



Abstract:The key technologies of sixth generation (6G), such as ultra-massive multiple-input multiple-output (MIMO), enable intricate interactions between antennas and wireless propagation environments. As a result, it becomes necessary to develop joint models that encompass both antennas and wireless propagation channels. To achieve this, we utilize the multi-port communication theory, which considers impedance matching among the source, transmission medium, and load to facilitate efficient power transfer. Specifically, we first investigate the impact of insertion loss, mutual coupling, and other factors on the performance of multi-port matching networks. Next, to further improve system performance, we explore two important deep unfolding designs for the multi-port matching networks: beamforming and power control, respectively. For the hybrid beamforming, we develop a deep unfolding framework, i.e., projected gradient descent (PGD)-Net based on unfolding projected gradient descent. For the power control, we design a deep unfolding network, graph neural network (GNN) aided alternating optimization (AO)Net, which considers the interaction between different ports in optimizing power allocation. Numerical results verify the necessity of considering insertion loss in the dynamic metasurface antenna (DMA) performance analysis. Besides, the proposed PGD-Net based hybrid beamforming approaches approximate the conventional model-based algorithm with very low complexity. Moreover, our proposed power control scheme has a fast run time compared to the traditional weighted minimum mean squared error (WMMSE) method.




Abstract:The rotary and movable antennas (ROMA) technology is efficient in enhancing wireless network capacity by adjusting both the antenna spacing and three-dimensional (3D) rotation of antenna surfaces, based on the spatial distribution of users and channel statistics. Applying ROMA to high-speed rail (HSR) wireless communications can significantly improve system performance in terms of array gain and spatial multiplexing. However, the rapidly changing channel conditions in HSR scenarios present challenges for ROMA configuration. In this correspondence, we propose a analytical framework for configuring ROMA-based extremely large-scale multiple-input-multiple-output (XL-MIMO) system in HSR scenarios based on spatial correlation. First, we develop a localization model based on a mobility-aware near-field beam training algorithm to determine the real-time position of the train relay antennas. Next, we derive the expression for channel orthogonality and antenna spacing based on the spatial correlation matrix, and obtain the optimal antenna spacing when the transceiver panels are aligned in parallel. Moreover, we propose an optimization algorithm for the rotation angle of the transceiver panels, leveraging the differential evolution method, to determine the optimal angle. Finally, numerical results are provided to validate the computational results and optimization algorithm.




Abstract:Extremely large-scale multiple-input multiple-output (XL-MIMO) is gaining attention as a prominent technology for enabling the sixth-generation (6G) wireless networks. However, the vast antenna array and the huge bandwidth introduce a non-negligible beam squint effect, causing beams of different frequencies to focus at different locations. One approach to cope with this is to employ true-time-delay lines (TTDs)-based beamforming to control the range and trajectory of near-field beam squint, known as the near-field controllable beam squint (CBS) effect. In this paper, we investigate the user localization in near-field wideband XL-MIMO systems under the beam squint effect and spatial non-stationary properties. Firstly, we derive the expressions for Cram\'er-Rao Bounds (CRBs) for characterizing the performance of estimating both angle and distance. This analysis aims to assess the potential of leveraging CBS for precise user localization. Secondly, a user localization scheme combining CBS and beam training is proposed. Specifically, we organize multiple subcarriers into groups, directing beams from different groups to distinct angles or distances through the CBS to obtain the estimates of users' angles and distances. Furthermore, we design a user localization scheme based on a convolutional neural network model, namely ConvNeXt. This scheme utilizes the inputs and outputs of the CBS-based scheme to generate high-precision estimates of angle and distance. More importantly, our proposed ConvNeXt-based user localization scheme achieves centimeter-level accuracy in localization estimates.




Abstract:Extremely large-scale multiple-input multipleoutput (XL-MIMO) is believed to be a cornerstone of sixth-generation (6G) wireless networks. XL-MIMO uses more antennas to both achieve unprecedented spatial degrees of freedom (DoFs) and exploit new electromagnetic (EM) phenomena occurring in the radiative near-field. The near-field effects provide the XL-MIMO array with depth perception, enabling precise localization and spatially multiplexing jointly in the angle and distance domains. This article delineates the distinctions between near-field and far-field propagation, highlighting the unique EM characteristics introduced by having large antenna arrays. It thoroughly examines the challenges these new near-field characteristics pose for user localization and channel estimation and provides a comprehensive review of new algorithms developed to address them. The article concludes by identifying critical future research directions.




Abstract:The amalgamation of cell-free networks and reconfigurable intelligent surface (RIS) has become a prospective technique for future sixth-generation wireless communication systems. In this paper, we focus on the precoding and beamforming design for a downlink RIS-aided cell-free network. The design is formulated as a non-convex optimization problem by jointly optimizing the combining vector, active precoding, and passive RIS beamforming for minimizing the weighted sum of users' mean square error. A novel joint distributed precoding and beamforming framework is proposed to decentralize the alternating optimization method for acquiring a suboptimal solution to the design problem. Finally, numerical results validate the effectiveness of the proposed distributed precoding and beamforming framework, showing its low-complexity and improved scalability compared with the centralized method.




Abstract:Cell-free (CF) extremely large-scale multiple-input multiple-output (XL-MIMO) is regarded as a promising technology for enabling future wireless communication systems. Significant attention has been generated by its considerable advantages in augmenting degrees of freedom. In this paper, we first investigate a CF XL-MIMO system with base stations equipped with XL-MIMO panels under a dynamic environment. Then, we propose an innovative multi-agent reinforcement learning (MARL)-based power control algorithm that incorporates predictive management and distributed optimization architecture, which provides a dynamic strategy for addressing high-dimension signal processing problems. Specifically, we compare various MARL-based algorithms, which shows that the proposed MARL-based algorithm effectively strikes a balance between spectral efficiency (SE) performance and convergence time. Moreover, we consider a double-layer power control architecture based on the large-scale fading coefficients between antennas to suppress interference within dynamic systems. Compared to the single-layer architecture, the results obtained unveil that the proposed double-layer architecture has a nearly24% SE performance improvement, especially with massive antennas and smaller antenna spacing.




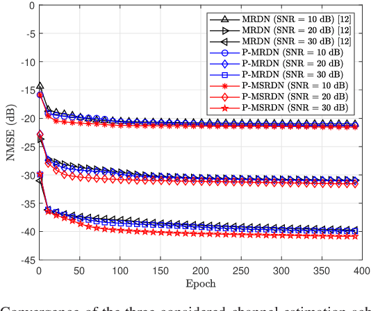
Abstract:Extremely large-scale multiple-input multiple-output (XL-MIMO) is a promising technique to enable versatile applications for future wireless communications.To realize the huge potential performance gain, accurate channel state information is a fundamental technical prerequisite. In conventional massive MIMO, the channel is often modeled by the far-field planar-wavefront with rich sparsity in the angular domain that facilitates the design of low-complexity channel estimation. However, this sparsity is not conspicuous in XL-MIMO systems due to the non-negligible near-field spherical-wavefront. To address the inherent performance loss of the angular-domain channel estimation schemes, we first propose the polar-domain multiple residual dense network (P-MRDN) for XL-MIMO systems based on the polar-domain sparsity of the near-field channel by improving the existing MRDN scheme. Furthermore, a polar-domain multi-scale residual dense network (P-MSRDN) is designed to improve the channel estimation accuracy. Finally, simulation results reveal the superior performance of the proposed schemes compared with existing benchmark schemes and the minimal influence of the channel sparsity on the proposed schemes.




Abstract:Extremely large-scale multiple-input-multipleoutput (XL-MIMO) has been reviewed as a promising technology for future sixth-generation (6G) networks to achieve higher performance. In practice, various linear precoding schemes, such as zero-forcing (ZF) and regularized ZF (RZF) precoding, are sufficient to achieve near-optimal performance in traditional massive MIMO (mMIMO) systems. It is critical to note that in large-scale antenna arrays the operation of channel matrix inversion poses a significant computational challenge for these precoders. Therefore, we explore several iterative methods for determining the precoding matrix for XL-MIMO systems instead of direct matrix inversion. Taking into account small- and large-scale fading as well as spatial correlation between antennas, we study their computational complexity and convergence rate. Furthermore, we propose the Jacobi-Preconditioning Conjugate Gradient (Jac-PCG) iterative inversion method, which enjoys a faster convergence speed than the CG method. Besides, the closed-form expression of spectral efficiency (SE) considering the interference between subarrays in downlink XL-MIMO systems is derived. In the numerical results, it is shown that the complexity given by the Jac-PCG algorithm has about 54% reduction than the traditional RZF algorithm at basically the same SE performance.




Abstract:In this paper, we investigate the uplink transmit power optimization problem in cell-free (CF) extremely large-scale multiple-input multiple-output (XL-MIMO) systems. Instead of applying the traditional methods, we propose two signal processing architectures: the centralized training and centralized execution with fuzzy logic as well as the centralized training and decentralized execution with fuzzy logic, respectively, which adopt the amalgamation of multi-agent reinforcement learning (MARL) and fuzzy logic to solve the design problem of power control for the maximization of the system spectral efficiency (SE). Furthermore, the uplink performance of the system adopting maximum ratio (MR) combining and local minimum mean-squared error (L-MMSE) combining is evaluated. Our results show that the proposed methods with fuzzy logic outperform the conventional MARL-based method and signal processing methods in terms of computational complexity. Also, the SE performance under MR combining is even better than that of the conventional MARL-based method.




Abstract:In this paper, we investigate the uplink performance of cell-free (CF) extremely large-scale multiple-input-multipleoutput (XL-MIMO) systems, which is a promising technique for future wireless communications. More specifically, we consider the practical scenario with multiple base stations (BSs) and multiple user equipments (UEs). To this end, we derive exact achievable spectral efficiency (SE) expressions for any combining scheme. It is worth noting that we derive the closed-form SE expressions for the CF XL-MIMO with maximum ratio (MR) combining. Numerical results show that the SE performance of the CF XL-MIMO can be hugely improved compared with the small-cell XL-MIMO. It is interesting that a smaller antenna spacing leads to a higher correlation level among patch antennas. Finally, we prove that increasing the number of UE antennas may decrease the SE performance with MR combining.