Abstract:Large Vision-Language Models (VLMs) have demonstrated significant potential on complex visual understanding tasks through iterative optimization methods.However, these models generally lack effective self-correction mechanisms, making it difficult for them to independently rectify cognitive biases. Consequently, during multi-turn revisions, they often fall into repetitive and ineffective attempts, failing to achieve stable improvements in answer quality.To address this issue, we propose a novel iterative self-correction framework that endows models with two key capabilities: Capability Reflection and Memory Reflection. This framework guides the model to first diagnose errors and generate a correction plan via Capability Reflection, then leverage Memory Reflection to review past attempts to avoid repetition and explore new solutions, and finally, optimize the answer through rigorous re-reasoning. Experiments on the challenging OCRBench v2 benchmark show that OCR-Agent outperforms the current open-source SOTA model InternVL3-8B by +2.0 on English and +1.2 on Chinese subsets, while achieving state-of-the-art results in Visual Understanding (79.9) and Reasoning (66.5) - surpassing even larger fine-tuned models. Our method demonstrates that structured, self-aware reflection can significantly enhance VLMs' reasoning robustness without additional training. Code: https://github.com/AIGeeksGroup/OCR-Agent.
Abstract:In the era of information explosion, efficiently leveraging large-scale unlabeled data while minimizing the reliance on high-quality pixel-level annotations remains a critical challenge in the field of medical imaging. Semi-supervised learning (SSL) enhances the utilization of unlabeled data by facilitating knowledge transfer, significantly improving the performance of fully supervised models and emerging as a highly promising research direction in medical image analysis. Inspired by the ability of Vision Foundation Models (e.g., SAM-2) to provide rich prior knowledge, we propose SSS (Semi-Supervised SAM-2), a novel approach that leverages SAM-2's robust feature extraction capabilities to uncover latent knowledge in unlabeled medical images, thus effectively enhancing feature support for fully supervised medical image segmentation. Specifically, building upon the single-stream "weak-to-strong" consistency regularization framework, this paper introduces a Discriminative Feature Enhancement (DFE) mechanism to further explore the feature discrepancies introduced by various data augmentation strategies across multiple views. By leveraging feature similarity and dissimilarity across multi-scale augmentation techniques, the method reconstructs and models the features, thereby effectively optimizing the salient regions. Furthermore, a prompt generator is developed that integrates Physical Constraints with a Sliding Window (PCSW) mechanism to generate input prompts for unlabeled data, fulfilling SAM-2's requirement for additional prompts. Extensive experiments demonstrate the superiority of the proposed method for semi-supervised medical image segmentation on two multi-label datasets, i.e., ACDC and BHSD. Notably, SSS achieves an average Dice score of 53.15 on BHSD, surpassing the previous state-of-the-art method by +3.65 Dice. Code will be available at https://github.com/AIGeeksGroup/SSS.
Abstract:Weakly supervised semantic segmentation (WSSS) typically utilizes limited semantic annotations to obtain initial Class Activation Maps (CAMs). However, due to the inadequate coupling between class activation responses and semantic information in high-dimensional space, the CAM is prone to object co-occurrence or under-activation, resulting in inferior recognition accuracy. To tackle this issue, we propose DOEI, Dual Optimization of Embedding Information, a novel approach that reconstructs embedding representations through semantic-aware attention weight matrices to optimize the expression capability of embedding information. Specifically, DOEI amplifies tokens with high confidence and suppresses those with low confidence during the class-to-patch interaction. This alignment of activation responses with semantic information strengthens the propagation and decoupling of target features, enabling the generated embeddings to more accurately represent target features in high-level semantic space. In addition, we propose a hybrid-feature alignment module in DOEI that combines RGB values, embedding-guided features, and self-attention weights to increase the reliability of candidate tokens. Comprehensive experiments show that DOEI is an effective plug-and-play module that empowers state-of-the-art visual transformer-based WSSS models to significantly improve the quality of CAMs and segmentation performance on popular benchmarks, including PASCAL VOC (+3.6%, +1.5%, +1.2% mIoU) and MS COCO (+1.2%, +1.6% mIoU). Code will be available at https://github.com/AIGeeksGroup/DOEI.




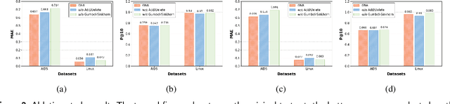
Abstract:\Graph similarity computation is an essential task in many real-world graph-related applications such as retrieving the similar drugs given a query chemical compound or finding the user's potential friends from the social network database. Graph Edit Distance (GED) and Maximum Common Subgraphs (MCS) are the two commonly used domain-agnostic metrics to evaluate graph similarity in practice. Unfortunately, computing the exact GED is known to be a NP-hard problem. To solve this limitation, neural network based models have been proposed to approximate the calculations of GED/MCS. However, deep learning models are well-known ``black boxes'', thus the typically characteristic one-to-one node/subgraph alignment process in the classical computations of GED and MCS cannot be seen. Existing methods have paid attention to approximating the node/subgraph alignment (soft alignment), but the one-to-one node alignment (hard alignment) has not yet been solved. To fill this gap, in this paper we propose a novel interpretable neural node alignment model without relying on node alignment ground truth information. Firstly, the quadratic assignment problem in classical GED computation is relaxed to a linear alignment via embedding the features in the node embedding space. Secondly, a differentiable Gumbel-Sinkhorn module is proposed to unsupervised generate the optimal one-to-one node alignment matrix. Experimental results in real-world graph datasets demonstrate that our method outperforms the state-of-the-art methods in graph similarity computation and graph retrieval tasks, achieving up to 16\% reduction in the Mean Squared Error and up to 12\% improvement in the retrieval evaluation metrics, respectively.