Abstract:The universal approximation theorem establishes that neural networks can approximate any continuous function on a compact set. Later works in approximation theory provide quantitative approximation rates for ReLU networks on the class of $α$-Hölder functions $f: [0,1]^N \to \mathbb{R}$. The goal of this paper is to provide similar quantitative approximation results in the context of group equivariant learning, where the learned $α$-Hölder function is known to obey certain group symmetries. While there has been much interest in the literature in understanding the universal approximation properties of equivariant models, very few quantitative approximation results are known for equivariant models. In this paper, we bridge this gap by deriving quantitative approximation rates for several prominent group-equivariant and invariant architectures. The architectures that we consider include: the permutation-invariant Deep Sets architecture; the permutation-equivariant Sumformer and Transformer architectures; joint invariance to permutations and rigid motions using invariant networks based on frame averaging; and general bi-Lipschitz invariant models. Overall, we show that equally-sized ReLU MLPs and equivariant architectures are equally expressive over equivariant functions. Thus, hard-coding equivariance does not result in a loss of expressivity or approximation power in these models.
Abstract:In-context Learning (ICL) is the remarkable capability displayed by some machine learning models to learn from examples in a prompt, without any further weight updates. ICL had originally been thought to emerge from the self-attention mechanism in autoregressive transformer architectures. DeepOSets is a non-autoregressive, non-attention based neural architecture that combines set learning via the DeepSets architecture with operator learning via Deep Operator Networks (DeepONets). In a previous study, DeepOSets was shown to display ICL capabilities in supervised learning problems. In this paper, we show that the DeepOSets architecture, with the appropriate modifications, is a multi-operator in-context learner that can recover the solution operator of a new PDE, not seen during training, from example pairs of parameter and solution placed in a user prompt, without any weight updates. Furthermore, we show that DeepOSets is a universal uniform approximator over a class of continuous operators, which we believe is the first result of its kind in the literature of scientific machine learning. This means that a single DeepOSets architecture exists that approximates in-context any continuous operator in the class to any fixed desired degree accuracy, given an appropriate number of examples in the prompt. Experiments with Poisson and reaction-diffusion forward and inverse boundary-value problems demonstrate the ability of the proposed model to use in-context examples to predict accurately the solutions corresponding to parameter queries for PDEs not seen during training.
Abstract:A fundamental problem in statistics and machine learning is to estimate a function $f$ from possibly noisy observations of its point samples. The goal is to design a numerical algorithm to construct an approximation $\hat f$ to $f$ in a prescribed norm that asymptotically achieves the best possible error (as a function of the number $m$ of observations and the variance $\sigma^2$ of the noise). This problem has received considerable attention in both nonparametric statistics (noisy observations) and optimal recovery (noiseless observations). Quantitative bounds require assumptions on $f$, known as model class assumptions. Classical results assume that $f$ is in the unit ball of a Besov space. In nonparametric statistics, the best possible performance of an algorithm for finding $\hat f$ is known as the minimax rate and has been studied in this setting under the assumption that the noise is Gaussian. In optimal recovery, the best possible performance of an algorithm is known as the optimal recovery rate and has also been determined in this setting. While one would expect that the minimax rate recovers the optimal recovery rate when the noise level $\sigma$ tends to zero, it turns out that the current results on minimax rates do not carefully determine the dependence on $\sigma$ and the limit cannot be taken. This paper handles this issue and determines the noise-level-aware (NLA) minimax rates for Besov classes when error is measured in an $L_q$-norm with matching upper and lower bounds. The end result is a reconciliation between minimax rates and optimal recovery rates. The NLA minimax rate continuously depends on the noise level and recovers the optimal recovery rate when $\sigma$ tends to zero.




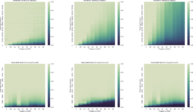
Abstract:Kolmogorov-Arnold Networks (KAN) \cite{liu2024kan} were very recently proposed as a potential alternative to the prevalent architectural backbone of many deep learning models, the multi-layer perceptron (MLP). KANs have seen success in various tasks of AI for science, with their empirical efficiency and accuracy demostrated in function regression, PDE solving, and many more scientific problems. In this article, we revisit the comparison of KANs and MLPs, with emphasis on a theoretical perspective. On the one hand, we compare the representation and approximation capabilities of KANs and MLPs. We establish that MLPs can be represented using KANs of a comparable size. This shows that the approximation and representation capabilities of KANs are at least as good as MLPs. Conversely, we show that KANs can be represented using MLPs, but that in this representation the number of parameters increases by a factor of the KAN grid size. This suggests that KANs with a large grid size may be more efficient than MLPs at approximating certain functions. On the other hand, from the perspective of learning and optimization, we study the spectral bias of KANs compared with MLPs. We demonstrate that KANs are less biased toward low frequencies than MLPs. We highlight that the multi-level learning feature specific to KANs, i.e. grid extension of splines, improves the learning process for high-frequency components. Detailed comparisons with different choices of depth, width, and grid sizes of KANs are made, shedding some light on how to choose the hyperparameters in practice.

Abstract:Let $\Omega\subset \mathbb{R}^d$ be a bounded domain. We consider the problem of how efficiently shallow neural networks with the ReLU$^k$ activation function can approximate functions from Sobolev spaces $W^s(L_p(\Omega))$ with error measured in the $L_q(\Omega)$-norm. Utilizing the Radon transform and recent results from discrepancy theory, we provide a simple proof of nearly optimal approximation rates in a variety of cases, including when $q\leq p$, $p\geq 2$, and $s \leq k + (d+1)/2$. The rates we derive are optimal up to logarithmic factors, and significantly generalize existing results. An interesting consequence is that the adaptivity of shallow ReLU$^k$ neural networks enables them to obtain optimal approximation rates for smoothness up to order $s = k + (d+1)/2$, even though they represent piecewise polynomials of fixed degree $k$.
Abstract:Canonicalization provides an architecture-agnostic method for enforcing equivariance, with generalizations such as frame-averaging recently gaining prominence as a lightweight and flexible alternative to equivariant architectures. Recent works have found an empirical benefit to using probabilistic frames instead, which learn weighted distributions over group elements. In this work, we provide strong theoretical justification for this phenomenon: for commonly-used groups, there is no efficiently computable choice of frame that preserves continuity of the function being averaged. In other words, unweighted frame-averaging can turn a smooth, non-symmetric function into a discontinuous, symmetric function. To address this fundamental robustness problem, we formally define and construct \emph{weighted} frames, which provably preserve continuity, and demonstrate their utility by constructing efficient and continuous weighted frames for the actions of $SO(2)$, $SO(3)$, and $S_n$ on point clouds.
Abstract:We consider gradient flow/gradient descent and heavy ball/accelerated gradient descent optimization for convex objective functions. In the gradient flow case, we prove the following: 1. If $f$ does not have a minimizer, the convergence $f(x_t)\to \inf f$ can be arbitrarily slow. 2. If $f$ does have a minimizer, the excess energy $f(x_t) - \inf f$ is integrable/summable in time. In particular, $f(x_t) - \inf f = o(1/t)$ as $t\to\infty$. 3. In Hilbert spaces, this is optimal: $f(x_t) - \inf f$ can decay to $0$ as slowly as any given function which is monotone decreasing and integrable at $\infty$, even for a fixed quadratic objective. 4. In finite dimension (or more generally, for all gradient flow curves of finite length), this is not optimal: We prove that there are convex monotone decreasing integrable functions $g(t)$ which decrease to zero slower than $f(x_t)-\inf f$ for the gradient flow of any convex function on $\mathbb R^d$. For instance, we show that any gradient flow $x_t$ of a convex function $f$ in finite dimension satisfies $\liminf_{t\to\infty} \big(t\cdot \log^2(t)\cdot \big\{f(x_t) -\inf f\big\}\big)=0$. This improves on the commonly reported $O(1/t)$ rate and provides a sharp characterization of the energy decay law. We also note that it is impossible to establish a rate $O(1/(t\phi(t))$ for any function $\phi$ which satisfies $\lim_{t\to\infty}\phi(t) = \infty$, even asymptotically. Similar results are obtained in related settings for (1) discrete time gradient descent, (2) stochastic gradient descent with multiplicative noise and (3) the heavy ball ODE. In the case of stochastic gradient descent, the summability of $\mathbb E[f(x_n) - \inf f]$ is used to prove that $f(x_n)\to \inf f$ almost surely - an improvement on the convergence almost surely up to a subsequence which follows from the $O(1/n)$ decay estimate.
Abstract:We study the following two related problems. The first is to determine to what error an arbitrary zonoid in $\mathbb{R}^{d+1}$ can be approximated in the Hausdorff distance by a sum of $n$ line segments. The second is to determine optimal approximation rates in the uniform norm for shallow ReLU$^k$ neural networks on their variation spaces. The first of these problems has been solved for $d\neq 2,3$, but when $d=2,3$ a logarithmic gap between the best upper and lower bounds remains. We close this gap, which completes the solution in all dimensions. For the second problem, our techniques significantly improve upon existing approximation rates when $k\geq 1$, and enable uniform approximation of both the target function and its derivatives.
Abstract:We investigate the approximation of functions $f$ on a bounded domain $\Omega\subset \mathbb{R}^d$ by the outputs of single-hidden-layer ReLU neural networks of width $n$. This form of nonlinear $n$-term dictionary approximation has been intensely studied since it is the simplest case of neural network approximation (NNA). There are several celebrated approximation results for this form of NNA that introduce novel model classes of functions on $\Omega$ whose approximation rates avoid the curse of dimensionality. These novel classes include Barron classes, and classes based on sparsity or variation such as the Radon-domain BV classes. The present paper is concerned with the definition of these novel model classes on domains $\Omega$. The current definition of these model classes does not depend on the domain $\Omega$. A new and more proper definition of model classes on domains is given by introducing the concept of weighted variation spaces. These new model classes are intrinsic to the domain itself. The importance of these new model classes is that they are strictly larger than the classical (domain-independent) classes. Yet, it is shown that they maintain the same NNA rates.

Abstract:We study the fundamental limits of matching pursuit, or the pure greedy algorithm, for approximating a target function by a sparse linear combination of elements from a dictionary. When the target function is contained in the variation space corresponding to the dictionary, many impressive works over the past few decades have obtained upper and lower bounds on the error of matching pursuit, but they do not match. The main contribution of this paper is to close this gap and obtain a sharp characterization of the decay rate of matching pursuit. Specifically, we construct a worst case dictionary which shows that the existing best upper bound cannot be significantly improved. It turns out that, unlike other greedy algorithm variants, the converge rate is suboptimal and is determined by the solution to a certain non-linear equation. This enables us to conclude that any amount of shrinkage improves matching pursuit in the worst case.