L'EMbeDS and Institute of Economics, Sant'Anna School of Advanced Studies, Pisa, Dept. of Statistics, The Pennsylvania State University
Abstract:Causal inference is paramount for understanding the effects of interventions, yet extracting personalized insights from increasingly complex data remains a significant challenge for modern machine learning. This is the case, in particular, when considering functional outcomes observed over a continuous domain (e.g., time, or space). Estimation of heterogeneous treatment effects, known as CATE, has emerged as a crucial tool for personalized decision-making, but existing meta-learning frameworks are largely limited to scalar outcomes, failing to provide satisfying results in scientific applications that leverage the rich, continuous information encoded in functional data. Here, we introduce FOCaL (Functional Outcome Causal Learning), a novel, doubly robust meta-learner specifically engineered to estimate a functional heterogeneous treatment effect (F-CATE). FOCaL integrates advanced functional regression techniques for both outcome modeling and functional pseudo-outcome reconstruction, thereby enabling the direct and robust estimation of F-CATE. We provide a rigorous theoretical derivation of FOCaL, demonstrate its performance and robustness compared to existing non-robust functional methods through comprehensive simulation studies, and illustrate its practical utility on diverse real-world functional datasets. FOCaL advances the capabilities of machine intelligence to infer nuanced, individualized causal effects from complex data, paving the way for more precise and trustworthy AI systems in personalized medicine, adaptive policy design, and fundamental scientific discovery.
Abstract:Feature attribution is the dominant paradigm for explaining deep neural networks. However, most existing methods only loosely reflect the model's prediction-making process, thereby merely white-painting the black box. We argue that explanatory alignment is a key aspect of trustworthiness in prediction tasks: explanations must be directly linked to predictions, rather than serving as post-hoc rationalizations. We present model readability as a design principle enabling alignment, and PiNets as a modeling framework to pursue it in a deep learning context. PiNets are pseudo-linear networks that produce instance-wise linear predictions in an arbitrary feature space, making them linearly readable. We illustrate their use on image classification and segmentation tasks, demonstrating how PiNets produce explanations that are faithful across multiple criteria in addition to alignment.
Abstract:Double robustness is a major selling point of semiparametric and missing data methodology. Its virtues lie in protection against partial nuisance misspecification and asymptotic semiparametric efficiency under correct nuisance specification. However, in many applications, complete nuisance misspecification should be regarded as the norm (or at the very least the expected default), and thus doubly robust estimators may behave fragilely. In fact, it has been amply verified empirically that these estimators can perform poorly when all nuisance functions are misspecified. Here, we first characterize this phenomenon of double fragility, and then propose a solution based on adaptive correction clipping (ACC). We argue that our ACC proposal is safe, in that it inherits the favorable properties of doubly robust estimators under correct nuisance specification, but its error is guaranteed to be bounded by a convex combination of the individual nuisance model errors, which prevents the instability caused by the compounding product of errors of doubly robust estimators. We also show that our proposal provides valid inference through the parametric bootstrap when nuisances are well-specified. We showcase the efficacy of our ACC estimator both through extensive simulations and by applying it to the analysis of Alzheimer's disease proteomics data.
Abstract:We present a novel, simple and widely applicable semi-supervised procedure for anomaly detection in industrial and IoT environments, SAnD (Simple Anomaly Detection). SAnD comprises 5 steps, each leveraging well-known statistical tools, namely; smoothing filters, variance inflation factors, the Mahalanobis distance, threshold selection algorithms and feature importance techniques. To our knowledge, SAnD is the first procedure that integrates these tools to identify anomalies and help decipher their putative causes. We show how each step contributes to tackling technical challenges that practitioners face when detecting anomalies in industrial contexts, where signals can be highly multicollinear, have unknown distributions, and intertwine short-lived noise with the long(er)-lived actual anomalies. The development of SAnD was motivated by a concrete case study from our industrial partner, which we use here to show its effectiveness. We also evaluate the performance of SAnD by comparing it with a selection of semi-supervised methods on public datasets from the literature on anomaly detection. We conclude that SAnD is effective, broadly applicable, and outperforms existing approaches in both anomaly detection and runtime.
Abstract:Functional regression analysis is an established tool for many contemporary scientific applications. Regression problems involving large and complex data sets are ubiquitous, and feature selection is crucial for avoiding overfitting and achieving accurate predictions. We propose a new, flexible, and ultra-efficient approach to perform feature selection in a sparse high dimensional function-on-function regression problem, and we show how to extend it to the scalar-on-function framework. Our method combines functional data, optimization, and machine learning techniques to perform feature selection and parameter estimation simultaneously. We exploit the properties of Functional Principal Components, and the sparsity inherent to the Dual Augmented Lagrangian problem to significantly reduce computational cost, and we introduce an adaptive scheme to improve selection accuracy. Through an extensive simulation study, we benchmark our approach to the best existing competitors and demonstrate a massive gain in terms of CPU time and selection performance without sacrificing the quality of the coefficients' estimation. Finally, we present an application to brain fMRI data from the AOMIC PIOP1 study.




Abstract:In this paper we propose $\epsilon$-Consistent Mixup ($\epsilon$mu). $\epsilon$mu is a data-based structural regularization technique that combines Mixup's linear interpolation with consistency regularization in the Mixup direction, by compelling a simple adaptive tradeoff between the two. This learnable combination of consistency and interpolation induces a more flexible structure on the evolution of the response across the feature space and is shown to improve semi-supervised classification accuracy on the SVHN and CIFAR10 benchmark datasets, yielding the largest gains in the most challenging low label-availability scenarios. Empirical studies comparing $\epsilon$mu and Mixup are presented and provide insight into the mechanisms behind $\epsilon$mu's effectiveness. In particular, $\epsilon$mu is found to produce more accurate synthetic labels and more confident predictions than Mixup.




Abstract:Feature selection is an important and active research area in statistics and machine learning. The Elastic Net is often used to perform selection when the features present non-negligible collinearity or practitioners wish to incorporate additional known structure. In this article, we propose a new Semi-smooth Newton Augmented Lagrangian Method to efficiently solve the Elastic Net in ultra-high dimensional settings. Our new algorithm exploits both the sparsity induced by the Elastic Net penalty and the sparsity due to the second order information of the augmented Lagrangian. This greatly reduces the computational cost of the problem. Using simulations on both synthetic and real datasets, we demonstrate that our approach outperforms its best competitors by at least an order of magnitude in terms of CPU time. We also apply our approach to a Genome Wide Association Study on childhood obesity.




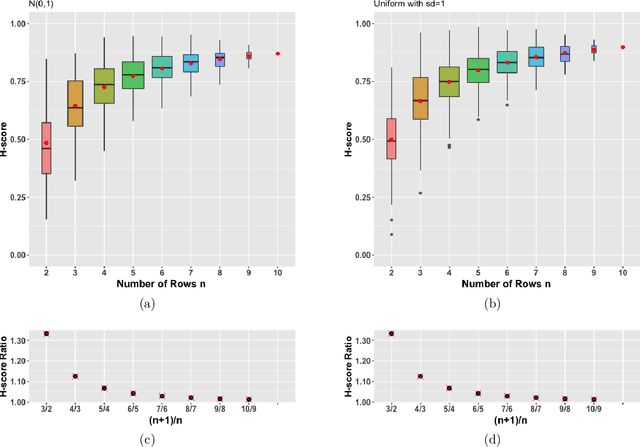
Abstract:In the last two decades several biclustering methods have been developed as new unsupervised learning techniques to simultaneously cluster rows and columns of a data matrix. These algorithms play a central role in contemporary machine learning and in many applications, e.g. to computational biology and bioinformatics. The H-score is the evaluation score underlying the seminal biclustering algorithm by Cheng and Church, as well as many other subsequent biclustering methods. In this paper, we characterize a potentially troublesome bias in this score, that can distort biclustering results. We prove, both analytically and by simulation, that the average H-score increases with the number of rows/columns in a bicluster. This makes the H-score, and hence all algorithms based on it, biased towards small clusters. Based on our analytical proof, we are able to provide a straightforward way to correct this bias, allowing users to accurately compare biclusters.




Abstract:We propose a novel approach to sufficient dimension reduction in regression, based on estimating contour directions of negligible variation for the response surface. These directions span the orthogonal complement of the minimal space relevant for the regression, and can be extracted according to a measure of the variation in the response, leading to General Contour Regression(GCR). In comparison to exiisting sufficient dimension reduction techniques, this sontour-based mothology guarantees exhaustive estimation of the central space under ellipticity of the predictoor distribution and very mild additional assumptions, while maintaining vn-consisytency and somputational ease. Moreover, it proves to be robust to departures from ellipticity. We also establish some useful population properties for GCR. Simulations to compare performance with that of standard techniques such as ordinary least squares, sliced inverse regression, principal hessian directions, and sliced average variance estimation confirm the advntages anticipated by theoretical analyses. We also demonstrate the use of contour-based methods on a data set concerning grades of students from Massachusetts colleges.