Abstract:Large language models (LLMs) have evolved into agentic systems capable of autonomous tool use and multi-step reasoning for complex problem-solving. However, post-training approaches building upon general-purpose foundation models consistently underperform in agentic tasks, particularly in open-source implementations. We identify the root cause: the absence of robust agentic foundation models forces models during post-training to simultaneously learn diverse agentic behaviors while aligning them to expert demonstrations, thereby creating fundamental optimization tensions. To this end, we are the first to propose incorporating Agentic Continual Pre-training (Agentic CPT) into the deep research agents training pipeline to build powerful agentic foundational models. Based on this approach, we develop a deep research agent model named AgentFounder. We evaluate our AgentFounder-30B on 10 benchmarks and achieve state-of-the-art performance while retains strong tool-use ability, notably 39.9% on BrowseComp-en, 43.3% on BrowseComp-zh, and 31.5% Pass@1 on HLE.
Abstract:Large Language Model (LLM)-based web agents demonstrate strong performance on knowledge-intensive tasks but are hindered by context window limitations in paradigms like ReAct. Complex queries involving multiple entities, intertwined relationships, and high uncertainty demand extensive search cycles that rapidly exhaust context budgets before reaching complete solutions. To overcome this challenge, we introduce ReSum, a novel paradigm that enables indefinite exploration through periodic context summarization. ReSum converts growing interaction histories into compact reasoning states, maintaining awareness of prior discoveries while bypassing context constraints. For paradigm adaptation, we propose ReSum-GRPO, integrating GRPO with segmented trajectory training and advantage broadcasting to familiarize agents with summary-conditioned reasoning. Extensive experiments on web agents of varying scales across three benchmarks demonstrate that ReSum delivers an average absolute improvement of 4.5\% over ReAct, with further gains of up to 8.2\% following ReSum-GRPO training. Notably, with only 1K training samples, our WebResummer-30B (a ReSum-GRPO-trained version of WebSailor-30B) achieves 33.3\% Pass@1 on BrowseComp-zh and 18.3\% on BrowseComp-en, surpassing existing open-source web agents.
Abstract:Transcending human cognitive limitations represents a critical frontier in LLM training. Proprietary agentic systems like DeepResearch have demonstrated superhuman capabilities on extremely complex information-seeking benchmarks such as BrowseComp, a feat previously unattainable. We posit that their success hinges on a sophisticated reasoning pattern absent in open-source models: the ability to systematically reduce extreme uncertainty when navigating vast information landscapes. Based on this insight, we introduce WebSailor, a complete post-training methodology designed to instill this crucial capability. Our approach involves generating novel, high-uncertainty tasks through structured sampling and information obfuscation, RFT cold start, and an efficient agentic RL training algorithm, Duplicating Sampling Policy Optimization (DUPO). With this integrated pipeline, WebSailor significantly outperforms all open-source agents in complex information-seeking tasks, matching proprietary agents' performance and closing the capability gap.
Abstract:Recent advances in deep-research systems have demonstrated the potential for AI agents to autonomously discover and synthesize knowledge from external sources. In this paper, we introduce WebResearcher, a novel framework for building such agents through two key components: (1) WebResearcher, an iterative deep-research paradigm that reformulates deep research as a Markov Decision Process, where agents periodically consolidate findings into evolving reports while maintaining focused workspaces, overcoming the context suffocation and noise contamination that plague existing mono-contextual approaches; and (2) WebFrontier, a scalable data synthesis engine that generates high-quality training data through tool-augmented complexity escalation, enabling systematic creation of research tasks that bridge the gap between passive knowledge recall and active knowledge construction. Notably, we find that the training data from our paradigm significantly enhances tool-use capabilities even for traditional mono-contextual methods. Furthermore, our paradigm naturally scales through parallel thinking, enabling concurrent multi-agent exploration for more comprehensive conclusions. Extensive experiments across 6 challenging benchmarks demonstrate that WebResearcher achieves state-of-the-art performance, even surpassing frontier proprietary systems.
Abstract:Retrieval-Augmented Generation (RAG) has become a standard approach for improving the reliability of large language models (LLMs). Prior work demonstrates the vulnerability of RAG systems by misleading them into generating attacker-chosen outputs through poisoning the knowledge base. However, this paper uncovers that such attacks could be mitigated by the strong \textit{self-correction ability (SCA)} of modern LLMs, which can reject false context once properly configured. This SCA poses a significant challenge for attackers aiming to manipulate RAG systems. In contrast to previous poisoning methods, which primarily target the knowledge base, we introduce \textsc{DisarmRAG}, a new poisoning paradigm that compromises the retriever itself to suppress the SCA and enforce attacker-chosen outputs. This compromisation enables the attacker to straightforwardly embed anti-SCA instructions into the context provided to the generator, thereby bypassing the SCA. To this end, we present a contrastive-learning-based model editing technique that performs localized and stealthy edits, ensuring the retriever returns a malicious instruction only for specific victim queries while preserving benign retrieval behavior. To further strengthen the attack, we design an iterative co-optimization framework that automatically discovers robust instructions capable of bypassing prompt-based defenses. We extensively evaluate DisarmRAG across six LLMs and three QA benchmarks. Our results show near-perfect retrieval of malicious instructions, which successfully suppress SCA and achieve attack success rates exceeding 90\% under diverse defensive prompts. Also, the edited retriever remains stealthy under several detection methods, highlighting the urgent need for retriever-centric defenses.




Abstract:Transcending human cognitive limitations represents a critical frontier in LLM training. Proprietary agentic systems like DeepResearch have demonstrated superhuman capabilities on extremely complex information-seeking benchmarks such as BrowseComp, a feat previously unattainable. We posit that their success hinges on a sophisticated reasoning pattern absent in open-source models: the ability to systematically reduce extreme uncertainty when navigating vast information landscapes. Based on this insight, we introduce WebSailor, a complete post-training methodology designed to instill this crucial capability. Our approach involves generating novel, high-uncertainty tasks through structured sampling and information obfuscation, RFT cold start, and an efficient agentic RL training algorithm, Duplicating Sampling Policy Optimization (DUPO). With this integrated pipeline, WebSailor significantly outperforms all opensource agents in complex information-seeking tasks, matching proprietary agents' performance and closing the capability gap.




Abstract:Models based on U-like structures have improved the performance of medical image segmentation. However, the single-layer decoder structure of U-Net is too "thin" to exploit enough information, resulting in large semantic differences between the encoder and decoder parts. Things get worse if the number of training sets of data is not sufficiently large, which is common in medical image processing tasks where annotated data are more difficult to obtain than other tasks. Based on this observation, we propose a novel U-Net model named MS-UNet for the medical image segmentation task in this study. Instead of the single-layer U-Net decoder structure used in Swin-UNet and TransUnet, we specifically design a multi-scale nested decoder based on the Swin Transformer for U-Net. The proposed multi-scale nested decoder structure allows the feature mapping between the decoder and encoder to be semantically closer, thus enabling the network to learn more detailed features. In addition, we propose a novel edge loss and a plug-and-play fine-tuning Denoising module, which not only effectively improves the segmentation performance of MS-UNet, but could also be applied to other models individually. Experimental results show that MS-UNet could effectively improve the network performance with more efficient feature learning capability and exhibit more advanced performance, especially in the extreme case with a small amount of training data, and the proposed Edge loss and Denoising module could significantly enhance the segmentation performance of MS-UNet.




Abstract:Benefiting from the message passing mechanism, Graph Neural Networks (GNNs) have been successful on flourish tasks over graph data. However, recent studies have shown that attackers can catastrophically degrade the performance of GNNs by maliciously modifying the graph structure. A straightforward solution to remedy this issue is to model the edge weights by learning a metric function between pairwise representations of two end nodes, which attempts to assign low weights to adversarial edges. The existing methods use either raw features or representations learned by supervised GNNs to model the edge weights. However, both strategies are faced with some immediate problems: raw features cannot represent various properties of nodes (e.g., structure information), and representations learned by supervised GNN may suffer from the poor performance of the classifier on the poisoned graph. We need representations that carry both feature information and as mush correct structure information as possible and are insensitive to structural perturbations. To this end, we propose an unsupervised pipeline, named STABLE, to optimize the graph structure. Finally, we input the well-refined graph into a downstream classifier. For this part, we design an advanced GCN that significantly enhances the robustness of vanilla GCN without increasing the time complexity. Extensive experiments on four real-world graph benchmarks demonstrate that STABLE outperforms the state-of-the-art methods and successfully defends against various attacks.




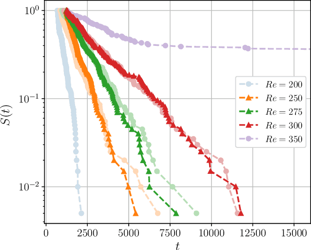
Abstract:Neural networks have proven to be remarkably successful for a wide range of complicated tasks, from image recognition and object detection to speech recognition and machine translation. One of their successes is the skill in prediction of future dynamics given a suitable training set of data. Previous studies have shown how Echo State Networks (ESNs), a subset of Recurrent Neural Networks, can successfully predict even chaotic systems for times longer than the Lyapunov time. This study shows that, remarkably, ESNs can successfully predict dynamical behavior that is qualitatively different from any behavior contained in the training set. Evidence is provided for a fluid dynamics problem where the flow can transition between laminar (ordered) and turbulent (disordered) regimes. Despite being trained on the turbulent regime only, ESNs are found to predict laminar behavior. Moreover, the statistics of turbulent-to-laminar and laminar-to-turbulent transitions are also predicted successfully, and the utility of ESNs in acting as an early-warning system for transition is discussed. These results are expected to be widely applicable to data-driven modelling of temporal behaviour in a range of physical, climate, biological, ecological and finance models characterized by the presence of tipping points and sudden transitions between several competing states.