification surface. The model proposed in this paper effectively overcomes the limitations of information diffusion imposed only by the adjacency matrix. HD-GCN utilizes hybrid diffusion by combining information diffusion between neighborhood nodes in the feature space and adjacent nodes in the adjacency matrix. This method allows for more comprehensive information propagation among nodes, resulting in improved model performance. We evaluated the performance of DM-GCN on three well-known citation network datasets and the results showed that the proposed framework is more effective than several graph-based semi-supervised learning methods.
Abstract:In many applications of Reinforcement Learning (RL), it is critically important that the algorithm performs safely, such that instantaneous hard constraints are satisfied at each step, and unsafe states and actions are avoided. However, existing algorithms for ''safe'' RL are often designed under constraints that either require expected cumulative costs to be bounded or assume all states are safe. Thus, such algorithms could violate instantaneous hard constraints and traverse unsafe states (and actions) in practice. Therefore, in this paper, we develop the first near-optimal safe RL algorithm for episodic Markov Decision Processes with unsafe states and actions under instantaneous hard constraints and the linear mixture model. It not only achieves a regret $\tilde{O}(\frac{d H^3 \sqrt{dK}}{\Delta_c})$ that tightly matches the state-of-the-art regret in the setting with only unsafe actions and nearly matches that in the unconstrained setting, but is also safe at each step, where $d$ is the feature-mapping dimension, $K$ is the number of episodes, $H$ is the number of steps in each episode, and $\Delta_c$ is a safety-related parameter. We also provide a lower bound $\tilde{\Omega}(\max\{dH \sqrt{K}, \frac{H}{\Delta_c^2}\})$, which indicates that the dependency on $\Delta_c$ is necessary. Further, both our algorithm design and regret analysis involve several novel ideas, which may be of independent interest.
Abstract:Switching costs, which capture the costs for changing policies, are regarded as a critical metric in reinforcement learning (RL), in addition to the standard metric of losses (or rewards). However, existing studies on switching costs (with a coefficient $\beta$ that is strictly positive and is independent of $T$) have mainly focused on static RL, where the loss distribution is assumed to be fixed during the learning process, and thus practical scenarios where the loss distribution could be non-stationary or even adversarial are not considered. While adversarial RL better models this type of practical scenarios, an open problem remains: how to develop a provably efficient algorithm for adversarial RL with switching costs? This paper makes the first effort towards solving this problem. First, we provide a regret lower-bound that shows that the regret of any algorithm must be larger than $\tilde{\Omega}( ( H S A )^{1/3} T^{2/3} )$, where $T$, $S$, $A$ and $H$ are the number of episodes, states, actions and layers in each episode, respectively. Our lower bound indicates that, due to the fundamental challenge of switching costs in adversarial RL, the best achieved regret (whose dependency on $T$ is $\tilde{O}(\sqrt{T})$) in static RL with switching costs (as well as adversarial RL without switching costs) is no longer achievable. Moreover, we propose two novel switching-reduced algorithms with regrets that match our lower bound when the transition function is known, and match our lower bound within a small factor of $\tilde{O}( H^{1/3} )$ when the transition function is unknown. Our regret analysis demonstrates the near-optimal performance of them.




Abstract:Recent development in angle-resolved photoemission spectroscopy (ARPES) technique involves spatially resolving samples while maintaining the high-resolution feature of momentum space. This development easily expands the data size and its complexity for data analysis, where one of it is to label similar dispersion cuts and map them spatially. In this work, we demonstrate that the recent development in representational learning (self-supervised learning) model combined with k-means clustering can help automate that part of data analysis and save precious time, albeit with low performance. Finally, we introduce a few-shot learning (k-nearest neighbour or kNN) in representational space where we selectively choose one (k=1) image reference for each known label and subsequently label the rest of the data with respect to the nearest reference image. This last approach demonstrates the strength of the self-supervised learning to automate the image analysis in ARPES in particular and can be generalized into any science data analysis that heavily involves image data.




Abstract:Face privacy-preserving is one of the hotspots that arises dramatic interests of research. However, the existing face privacy-preserving methods aim at causing the missing of semantic information of face and cannot preserve the reusability of original facial information. To achieve the naturalness of the processed face and the recoverability of the original protected face, this paper proposes face privacy-preserving method based on Invertible "Mask" Network (IMN). In IMN, we introduce a Mask-net to generate "Mask" face firstly. Then, put the "Mask" face onto the protected face and generate the masked face, in which the masked face is indistinguishable from "Mask" face. Finally, "Mask" face can be put off from the masked face and obtain the recovered face to the authorized users, in which the recovered face is visually indistinguishable from the protected face. The experimental results show that the proposed method can not only effectively protect the privacy of the protected face, but also almost perfectly recover the protected face from the masked face.