



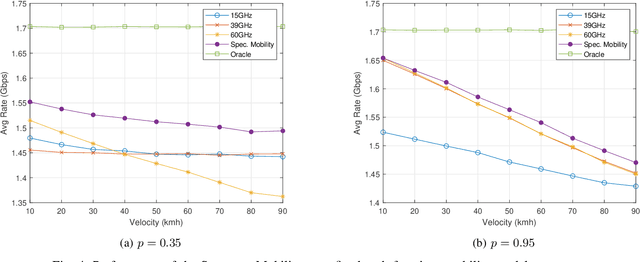
Abstract:The large bandwidths available at millimeter wave (mmWave) FR2 bands (24-71 GHz) and the emerging FR3 bands (7-24 GHz) are essential for supporting high data rates. Highly directional beams utilized to overcome the attenuation in these frequencies necessitate robust and efficient beamforming schemes. Nevertheless, antenna and beam management approaches still face challenges in highly mobile solutions, such as vehicular connectivity, with increasing number of bands. In this work, the concepts of spectrum mobility is studied along with antenna array management in multiple frequencies to improve beamforming under mobility. The spectrum mobility problem aims to select the optimal channel frequency and beam direction in each time slot to maximize data rate. This problem is formulated as a Partially Observable Markov Decision Process (POMDP) and Point-Based Value Iteration (PBVI) algorithm is used to find a policy with performance guarantees. Numerical examples confirm the efficacy of the resulting policy for multiple available frequency bands, even when the user mobility significantly deviates from models assumed during policy generation.




Abstract:In Reinforcement Learning (RL), tasks with instantaneous hard constraints present significant challenges, particularly when the decision space is non-convex or non-star-convex. This issue is especially relevant in domains like autonomous vehicles and robotics, where constraints such as collision avoidance often take a non-convex form. In this paper, we establish a regret bound of $\tilde{\mathcal{O}}\bigl(\bigl(1 + \tfrac{1}{\tau}\bigr) \sqrt{\log(\tfrac{1}{\tau}) d^3 H^4 K} \bigr)$, applicable to both star-convex and non-star-convex cases, where $d$ is the feature dimension, $H$ the episode length, $K$ the number of episodes, and $\tau$ the safety threshold. Moreover, the violation of safety constraints is zero with high probability throughout the learning process. A key technical challenge in these settings is bounding the covering number of the value-function class, which is essential for achieving value-aware uniform concentration in model-free function approximation. For the star-convex setting, we develop a novel technique called Objective Constraint-Decomposition (OCD) to properly bound the covering number. This result also resolves an error in a previous work on constrained RL. In non-star-convex scenarios, where the covering number can become infinitely large, we propose a two-phase algorithm, Non-Convex Safe Least Squares Value Iteration (NCS-LSVI), which first reduces uncertainty about the safe set by playing a known safe policy. After that, it carefully balances exploration and exploitation to achieve the regret bound. Finally, numerical simulations on an autonomous driving scenario demonstrate the effectiveness of NCS-LSVI.




Abstract:Large-scale deployment of connected vehicles with cooperative sensing and maneuvering technologies increases the demand for vehicle-to-everything communication (V2X) band in 5.9 GHz. Besides the V2X spectrum, the under-utilized millimeter-wave (mmWave) bands at 24 and 77 GHz can be leveraged to supplement V2X communication and support high data rates for emerging broadband applications. For this purpose, joint radar-communication (JRC) systems have been proposed in the literature to perform both functions using the same waveform and hardware. In this work, we present a software-defined multiple-input and multiple-output (MIMO) JRC with orthogonal frequency division multiplexing (OFDM) for the 24 GHz mmWave band. We implement a real-time operating full-duplex JRC platform using commercially available software-defined radios and custom-built mmWave front-ends. With fully digital MIMO architecture, we demonstrate simultaneous data transmission and high-resolution radar imaging capabilities of MIMO OFDM JRC in the mmWave band.




Abstract:Large-scale deployment of connected vehicles with cooperative awareness technologies increases the demand for vehicle-to-everything (V2X) communication spectrum in 5.9 GHz that is mainly allocated for the exchange of safety messages. To supplement V2X communication and support the high data rates needed by broadband applications, the millimeter-wave (mmWave) automotive radar spectrum at 76-81 GHz can be utilized. For this purpose, joint radar-communication systems have been proposed in the literature to perform both functions using the same waveform and hardware. While multiple-input and multiple-output (MIMO) communication with multiple users enables independent data streaming for high throughput, MIMO radar processing provides high-resolution imaging that is crucial for safety-critical systems. However, employing conventional precoding methods designed for communication generates directional beams that impair MIMO radar imaging and target tracking capabilities during data streaming. In this paper, we propose a MIMO joint automotive radar-communication (JARC) framework based on orthogonal frequency division multiplexing (OFDM) waveform. First, we show that the MIMO-OFDM preamble can be exploited for both MIMO radar processing and estimation of the communication channel. Then, we propose an optimal precoder design method that enables high accuracy target tracking while transmitting independent data streams to multiple receivers. The proposed methods provide high-resolution radar imaging and high throughput capabilities for MIMO JARC networks. Finally, we evaluate the efficacy of the proposed methods through numerical simulations.




Abstract:mmWave technology is set to become a main feature of next generation wireless networks, e.g., 5G mobile and WiFi 802.11ad/ay. Among the basic and most fundamental challenges facing mmWave is the ability to overcome its unfavorable propagation characteristics using energy efficient solutions. This has been addressed using innovative transceiver architectures. However, these architectures have their own limitations when it comes to channel estimation. This paper focuses on channel estimation and poses it as a source compression problem, where channel measurements are designed to mimic an encoded (compressed) version of the channel. We show that linear source codes can significantly reduce the number of channel measurements required to discover all channel paths. We also propose a deep-learning-based approach for decoding the obtained measurements, which enables high-speed and efficient channel discovery.