Abstract:Energy-efficient designs are proposed for multi-user (MU) multiple-input multiple-output (MIMO) broadcast channels (BC), assisted by simultaneously transmitting and reflecting (STAR) reconfigurable intelligent surfaces (RIS) operating at finite block length (FBL). In particular, we maximize the sum energy efficiency (EE), showing that STAR-RIS can substantially enhance it. Our findings demonstrate that the gains of employing STAR-RIS increase when the codeword length and the maximum tolerable bit error rate decrease, meaning that a STAR-RIS is more energy efficient in a system with more stringent latency and reliability requirements.

Abstract:Flag manifolds encode hierarchical nested sequences of subspaces and serve as powerful structures for various computer vision and machine learning applications. Despite their utility in tasks such as dimensionality reduction, motion averaging, and subspace clustering, current applications are often restricted to extracting flags using common matrix decomposition methods like the singular value decomposition. Here, we address the need for a general algorithm to factorize and work with hierarchical datasets. In particular, we propose a novel, flag-based method that decomposes arbitrary hierarchical real-valued data into a hierarchy-preserving flag representation in Stiefel coordinates. Our work harnesses the potential of flag manifolds in applications including denoising, clustering, and few-shot learning.





Abstract:The performance of modern wireless communication systems is typically limited by interference. The impact of interference can be even more severe in ultra-reliable and low-latency communication (URLLC) use cases. A powerful tool for managing interference is rate splitting multiple access (RSMA), which encompasses many multiple-access technologies like non-orthogonal multiple access (NOMA), spatial division multiple access (SDMA), and broadcasting. Another effective technology to enhance the performance of URLLC systems and mitigate interference is constituted by reconfigurable intelligent surfaces (RISs). This paper develops RSMA schemes for multi-user multiple-input multiple-output (MIMO) RIS-aided broadcast channels (BCs) based on finite block length (FBL) coding. We show that RSMA and RISs can substantially improve the spectral efficiency (SE) and energy efficiency (EE) of MIMO RIS-aided URLLC systems. Additionally, the gain of employing RSMA and RISs noticeably increases when the reliability and latency constraints are more stringent. Furthermore, RISs impact RSMA differently, depending on the user load. If the system is underloaded, RISs are able to manage the interference sufficiently well, making the gains of RSMA small. However, when the user load is high, RISs and RSMA become synergetic.



Abstract:The challenges in dense ultra-reliable low-latency communication networks to deliver the required service to multiple devices are addressed by three main technologies: multiple antennas at the base station (MISO), rate splitting multiple access (RSMA) with private and common message encoding, and simultaneously transmitting and reflecting reconfigurable intelligent surfaces (STAR-RIS). Careful resource allocation, encompassing beamforming and RIS optimization, is required to exploit the synergy between the three. We propose an alternating optimization-based algorithm, relying on minorization-maximization. Numerical results show that the achievable second-order max-min rates of the proposed scheme outperform the baselines significantly. MISO, RSMA, and STAR-RIS all contribute to enabling ultra-reliable low-latency communication (URLLC).





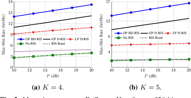
Abstract:We analyze the finite-block-length rate region of wireless systems aided by reconfigurable intelligent surfaces (RISs), employing treating interference as noise. We consider three nearly passive RIS architectures, including locally passive (LP) diagonal (D), globally passive (GP) D, and GP beyond diagonal (BD) RISs. In a GP RIS, the power constraint is applied globally to the whole surface, while some elements may amplify the incident signal locally. The considered RIS architectures provide substantial performance gains compared with systems operating without RIS. GP BD-RIS outperforms, at the price of increasing the complexity, LP and GP D-RIS as it enlarges the feasible set of allowed solutions. However, the gain provided by BD-RIS decreases with the number of RIS elements. Additionally, deploying RISs provides higher gains as the reliability/latency requirement becomes more stringent.



Abstract:In this paper, we develop energy-efficient schemes for multi-user multiple-input single-output (MISO) broadcast channels (BCs), assisted by reconfigurable intelligent surfaces (RISs). To this end, we consider three architectures of RIS: locally passive diagonal (LP-D), globally passive diagonal (GP-D), and globally passive beyond diagonal (GP-BD). In a globally passive RIS, the power of the output signal of the RIS is not greater than its input power, but some RIS elements can amplify the signal. In a locally passive RIS, every element cannot amplify the incident signal. We show that these RIS architectures can substantially improve energy efficiency (EE) if the static power of the RIS elements is not too high. Moreover, GP-BD RIS, which has a higher complexity and static power than LP-D RIS and GP-D RIS, provides better spectral efficiency, but its EE performance highly depends on the static power consumption and may be worse than its diagonal counterparts.

Abstract:Recent work by Ram\'irez et al. [2] has introduced Multi-Channel Factor Analysis (MFA) as an extension of factor analysis to multi-channel data that allows for latent factors common to all channels as well as factors specific to each channel. This paper validates the MFA covariance model and analyzes the statistical properties of the MFA estimators. In particular, a thorough investigation of model identifiability under varying latent factor structures is conducted, and sufficient conditions for generic global identifiability of MFA are obtained. The development of these identifiability conditions enables asymptotic analysis of estimators obtained by maximizing a Gaussian likelihood, which are shown to be consistent and asymptotically normal even under misspecification of the latent factor distribution.





Abstract:This paper addresses the problem of maximizing the capacity of a multiple-input multiple-output (MIMO) link assisted by a beyond-diagonal reconfigurable intelligent surface (BD-RIS). We maximize the capacity by alternately optimizing the transmit covariance matrix, and the BD-RIS scattering matrix, which, according to network theory, should be unitary and symmetric. These constraints make the optimization of BD-RIS more challenging than that of diagonal RIS. To find a stationary point of the capacity we maximize a sequence of quadratic problems in the manifold of unitary matrices. This leads to an efficient algorithm that always improves the capacity obtained by a diagonal RIS. Through simulation examples, we study the capacity improvement provided by a passive BD-RIS architecture over the conventional RIS model in which the phase shift matrix is diagonal.





Abstract:Modern wireless communication systems are expected to provide improved latency and reliability. To meet these expectations, a short packet length is needed, which makes the first-order Shannon rate an inaccurate performance metric for such communication systems. A more accurate approximation of the achievable rates of finite-block-length (FBL) coding regimes is known as the normal approximation (NA). It is therefore of substantial interest to study the optimization of the FBL rate in multi-user multiple-input multiple-output (MIMO) systems, in which each user may transmit and/or receive multiple data streams. Hence, we formulate a general optimization problem for improving the spectral and energy efficiency of multi-user MIMO-aided ultra-reliable low-latency communication (URLLC) systems, which are assisted by reconfigurable intelligent surfaces (RISs). We show that a RIS is capable of substantially improving the performance of multi-user MIMO-aided URLLC systems. Moreover, the benefits of RIS increase as the packet length and/or the tolerable bit error rate are reduced. This reveals that RISs can be even more beneficial in URLLC systems for improving the FBL rates than in conventional systems approaching Shannon rates.

Abstract:This paper addresses the passive detection of a common rank-one subspace signal received in two multi-sensor arrays. We consider the case of a one-antenna transmitter sending a common Gaussian signal, independent Gaussian noises with arbitrary spatial covariance, and known channel subspaces. The detector derived in this paper is a generalized likelihood ratio (GLR) test. For all but one of the unknown parameters, it is possible to find closed-form maximum likelihood (ML) estimator functions. We can further compress the likelihood to only an unknown vector whose ML estimate requires maximizing a product of ratios in quadratic forms, which is carried out using a trust-region algorithm. We propose two approximations of the GLR that do not require any numerical optimization: one based on a sample-based estimator of the unknown parameter whose ML estimate cannot be obtained in closed-form, and one derived under low-SNR conditions. Notably, all the detectors are scale-invariant, and the approximations are functions of beamformed data. However, they are not GLRTs for data that has been pre-processed with a beamformer, a point that is elaborated in the paper. These detectors outperform previously published correlation detectors on simulated data, in many cases quite significantly. Moreover, performance results quantify the performance gains over detectors that assume only the dimension of the subspace to be known.
