



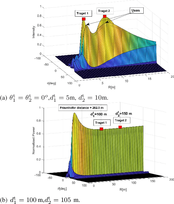
Abstract:The forthcoming 6G and beyond wireless networks are anticipated to introduce new groundbreaking applications, such as Integrated Sensing and Communications (ISAC), potentially leveraging much wider bandwidths at higher frequencies and using significantly larger antenna arrays at base stations. This puts the system operation in the radiative near-field regime of the BS antenna array, characterized by spherical rather than flat wavefronts. In this paper, we refer to such a system as near-field ISAC. Unlike the far-field regime, the near-field regime allows for precise focusing of transmission beams on specific areas, making it possible to simultaneously determine a target's direction and range from a single base station and resolve targets located in the same direction. This work designs the transmit symbol vector in near-field ISAC to maximize a weighted combination of sensing and communication performances subject to a total power constraint using symbol-level precoding (SLP). The formulated optimization problem is convex, and the solution is used to estimate the angle and range of the considered targets using the 2D MUSIC algorithm. The simulation results suggest that the SLP-based design outperforms the block-level-based counterpart. Moreover, the 2D MUSIC algorithm accurately estimates the targets' parameters.




Abstract:This paper proposes block-level precoder (BLP) designs for a multi-input single-output (MISO) system that performs joint sensing and communication across multiple cells and users. The Cramer-Rao-Bound for estimating a target's azimuth angle is determined for coordinated beamforming (CBF) and coordinated multi-point (CoMP) scenarios while considering inter-cell communication and sensing links. The formulated optimization problems to minimize the CRB and maximize the minimum-signal-to-interference-plus-noise-ratio (SINR) are non-convex and are represented in the semidefinite relaxed (SDR) form to solve using an alternate optimization algorithm. The proposed solutions show improved performance compared to the baseline scenario that neglects the signal component from neighboring cells.




Abstract:This paper proposes a framework for designing robust precoders for a multi-input single-output (MISO) system that performs integrated sensing and communication (ISAC) across multiple cells and users. We use Cramer-Rao-Bound (CRB) to measure the sensing performance and derive its expressions for two multi-cell scenarios, namely coordinated beamforming (CBF) and coordinated multi-point (CoMP). In the CBF scheme, a BS shares channel state information (CSI) and estimates target parameters using monostatic sensing. In contrast, a BS in the CoMP scheme shares the CSI and data, allowing bistatic sensing through inter-cell reflection. We consider both block-level (BL) and symbol-level (SL) precoding schemes for both the multi-cell scenarios that are robust to channel state estimation errors. The formulated optimization problems to minimize the CRB in estimating the parameters of a target and maximize the minimum communication signal-to-interference-plus-noise-ratio (SINR) while satisfying a given total transmit power budget are non-convex. We tackle the non-convexity using a combination of semidefinite relaxation (SDR) and alternating optimization (AO) techniques. Simulations suggest that neglecting the inter-cell reflection and communication links degrades the performance of an ISAC system. The CoMP scenario employing SL precoding performs the best, whereas the BL precoding applied in the CBF scenario produces relatively high estimation error for a given minimum SINR value.




Abstract:Unmanned Aerial Vehicle (UAV) swarms are often required in off-grid scenarios, such as disaster-struck, war-torn or rural areas, where the UAVs have no access to the power grid and instead rely on renewable energy. Considering a main battery fed from two renewable sources, wind and solar, we scale such a system based on the financial budget, environmental characteristics, and seasonal variations. Interestingly, the source of energy is correlated with the energy expenditure of the UAVs, since strong winds cause UAV hovering to become increasingly energy-hungry. The aim is to maximize the cost efficiency of coverage at a particular location, which is a combinatorial optimization problem for dimensioning of the multivariate energy generation system under non-convex criteria. We have devised a customized algorithm by lowering the processing complexity and reducing the solution space through sampling. Evaluation is done with condensed real-world data on wind, solar energy, and traffic load per unit area, driven by vendor-provided prices. The implementation was tested in four locations, with varying wind or solar intensity. The best results were achieved in locations with mild wind presence and strong solar irradiation, while locations with strong winds and low solar intensity require higher Capital Expenditure (CAPEX) allocation.




Abstract:In this work, we study the trade-off between the reliability and the investment cost of an unmanned aerial system (UAS) consisting of a set of unmanned aerial vehicles (UAVs) carrying radio access nodes, called portable access points (PAPs)), deployed to serve a set of ground nodes (GNs). Using the proposed algorithm, a given geographical region is equivalently represented as a set of circular regions, where each circle represents the coverage region of a PAP. Then, the steady-state availability of the UAS is analytically derived by modelling it as a continuous time birth-death Markov decision process (MDP). Numerical evaluations show that the investment cost to guarantee a given steady-state availability to a set of GNs can be reduced by considering the traffic demand and distribution of GNs.




Abstract:In this work, we optimize the 3D trajectory of an unmanned aerial vehicle (UAV)-based portable access point (PAP) that provides wireless services to a set of ground nodes (GNs). Moreover, as per the Peukert effect, we consider pragmatic non-linear battery discharge for the battery of the UAV. Thus, we formulate the problem in a novel manner that represents the maximization of a fairness-based energy efficiency metric and is named fair energy efficiency (FEE). The FEE metric defines a system that lays importance on both the per-user service fairness and the energy efficiency of the PAP. The formulated problem takes the form of a non-convex problem with non-tractable constraints. To obtain a solution, we represent the problem as a Markov Decision Process (MDP) with continuous state and action spaces. Considering the complexity of the solution space, we use the twin delayed deep deterministic policy gradient (TD3) actor-critic deep reinforcement learning (DRL) framework to learn a policy that maximizes the FEE of the system. We perform two types of RL training to exhibit the effectiveness of our approach: the first (offline) approach keeps the positions of the GNs the same throughout the training phase; the second approach generalizes the learned policy to any arrangement of GNs by changing the positions of GNs after each training episode. Numerical evaluations show that neglecting the Peukert effect overestimates the air-time of the PAP and can be addressed by optimally selecting the PAP's flying speed. Moreover, the user fairness, energy efficiency, and hence the FEE value of the system can be improved by efficiently moving the PAP above the GNs. As such, we notice massive FEE improvements over baseline scenarios of up to 88.31%, 272.34%, and 318.13% for suburban, urban, and dense urban environments, respectively.




Abstract:In this letter, we propose an energy-efficient 3-dimensional placement of multiple aerial access points (AAPs), in the desired area, acting as flying base stations for uplink communication from a set of ground user equipment (UE). The globally optimal energy-efficient vertical position of AAPs is derived analytically by considering the inter-cell interference and AAP energy consumption. The horizontal position of AAPs which maximize the packing density of the AAP coverage area are determined using a novel regular polygon-based AAP placement algorithm. We also determine the maximum number of non-interfering AAPs that can be placed in the desired area. The effect of the AAP energy consumption on the optimal placement and the analytic findings are verified via numerical simulations.