



Abstract:This paper proposes a framework for designing robust precoders for a multi-input single-output (MISO) system that performs integrated sensing and communication (ISAC) across multiple cells and users. We use Cramer-Rao-Bound (CRB) to measure the sensing performance and derive its expressions for two multi-cell scenarios, namely coordinated beamforming (CBF) and coordinated multi-point (CoMP). In the CBF scheme, a BS shares channel state information (CSI) and estimates target parameters using monostatic sensing. In contrast, a BS in the CoMP scheme shares the CSI and data, allowing bistatic sensing through inter-cell reflection. We consider both block-level (BL) and symbol-level (SL) precoding schemes for both the multi-cell scenarios that are robust to channel state estimation errors. The formulated optimization problems to minimize the CRB in estimating the parameters of a target and maximize the minimum communication signal-to-interference-plus-noise-ratio (SINR) while satisfying a given total transmit power budget are non-convex. We tackle the non-convexity using a combination of semidefinite relaxation (SDR) and alternating optimization (AO) techniques. Simulations suggest that neglecting the inter-cell reflection and communication links degrades the performance of an ISAC system. The CoMP scenario employing SL precoding performs the best, whereas the BL precoding applied in the CBF scenario produces relatively high estimation error for a given minimum SINR value.




Abstract:Aiming at overcoming practical issues of successive interference cancellation (SIC), this paper proposes a dual-polarized rate-splitting multiple access (RSMA) technique for a downlink massive multiple-input multiple-output (MIMO) network. By modeling the effects of polarization interference, an in-depth theoretical analysis is carried out, in which we derive tight closed-form approximations for the outage probabilities and ergodic sum-rates. Simulation results validate the accuracy of the theoretical analysis and confirm the effectiveness of the proposed approach. For instance, under low to moderate cross-polar interference, our results show that the proposed dual-polarized MIMO-RSMA strategy outperforms the single-polarized MIMO-RSMA counterpart for all considered levels of residual SIC error.




Abstract:Unmanned Aerial Vehicle (UAV) swarms are often required in off-grid scenarios, such as disaster-struck, war-torn or rural areas, where the UAVs have no access to the power grid and instead rely on renewable energy. Considering a main battery fed from two renewable sources, wind and solar, we scale such a system based on the financial budget, environmental characteristics, and seasonal variations. Interestingly, the source of energy is correlated with the energy expenditure of the UAVs, since strong winds cause UAV hovering to become increasingly energy-hungry. The aim is to maximize the cost efficiency of coverage at a particular location, which is a combinatorial optimization problem for dimensioning of the multivariate energy generation system under non-convex criteria. We have devised a customized algorithm by lowering the processing complexity and reducing the solution space through sampling. Evaluation is done with condensed real-world data on wind, solar energy, and traffic load per unit area, driven by vendor-provided prices. The implementation was tested in four locations, with varying wind or solar intensity. The best results were achieved in locations with mild wind presence and strong solar irradiation, while locations with strong winds and low solar intensity require higher Capital Expenditure (CAPEX) allocation.




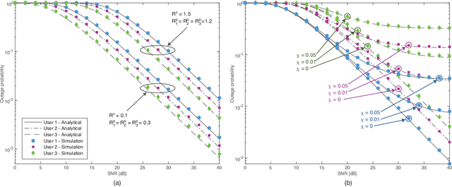
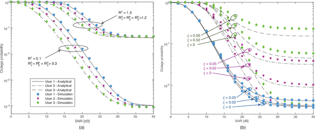
Abstract:The polarization domain provides an extra degree of freedom (DoF) for improving the performance of multiple-input multiple-output (MIMO) systems. This paper takes advantage of this additional DoF to alleviate practical issues of successive interference cancellation (SIC) in rate-splitting multiple access (RSMA) schemes. Specifically, we propose three dual-polarized downlink transmission approaches for a massive MIMO-RSMA network under the effects of polarization interference and residual errors of imperfect SIC. The first approach implements polarization multiplexing for transmitting the users' data messages, which removes the need to execute SIC in the reception. The second approach transmits replicas of users' messages in the two polarizations, which enables users to exploit diversity through the polarization domain. The third approach, in its turn, employs the original SIC-based RSMA technique per polarization, and this allows the BS to transmit two independent superimposed data streams simultaneously. An in-depth theoretical analysis is carried out, in which we derive tight closed-form approximations for the outage probabilities of the three proposed approaches. Accurate approximations for the ergodic sum-rates of the two first schemes are also derived. Simulation results validate the theoretical analysis and confirm the effectiveness of the proposed schemes. For instance, under low to moderate cross-polar interference, the results show that, even under high levels of residual SIC error, our dual-polarized MIMO-RSMA strategies outperform the conventional single-polarized MIMO-RSMA counterpart. It is also shown that the performance of all RSMA schemes is impressively higher than that of single and dual-polarized massive MIMO systems employing non-orthogonal multiple access (NOMA) and orthogonal multiple access (OMA) techniques.




Abstract:In this work, we study the trade-off between the reliability and the investment cost of an unmanned aerial system (UAS) consisting of a set of unmanned aerial vehicles (UAVs) carrying radio access nodes, called portable access points (PAPs)), deployed to serve a set of ground nodes (GNs). Using the proposed algorithm, a given geographical region is equivalently represented as a set of circular regions, where each circle represents the coverage region of a PAP. Then, the steady-state availability of the UAS is analytically derived by modelling it as a continuous time birth-death Markov decision process (MDP). Numerical evaluations show that the investment cost to guarantee a given steady-state availability to a set of GNs can be reduced by considering the traffic demand and distribution of GNs.




Abstract:In this work, we optimize the 3D trajectory of an unmanned aerial vehicle (UAV)-based portable access point (PAP) that provides wireless services to a set of ground nodes (GNs). Moreover, as per the Peukert effect, we consider pragmatic non-linear battery discharge for the battery of the UAV. Thus, we formulate the problem in a novel manner that represents the maximization of a fairness-based energy efficiency metric and is named fair energy efficiency (FEE). The FEE metric defines a system that lays importance on both the per-user service fairness and the energy efficiency of the PAP. The formulated problem takes the form of a non-convex problem with non-tractable constraints. To obtain a solution, we represent the problem as a Markov Decision Process (MDP) with continuous state and action spaces. Considering the complexity of the solution space, we use the twin delayed deep deterministic policy gradient (TD3) actor-critic deep reinforcement learning (DRL) framework to learn a policy that maximizes the FEE of the system. We perform two types of RL training to exhibit the effectiveness of our approach: the first (offline) approach keeps the positions of the GNs the same throughout the training phase; the second approach generalizes the learned policy to any arrangement of GNs by changing the positions of GNs after each training episode. Numerical evaluations show that neglecting the Peukert effect overestimates the air-time of the PAP and can be addressed by optimally selecting the PAP's flying speed. Moreover, the user fairness, energy efficiency, and hence the FEE value of the system can be improved by efficiently moving the PAP above the GNs. As such, we notice massive FEE improvements over baseline scenarios of up to 88.31%, 272.34%, and 318.13% for suburban, urban, and dense urban environments, respectively.




Abstract:This work investigates the performance of intelligent reflective surfaces (IRSs) assisted uplink non-orthogonal multiple access (NOMA) in energy-constrained networks. Specifically, we formulate and solve two optimization problems, one for minimizing the users' sum transmit power and another for maximizing the energy efficiency (EE) of the system. The two problems are solved by jointly optimizing the users' transmit powers and the passive beamforming coefficients at the IRS reflectors subject to the users' individual uplink rate constraints. A novel algorithm is developed to optimize the IRS passive beamforming coefficients by optimizing the objective function over the \textit{complex circle manifold} (CCM), exploiting the manifold optimization technique. The proposed manifold optimization-based solution is bench-marked against the rather \textit{standard} semi-definite relaxation method (SDR). The results show that the manifold optimization-based algorithm achieves significantly better performance for both transmit power minimization and EE maximization problems at a computational complexity lower than the SDR approach. The results also reveal that IRS-NOMA is superior to the orthogonal multiple access (OMA) counterpart only when the users' target achievable rate requirements are relatively high.




Abstract:Rate-splitting multiple access (RSMA) has recently appeared as a powerful technique for improving the downlink performance of multiple-input multiple-output (MIMO) systems. By flexibly managing interference, RSMA can deliver high spectral and energy efficiency, as well as robustness to imperfect channel state information (CSI). In another development, an intelligent reflecting surface (IRS) has emerged as a method to control the wireless environment through software-configurable, near-passive, sub-wavelength reflecting elements. This article presents the potential of synergy between IRS and RSMA. Three important improvements achievable by IRS-RSMA schemes are identified, supported by insightful numerical examples, and mapped to beyond-5G use cases, along with future research directions.




Abstract:In this paper, the appealing features of a dual-polarized intelligent reflecting surface (IRS) are exploited to improve the performance of dual-polarized massive multiple-input multiple-output (MIMO) with non-orthogonal multiple access (NOMA) under imperfect successive interference cancellation (SIC). By considering the downlink of a multi-cluster scenario, the IRSs assist the base station (BS) to multiplex subsets of users in the polarization domain. Our novel strategy alleviates the impact of imperfect SIC and enables users to exploit polarization diversity with near-zero inter-subset interference. Our results show that when the IRSs are large enough, the proposed scheme always outperforms conventional massive MIMO-NOMA and MIMO-OMA systems even if SIC error propagation is present. It is also confirmed that dual-polarized IRSs can make cross-polar transmissions beneficial to the users, allowing them to improve their performance through polarization diversity.




Abstract:In this letter, we propose an energy-efficient 3-dimensional placement of multiple aerial access points (AAPs), in the desired area, acting as flying base stations for uplink communication from a set of ground user equipment (UE). The globally optimal energy-efficient vertical position of AAPs is derived analytically by considering the inter-cell interference and AAP energy consumption. The horizontal position of AAPs which maximize the packing density of the AAP coverage area are determined using a novel regular polygon-based AAP placement algorithm. We also determine the maximum number of non-interfering AAPs that can be placed in the desired area. The effect of the AAP energy consumption on the optimal placement and the analytic findings are verified via numerical simulations.