



Abstract:This paper investigates the potential of movable antenna (MA)-enabled micro-mobility to replace UAV-enabled macro-mobility for enhancing physical layer security (PLS) in air-to-ground communications. While UAV trajectory optimization offers high flexibility and Line-of-Sight (LoS) advantages, it suffers from significant energy consumption, latency, and complex trajectory optimization. Conversely, MA technology provides fine-grained spatial reconfiguration (antenna positioning within a confined area) with ultra-low energy overhead and millisecond-scale response, enabling real-time channel manipulation and covert beam steering. To systematically compare these paradigms, we establish a dual-scale mobility framework where a UAV-mounted uniform linear array (ULA) serves as a base station transmitting confidential information to a legitimate user (Bob) in the presence of an eavesdropper (Eve). We formulate non-convex average secrecy rate (ASR) maximization problems for both schemes: 1) MA-based micro-mobility: Jointly optimizing antenna positions and beamforming (BF) vectors under positioning constraints; 2) UAV-based macro-mobility: Jointly optimizing the UAV's trajectory and BF vectors under kinematic constraints. Extensive simulations reveal distinct operational regimes: MA micro-mobility demonstrates significant ASR advantages in low-transmit-power scenarios or under antenna constraints due to its energy-efficient spatial control. Conversely, UAV macro-mobility excels under resource-sufficient conditions (higher power, larger antenna arrays) by leveraging global mobility for optimal positioning. The findings highlight the complementary strengths of both approaches, suggesting hybrid micro-macro mobility as a promising direction for balancing security, energy efficiency, and deployment complexity in future wireless networks.




Abstract:With the rapid application of unmanned aerial vehicles (UAVs) in urban areas, the identification and tracking of hovering UAVs have become critical challenges, significantly impacting the safety of aircraft take-off and landing operations. As a promising technology for 6G mobile systems, integrated sensing and communication (ISAC) can be used to detect high-mobility UAVs with a low deployment cost. The micro-Doppler signals from UAV rotors can be leveraged to address the detection of low-mobility and hovering UAVs using ISAC signals. However, determining whether the frame structure of the ISAC system can be used to identify UAVs, and how to accurately capture the weak rotor micro-Doppler signals of UAVs in complex environments, remain two challenging problems. This paper first proposes a novel frame structure for UAV micro-Doppler extraction and the representation of UAV micro-Doppler signals within the channel state information (CSI). Furthermore, to address complex environments and the interference caused by UAV body vibrations, the rotor micro-Doppler null space pursuit (rmD-NSP) algorithm and the feature extraction algorithm synchroextracting transform (SET) are designed to effectively separate UAV's rotor micro-Doppler signals and enhance their features in the spectrogram. Finally, both simulation and hardware testbed demonstrate that the proposed rmD-NSP algorithm enables the ISAC base station (BS) to accurately and completely extract UAV's rotor micro-Doppler signals. Within a 0.1s observation period, ISAC BS successfully captures eight rotations of the DJI M300 RTK UAV's rotor in urban environments. Compared to the existing AM-FM NSP and NSP signal decomposition algorithms, the integrity of the rotor micro-Doppler features is improved by 60%.




Abstract:The integrated sensing and communication (ISAC) system under multi-input multi-output (MIMO) architecture achieves dual functionalities of sensing and communication on the same platform by utilizing spatial gain, which provides a feasible paradigm facing spectrum congestion. However, the dual functionalities of sensing and communication operating simultaneously in the same platform bring severe interference in the ISAC systems. Facing this challenge, we propose a joint optimization framework for transmit beamforming and receive filter design for ISAC systems with MIMO architecture. We aim to maximize the signal-to-clutter-plus-noise ratio (SCNR) at the receiver while considering various constraints such as waveform similarity, power budget, and communication performance requirements to ensure the integration of the dual functionalities. In particular, the overall transmit beamforming is refined into sensing beamforming and communication beamforming, and a quadratic transformation (QT) is introduced to relax and convert the complex non-convex optimization objective. An efficient algorithm based on covariance matrix tapers (CMT) is proposed to restructure the clutter covariance matrix considering the mismatched steering vector, thereby improving the robustness of the ISAC transceiver design. Numerical simulations are provided to demonstrate the effectiveness of the proposed algorithm.




Abstract:A novel modular extremely large-scale multiple-input-multiple-output (XL-MIMO) integrated sensing and communication (ISAC) framework is proposed in this paper. We consider a downlink ISAC scenario and exploit the modular array architecture to enhance the communication spectral efficiency and sensing resolution while reducing the channel modeling complexity by employing the hybrid spherical and planar wavefront model. Considering the hybrid digital-analog structure inherent to modular arrays, we formulate a joint analog-digital beamforming design problem based on the communication spectral efficiency and sensing signal-to-clutter-plus-noise ratio (SCNR). By exploring the structural similarity of the communication and sensing channels, it is proved that the optimal transmit covariance matrix lies in the subspace spanned by the subarray response vectors, yielding a closed-form solution for the optimal analog beamformer. Consequently, the joint design problem is transformed into a low-dimensional rank-constrained digital beamformer optimization. We first propose a manifold optimization method that directly optimizes the digital beamformer on the rank-constrained Stiefel manifold. Additionally, we develop an semidefinite relaxation (SDR)-based approach that relaxes the rank constraint and employ the randomization technique to obtain a near-optimal solution. Simulation results demonstrate the effectiveness of the proposed modular XL-MIMO ISAC framework and algorithms.




Abstract:Integrated sensing and communication (ISAC) is an enabling technology for the sixth-generation mobile communications, which equips the wireless communication networks with sensing capabilities. In this paper, we investigate transmit beamforming design for multiple-input and multiple-output (MIMO)-ISAC systems in scenarios with multiple radar targets and communication users. A general form of multi-target sensing mutual information (MI) is derived, along with its upper bound, which can be interpreted as the sum of individual single-target sensing MI. Additionally, this upper bound can be achieved by suppressing the cross-correlation among reflected signals from different targets, which aligns with the principles of adaptive MIMO radar. Then, we propose a multi-objective optimization framework based on the signal-to-interference-plus-noise ratio of each user and the tight upper bound of sensing MI, introducing the Pareto boundary to characterize the achievable communication-sensing performance boundary of the proposed ISAC system. To achieve the Pareto boundary, the max-min system utility function method is employed, while considering the fairness between communication users and radar targets. Subsequently, the bisection search method is employed to find a specific Pareto optimal solution by solving a series of convex feasible problems. Finally, simulation results validate that the proposed method achieves a better tradeoff between multi-user communication and multi-target sensing performance. Additionally, utilizing the tight upper bound of sensing MI as a performance metric can enhance the multi-target resolution capability and angle estimation accuracy.




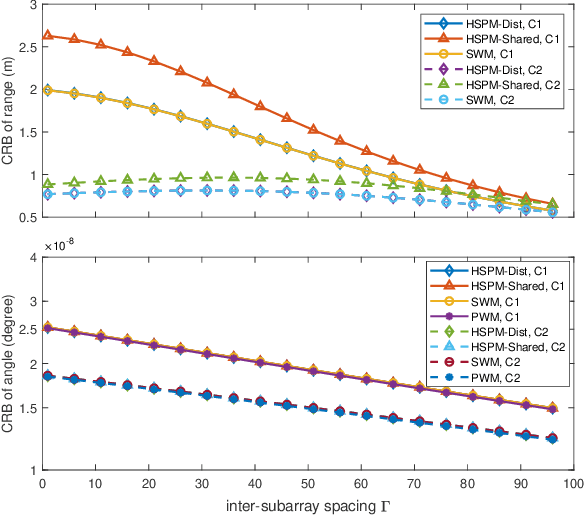
Abstract:A generic modular array architecture is proposed, featuring uniform/non-uniform subarray layouts that allows for flexible deployment. The bistatic near-field sensing system is considered, where the target is located in the near-field of the whole modular array and the far-field of each subarray. Then, the closed-form expressions of Cramer-Rao bounds (CRBs) for range and angle estimations are derived based on the hybrid spherical and planar wave model (HSPM). Simulation results validate the accuracy of the derived closed-form CRBs and demonstrate that: i) The HSPM with varying angles of arrival (AoAs) between subarrays can reduce the CRB for range estimation compared to the traditional HSPM with shared AoA; and ii) The proposed generic modular architecture with subarrays positioned closer to the edges can significantly reduce the CRBs compared to the traditional modular architecture with uniform subarray layout, when the array aperture is fixed.




Abstract:Recent advances in wireless communication with the enormous demands of sensing ability have given rise to the integrated sensing and communication (ISAC) technology, among which passive sensing plays an important role. The main challenge of passive sensing is how to achieve high sensing performance in the condition of communication demodulation errors. In this paper, we propose an ISAC network (ISAC-NET) that combines passive sensing with communication signal detection by using model-driven deep learning (DL). Dissimilar to existing passive sensing algorithms that first demodulate the transmitted symbols and then obtain passive sensing results from the demodulated symbols, ISAC-NET obtains passive sensing results and communication demodulated symbols simultaneously. Different from the data-driven DL method, we adopt the block-by-block signal processing method that divides the ISAC-NET into the passive sensing module, signal detection module and channel reconstruction module. From the simulation results, ISAC-NET obtains better communication performance than the traditional signal demodulation algorithm, which is close to OAMP-Net2. Compared to the 2D-DFT algorithm, ISAC-NET demonstrates significantly enhanced sensing performance. In summary, ISAC-NET is a promising tool for passive sensing and communication in wireless communications.




Abstract:Dual function radar communications (DFRC) systems are attractive technologies for autonomous vehicles, which utilize electromagnetic waves to constantly sense the environment while simultaneously communicating with neighbouring devices. An emerging approach to implement DFRC systems is to embed information in radar waveforms via index modulation (IM). Implementation of DFRC schemes in vehicular systems gives rise to strict constraints in terms of cost, power efficiency, and hardware complexity. In this paper, we extend IM-based DFRC systems to utilize sparse arrays and frequency modulated continuous waveforms (FMCWs), which are popular in automotive radar for their simplicity and low hardware complexity. The proposed FMCW-based radar-communications system (FRaC) operates at reduced cost and complexity by transmitting with a reduced number of radio frequency modules, combined with narrowband FMCW signalling. This is achieved via array sparsification in transmission, formulating a virtual multiple-input multiple-output array by combining the signals in one coherent processing interval, in which the narrowband waveforms are transmitted in a randomized manner. Performance analysis and numerical results show that the proposed radar scheme achieves similar resolution performance compared with a wideband radar system operating with a large receive aperture, while requiring less hardware overhead. For the communications subsystem, FRaC achieves higher rates and improved error rates compared to dual-function signalling based on conventional phase modulation.