



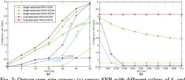
Abstract:Aiming at overcoming practical issues of successive interference cancellation (SIC), this paper proposes a dual-polarized rate-splitting multiple access (RSMA) technique for a downlink massive multiple-input multiple-output (MIMO) network. By modeling the effects of polarization interference, an in-depth theoretical analysis is carried out, in which we derive tight closed-form approximations for the outage probabilities and ergodic sum-rates. Simulation results validate the accuracy of the theoretical analysis and confirm the effectiveness of the proposed approach. For instance, under low to moderate cross-polar interference, our results show that the proposed dual-polarized MIMO-RSMA strategy outperforms the single-polarized MIMO-RSMA counterpart for all considered levels of residual SIC error.




Abstract:Rate-splitting multiple access (RSMA) has recently appeared as a powerful technique for improving the downlink performance of multiple-input multiple-output (MIMO) systems. By flexibly managing interference, RSMA can deliver high spectral and energy efficiency, as well as robustness to imperfect channel state information (CSI). In another development, an intelligent reflecting surface (IRS) has emerged as a method to control the wireless environment through software-configurable, near-passive, sub-wavelength reflecting elements. This article presents the potential of synergy between IRS and RSMA. Three important improvements achievable by IRS-RSMA schemes are identified, supported by insightful numerical examples, and mapped to beyond-5G use cases, along with future research directions.




Abstract:In this paper, the appealing features of a dual-polarized intelligent reflecting surface (IRS) are exploited to improve the performance of dual-polarized massive multiple-input multiple-output (MIMO) with non-orthogonal multiple access (NOMA) under imperfect successive interference cancellation (SIC). By considering the downlink of a multi-cluster scenario, the IRSs assist the base station (BS) to multiplex subsets of users in the polarization domain. Our novel strategy alleviates the impact of imperfect SIC and enables users to exploit polarization diversity with near-zero inter-subset interference. Our results show that when the IRSs are large enough, the proposed scheme always outperforms conventional massive MIMO-NOMA and MIMO-OMA systems even if SIC error propagation is present. It is also confirmed that dual-polarized IRSs can make cross-polar transmissions beneficial to the users, allowing them to improve their performance through polarization diversity.




Abstract:Despite the immense progress in the recent years, efficient solutions for monitoring remote areas are still missing today. This is especially notable in the context of versatile maritime and offshore use cases, owing to a broader span of operating regions and a lack of radio network infrastructures. In this article, we address the noted challenge by delivering a conceptual solution based on the convergence of three emerging technologies -- unmanned aerial vehicles (UAVs), battery-less sensors, and wireless powered communication networks (WPCNs). Our contribution offers a systematic description of the ecosystem related to the proposed solution by identifying its key actors and design dimensions together with the relevant resources and performance metrics. A system-level modeling-based evaluation of an illustrative scenario delivers deeper insights into the considered operation and the associated trade-offs. Further, unresolved challenges and perspective directions are underpinned for a subsequent study.