Abstract:Networked integrated sensing and communication (ISAC) has gained significant attention as a promising technology for enabling next-generation wireless systems. To further enhance networked ISAC, delegating the reception of sensing signals to dedicated target monitoring terminals (TMTs) instead of base stations (BSs) offers significant advantages in terms of sensing capability and deployment flexibility. Despite its potential, the coordinated beamforming design for networked integrated communication and time-of-arrival (ToA)-based multi-TMT localization remains largely unexplored. In this paper, we present a comprehensive study to fill this gap. Specifically, we first establish signal models for both communication and localization, and, for the first time, derive a closed-form Cram\'er-Rao lower bound (CRLB) to characterize the localization performance. Subsequently, we exploit this CRLB to formulate two optimization problems, focusing on sensing-centric and communication-centric criteria, respectively. For the sensing-centric problem, we develop a globally optimal algorithm based on semidefinite relaxation (SDR) when each BS is equipped with more antennas than the total number of communication users. While for the communication-centric problem, we design a globally optimal algorithm for the single-BS case using bisection search. For the general case of both problems, we propose a unified successive convex approximation (SCA)-based algorithm, which is suboptimal yet efficient, and further extend it from single-target scenarios to more practical multi-target scenarios. Finally, simulation results demonstrate the effectiveness of our proposed algorithms, reveal the intrinsic performance trade-offs between communication and localization, and further show that deploying more TMTs is always preferable to deploying more BSs in networked ISAC systems.




Abstract:Integrated sensing and communication (ISAC) is a pivotal component of sixth-generation (6G) wireless networks, leveraging high-frequency bands and massive multiple-input multiple-output (M-MIMO) to deliver both high-capacity communication and high-precision sensing. However, these technological advancements lead to significant near-field effects, while the implementation of M-MIMO \mbox{is associated with considerable} hardware costs and escalated power consumption. In this context, hybrid architecture designs emerge as both hardware-efficient and energy-efficient solutions. Motivated by these considerations, we investigate the design of energy-efficient hybrid beamfocusing for near-field ISAC under two distinct target scenarios, i.e., a point target and an extended target. Specifically, we first derive the closed-form Cram\'{e}r-Rao bound (CRB) of joint angle-and-distance estimation for the point target and the Bayesian CRB (BCRB) of the target response matrix for the extended target. Building on these derived results, we minimize the CRB/BCRB by optimizing the transmit beamfocusing, while ensuring the energy efficiency (EE) of the system and the quality-of-service (QoS) for communication users. To address the resulting \mbox{nonconvex problems}, we first utilize a penalty-based successive convex approximation technique with a fully-digital beamformer to obtain a suboptimal solution. Then, we propose an efficient alternating \mbox{optimization} algorithm to design the analog-and-digital beamformer. \mbox{Simulation} results indicate that joint distance-and-angle estimation is feasible in the near-field region. However, the adopted hybrid architectures inevitably degrade the accuracy of distance estimation, compared with their fully-digital counterparts. Furthermore, enhancements in system EE would compromise the accuracy of target estimation, unveiling a nontrivial tradeoff.




Abstract:This paper investigates integrated localization and communication in a multi-cell system and proposes a coordinated beamforming algorithm to enhance target localization accuracy while preserving communication performance. Within this integrated sensing and communication (ISAC) system, the Cramer-Rao lower bound (CRLB) is adopted to quantify the accuracy of target localization, with its closed-form expression derived for the first time. It is shown that the nuisance parameters can be disregarded without impacting the CRLB of time of arrival (TOA)-based target localization. Capitalizing on the derived CRLB, we formulate a nonconvex coordinated beamforming problem to minimize the CRLB while satisfying signal-to-interference-plus-noise ratio (SINR) constraints in communication. To facilitate the development of solution, we reformulate the original problem into a more tractable form and solve it through semi-definite programming (SDP). Notably, we show that the proposed algorithm can always obtain rank-one global optimal solutions under mild conditions. Finally, numerical results demonstrate the superiority of the proposed algorithm over benchmark algorithms and reveal the performance trade-off between localization accuracy and communication SINR.




Abstract:In this paper, we investigate a multiple-input multiple-output (MIMO) integrated sensing and communication (ISAC) system under typical block-fading channels. As a non-trivial extension to most existing works on ISAC, both the training and transmission signals sent by the ISAC transmitter are exploited for sensing. Specifically, we develop two training and transmission design schemes to minimize a weighted sum of the mean-squared errors (MSEs) of data transmission and radar target response matrix (TRM) estimation. For the former, we first optimize the training signal for simultaneous communication channel and radar TRM estimation. Then, based on the estimated instantaneous channel state information (CSI), we propose an efficient majorization-minimization (MM)-based robust ISAC transmission design, where a semi-closed form solution is obtained in each iteration. For the second scheme, the ISAC transmitter is assumed to have statistical CSI only for reducing the feedback overhead. With CSI statistics available, we integrate the training and transmission design into one single problem and propose an MM-based alternating algorithm to find a high-quality solution. In addition, we provide alternative structured and low-complexity solutions for both schemes under certain special cases. Finally, simulation results demonstrate that the radar performance is significantly improved compared to the existing scheme that integrates sensing into the transmission stage only. Moreover, it is verified that the investigated two schemes have advantages in terms of communication and sensing performances, respectively.

Abstract:Beamforming design has been widely investigated for integrated sensing and communication (ISAC) systems with full-duplex (FD) sensing and half-duplex (HD) communication. To achieve higher spectral efficiency, in this paper, we extend existing ISAC beamforming design by considering the FD capability for both radar and communication. Specifically, we consider an ISAC system, where the base station (BS) performs target detection and communicates with multiple downlink users and uplink users reusing the same time and frequency resources. We jointly optimize the downlink dual-functional transmit signal and the uplink receive beamformers at the BS and the transmit power at the uplink users. The problem is formulated to minimize the total transmit power of the system while guaranteeing the communication and sensing requirements. The downlink and uplink transmissions are tightly coupled, making the joint optimization challenging. To handle this issue, we first determine the receive beamformers in closed forms with respect to the BS transmit beamforming and the user transmit power and then suggest an iterative solution to the remaining problem. We demonstrate via numerical results that the optimized FD communication-based ISAC leads to power efficiency improvement compared to conventional ISAC with HD communication.




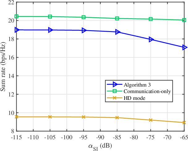
Abstract:Beamforming design has been widely investigated for integrated sensing and communication (ISAC) systems with full-duplex (FD) sensing and half-duplex (HD) communication. To achieve higher spectral efficiency, in this paper, we extend existing ISAC beamforming design by considering the FD capability for both radar and communication. Specifically, we consider an ISAC system, where the BS performs target detection and communicates with multiple downlink users and uplink users reusing the same time and frequency resources. We jointly optimize the downlink dual-functional transmit signal and the uplink receive beamformers at the BS and the transmit power at the uplink users. The problems are formulated under two criteria: power consumption minimization and sum rate maximization. The downlink and uplink transmissions are tightly coupled due to both the desired target echo and the undesired interference received at the BS, making the problems challenging. To handle these issues in both cases, we first determine the optimal receive beamformers, which are derived in closed forms with respect to the BS transmit beamforming and the user transmit power, for radar target detection and uplink communications, respectively. Subsequently, we invoke these results to obtain equivalent optimization problems and propose efficient iterative algorithms to solve them by using the techniques of rank relaxation and successive convex approximation (SCA), where the adopted relaxation is proven to be tight. In addition, we consider a special case under the power minimization criterion and propose an alternative low complexity design. Numerical results demonstrate that the optimized FD communication-based ISAC brings tremendous improvements in terms of both power efficiency and spectral efficiency compared to the conventional ISAC with HD communication.



Abstract:This paper investigates the optimization of beamforming design in a system with integrated sensing and communication (ISAC), where the base station (BS) sends signals for simultaneous multiuser communication and radar sensing. We aim at maximizing the energy efficiency (EE) of the multiuser communication while guaranteeing the sensing requirement in terms of individual radar beampattern gains. The problem is a complicated nonconvex fractional program which is challenging to be solved. By appropriately reformulating the problem and then applying the techniques of successive convex approximation (SCA) and semidefinite relaxation (SDR), we propose an iterative algorithm to address this problem. In theory, we prove that the introduced relaxation of the SDR is rigorously tight. Numerical results validate the effectiveness of the proposed algorithm.