



Abstract:This paper investigates integrated localization and communication in a multi-cell system and proposes a coordinated beamforming algorithm to enhance target localization accuracy while preserving communication performance. Within this integrated sensing and communication (ISAC) system, the Cramer-Rao lower bound (CRLB) is adopted to quantify the accuracy of target localization, with its closed-form expression derived for the first time. It is shown that the nuisance parameters can be disregarded without impacting the CRLB of time of arrival (TOA)-based target localization. Capitalizing on the derived CRLB, we formulate a nonconvex coordinated beamforming problem to minimize the CRLB while satisfying signal-to-interference-plus-noise ratio (SINR) constraints in communication. To facilitate the development of solution, we reformulate the original problem into a more tractable form and solve it through semi-definite programming (SDP). Notably, we show that the proposed algorithm can always obtain rank-one global optimal solutions under mild conditions. Finally, numerical results demonstrate the superiority of the proposed algorithm over benchmark algorithms and reveal the performance trade-off between localization accuracy and communication SINR.
Abstract:Over-the-air computation (AirComp) integrates analog communication with task-oriented computation, serving as a key enabling technique for communication-efficient federated learning (FL) over wireless networks. However, owing to its analog characteristics, AirComp-enabled FL (AirFL) is vulnerable to both unintentional and intentional interference. In this paper, we aim to attain robustness in AirComp aggregation against interference via reconfigurable intelligent surface (RIS) technology to artificially reconstruct wireless environments. Concretely, we establish performance objectives tailored for interference suppression in wireless FL systems, aiming to achieve unbiased gradient estimation and reduce its mean square error (MSE). Oriented at these objectives, we introduce the concept of phase-manipulated favorable propagation and channel hardening for AirFL, which relies on the adjustment of RIS phase shifts to realize statistical interference elimination and reduce the error variance of gradient estimation. Building upon this concept, we propose two robust aggregation schemes of power control and RIS phase shifts design, both ensuring unbiased gradient estimation in the presence of interference. Theoretical analysis of the MSE and FL convergence affirms the anti-interference capability of the proposed schemes. It is observed that computation and interference errors diminish by an order of $\mathcal{O}\left(\frac{1}{N}\right)$ where $N$ is the number of RIS elements, and the ideal convergence rate without interference can be asymptotically achieved by increasing $N$. Numerical results confirm the analytical results and validate the superior performance of the proposed schemes over existing baselines.
Abstract:Over-the-air computation (AirComp) integrates analog communication with task-oriented computation, serving as a key enabling technique for communication-efficient federated learning (FL) over wireless networks. However, AirComp-enabled FL (AirFL) with a single global consensus model fails to address the data heterogeneity in real-life FL scenarios with non-independent and identically distributed local datasets. In this paper, we introduce reconfigurable intelligent surface (RIS) technology to enable efficient personalized AirFL, mitigating the data heterogeneity issue. First, we achieve statistical interference elimination across different clusters in the personalized AirFL framework via RIS phase shift configuration. Then, we propose two personalized aggregation schemes involving power control and denoising factor design from the perspectives of first- and second-order moments, respectively, to enhance the FL convergence. Numerical results validate the superior performance of our proposed schemes over existing baselines.




Abstract:In this paper, we consider a reconfigurable intelligent surface (RIS)-assisted multiple-input multiple-output communication system with multiple antennas at both the base station (BS) and the user. We plan to maximize the achievable rate through jointly optimizing the transmit precoding matrix, the receive combining matrix, and the RIS reflection matrix under the constraints of the transmit power at the BS and the unit-modulus reflection at the RIS. Regarding the non-trivial problem form, we initially reformulate it into an considerable problem to make it tractable by utilizing the relationship between the achievable rate and the weighted minimum mean squared error. Next, the transmit precoding matrix, the receive combining matrix, and the RIS reflection matrix are alternately optimized. In particular, the optimal transmit precoding matrix and receive combining matrix are obtained in closed forms. Furthermore, a pair of computationally efficient methods are proposed for the RIS reflection matrix, namely the semi-definite relaxation (SDR) method and the successive closed form (SCF) method. We theoretically prove that both methods are ensured to converge, and the SCF-based algorithm is able to converges to a Karush-Kuhn-Tucker point of the problem.
Abstract:In this paper, we consider the physical layer security of an RIS-assisted multiple-antenna communication system with randomly located eavesdroppers. The exact distributions of the received signal-to-noise-ratios (SNRs) at the legitimate user and the eavesdroppers located according to a Poisson point process (PPP) are derived, and a closed-form expression for the secrecy outage probability (SOP) is obtained. It is revealed that the secrecy performance is mainly affected by the number of RIS reflecting elements, and the impact of the transmit antennas and transmit power at the base station is marginal. In addition, when the locations of the randomly located eavesdroppers are unknown, deploying the RIS closer to the legitimate user rather than to the base station is shown to be more efficient. We also perform an analytical study demonstrating that the secrecy diversity order depends on the path loss exponent of the RIS-to-ground links. Finally, numerical simulations are conducted to verify the accuracy of these theoretical observations.




Abstract:Reconfigurable intelligent surface (RIS) technology is emerging as a promising technique for performance enhancement for next-generation wireless networks. This paper investigates the physical layer security of an RIS-assisted multiple-antenna communication system in the presence of random spatially distributed eavesdroppers. The RIS-to-ground channels are assumed to experience Rician fading. Using stochastic geometry, exact distributions of the received signal-to-noise-ratios (SNRs) at the legitimate user and the eavesdroppers located according to a Poisson point process (PPP) are derived, and closed-form expressions for the secrecy outage probability (SOP) and the ergodic secrecy capacity (ESC) are obtained to provide insightful guidelines for system design. First, the secrecy diversity order is obtained as $\frac{2}{\alpha_2}$, where $\alpha_2$ denotes the path loss exponent of the RIS-to-ground links. Then, it is revealed that the secrecy performance is mainly affected by the number of RIS reflecting elements, $N$, and the impact of the number of transmit antennas and transmit power at the base station is marginal. In addition, when the locations of the randomly located eavesdroppers are unknown, deploying the RIS closer to the legitimate user rather than to the base station is shown to be more efficient. Moreover, it is also found that the density of randomly located eavesdroppers, $\lambda_e$, has an additive effect on the asymptotic ESC performance given by $\log_2{\left({1}/{\lambda_e}\right)}$. Finally, numerical simulations are conducted to verify the accuracy of these theoretical observations.




Abstract:The extremely large-scale massive multiple-input multiple-output (XL-MIMO) has the potential to achieve boosted spectral efficiency and refined spatial resolution for future wireless networks. However, channel estimation for XL-MIMO is challenging since the large number of antennas results in high computational complexity with the near-field effect. In this letter, we propose a low-complexity sequential angle-distance channel estimation (SADCE) method for near-field XL-MIMO systems equipped with uniformly planar arrays (UPA). Specifically, we first successfully decouple the angle and distance parameters, which allows us to devise a two-dimensional discrete Fourier transform (2D-DFT) method for angle parameters estimation. Then, a low-complexity distance estimation method is proposed with a closed-form solution. Compared with existing methods, the proposed method achieves significant performance gain with noticeably reduced computational complexity.Numerical results verify the superiority of the proposed near-field channel estimation algorithm.




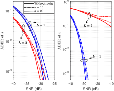
Abstract:Reconfigurable intelligent surface (RIS) is regarded as an important enabling technology for the sixth-generation (6G) network. Recently, modulating information in reflection patterns of RIS, referred to as reflection modulation (RM), has been proven in theory to have the potential of achieving higher transmission rate than existing passive beamforming (PBF) schemes of RIS. To fully unlock this potential of RM, we propose a novel superimposed RIS-phase modulation (SRPM) scheme for multiple-input multiple-output (MIMO) systems, where tunable phase offsets are superimposed onto predetermined RIS phases to bear extra information messages. The proposed SRPM establishes a universal framework for RM, which retrieves various existing RM-based schemes as special cases. Moreover, the advantages and applicability of the SRPM in practice is also validated in theory by analytical characterization of its performance in terms of average bit error rate (ABER) and ergodic capacity. To maximize the performance gain, we formulate a general precoding optimization at the base station (BS) for a single-stream case with uncorrelated channels and obtain the optimal SRPM design via the semidefinite relaxation (SDR) technique. Furthermore, to avoid extremely high complexity in maximum likelihood (ML) detection for the SRPM, we propose a sphere decoding (SD)-based layered detection method with near-ML performance and much lower complexity. Numerical results demonstrate the effectiveness of SRPM, precoding optimization, and detection design. It is verified that the proposed SRPM achieves a higher diversity order than that of existing RM-based schemes and outperforms PBF significantly especially when the transmitter is equipped with limited radio-frequency (RF) chains.




Abstract:In this paper, we consider the robust beamforming design in a reconfigurable intelligent surface (RIS)-aided cell-free (CF) system considering the channel state information (CSI) uncertainties of both the direct channels and cascaded channels at the transmitter with capacity-limited backhaul. We jointly optimize the precoding at the access points (APs) and the phase shifts at multiple RISs to maximize the worst-case sum rate of the CF system subject to the constraints of maximum transmit power of APs, unit-modulus phase shifts, limited backhaul capacity, and bounded CSI errors. By applying a series of transformations, the non-smoothness and semi-infinite constraints are tackled in a low-complexity manner that facilitates the design of an alternating optimization (AO)-based iterative algorithm. The proposed algorithm divides the considered problem into two subproblems. For the RIS phase shifts optimization subproblem, we exploit the penalty convex-concave procedure (P-CCP) to obtain a stationary solution and achieve effective initialization. For precoding optimization subproblem, successive convex approximation (SCA) is adopted with a convergence guarantee to a Karush-Kuhn-Tucker (KKT) solution. Numerical results demonstrate the effectiveness of the proposed robust beamforming design, which achieves superior performance with low complexity. Moreover, the importance of RIS phase shift optimization for robustness and the advantages of distributed RISs in the CF system are further highlighted.



Abstract:To fully exploit the additional dimension brought by reconfigurable intelligent surface (RIS), it is recently suggested by information theory that modulating information upon RIS phases is able to send extra information with increased communication rate. In this paper, we propose a novel superimposed RIS-phase modulation (SRPM) scheme to transfer extra messages by superimposing information-bearing phase offsets to conventionally optimized RIS phases. The proposed SRPM is interpreted as a universal framework for RIS phase modulation. Theoretical union bound of the average bit error rate (ABER) of the proposed SRPM is also derived with the maximum likelihood (ML) detection. The diversity order is characterized as 0.5 for all parameter settings, which is useful for determining the optimal choice of the phase modulation parameters. Furthermore, we discover that doubling the number of either RIS reflecting elements or the transmit antennas is equivalent to a 3 dB increment in the transmit power for SRPM. Numerical results demonstrate the effectiveness of SRPM and reveal that it achieves reliable communication of more bits than existing schemes.