Ericsson Research




Abstract:The performance of the integrated sensing and communication (ISAC) networks is considerably affected by the mobility of the transceiver nodes, user equipment devices (UEs) and the passive objects that are sensed. For instance, the sensing efficiency is considerably affected by the presence or absence of a line-of-sight connection between the sensing transceivers and the object; a condition that may change quickly due to mobility. Moreover, the mobility of the UEs and objects may result in dynamically varying communication-to-sensing and sensing-to communication interference, deteriorating the network performance. In such cases, there may be a need to handover the sensing process to neighbor nodes. In this article, we develop the concept of mobility management in ISAC networks. Here, depending on the mobility of objects and/or the transceiver nodes, the data traffic, the sensing or communication coverage area of the transceivers, and the network interference, the transmission and/or the reception of the sensing signals may be handed over to neighbor nodes. Also, the ISAC configuration and modality - that is, using monostatic or bistatic sensing - are updated accordingly, such that the sensed objects can be continuously sensed with low overhead. We show that mobility management reduces the sensing interruption and boosts the communication and sensing efficiency of ISAC networks.




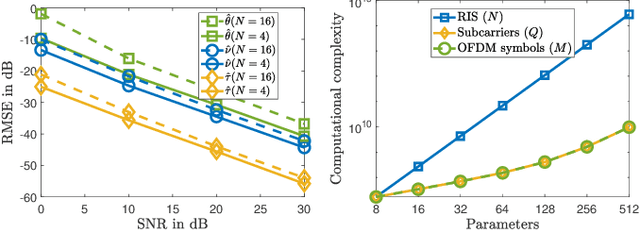
Abstract:We study a monostatic multiple-input multiple-output sensing scenario assisted by a reconfigurable intelligent surface using tensor signal modeling. We propose a method that exploits the intrinsic multidimensional structure of the received echo signal, allowing us to recast the target sensing problem as a nested tensor-based decomposition problem to jointly estimate the delay, Doppler, and angular information of the target. We derive a two-stage approach based on the alternating least squares algorithm followed by the estimation of the signal parameters via rotational invariance techniques to extract the target parameters. Simulation results show that the proposed tensor-based algorithm yields accurate estimates of the sensing parameters with low complexity.
Abstract:Reconfigurable Intelligent Surface (RIS) is attracting more and more research interest because of its ability to reprogram the radio environment. Designing and implementing the RIS, however, is challenging because of limitations of printed circuit board (PCB) technology related to manufacturing of large sizes as well as the cost of switches. Thus, a low-cost manufacturing process suitable for large size and volume of devices, such as screen-printing is necessary. In this paper, for the first time, a fully screen-printed reconfigurable intelligent surface (RIS) with vanadium dioxide (VO2) switches for 5G and beyond communications is proposed. A VO2 ink has been prepared and batches of switches have been printed and integrated with the resonator elements. These switches are a fraction of the cost of commercial switches. Furthermore, the printing of these switches directly on metal patterns negates the need of any minute soldering of the switches. To avoid the complications of multilayer printing and realizing the RIS without vias, the resonators and the biasing lines are realized on a single layer. However, this introduces the challenge of interference between the biasing lines and the resonators, which is tackled in this work by designing the bias lines as part of the resonator. By adjusting the unit cell periodicity and the dimension of the H-shaped resonator, we achieve a 220 to 170{\deg} phase shift from 23.5 GHz to 29.5 GHz covering both n257 and n258 bands. Inside the wide bandwidth, the maximum ON reflection magnitude is 74%, and the maximum OFF magnitude is 94%. The RIS array comprises 20x20 unit cells (4.54x4.54{\lambda}^2 at 29.5 GHz). Each column of unit cells is serially connected to a current biasing circuit. To validate the array's performance, we conduct full-wave simulations as well as near-field and far-field measurements.
Abstract:6G wireless networks will integrate communication, computing, localization, and sensing capabilities while meeting the needs of high reliability and trustworthiness. In this paper, we develop similar techniques as those used by communication modules of previous generations for the sensing functionality of 6G networks. Specifically, this paper introduces the concept of extended automatic repeat request (e-ARQ) for integrated sensing and communications (ISAC) networks. We focus on multi-static sensing schemes, in which the nodes receiving the reflected sensing signals provide the transmitting nodes with configurable levels of feedback about the sensing result. This technique improves the sensing quality via retransmissions using adaptive parameters. We show that our proposed e-ARQ boosts the sensing quality in terms of detection accuracy and provides a sense of adaptability for applications supported by ISAC networks.




Abstract:Future generations of mobile networks call for concurrent sensing and communication functionalities in the same hardware and/or spectrum. Compared to communication, sensing services often suffer from limited coverage, due to the high path loss of the reflected signal and the increased infrastructure requirements. To provide a more uniform quality of service, distributed multiple input multiple output (D-MIMO) systems deploy a large number of distributed nodes and efficiently control them, making distributed integrated sensing and communications (ISAC) possible. In this paper, we investigate ISAC in D-MIMO through the lens of different design architectures and deployments, revealing both conflicts and synergies. In addition, simulation and demonstration results reveal both opportunities and challenges towards the implementation of ISAC in D-MIMO.
Abstract:We consider a constellation of low-earth-orbit (LEO) satellites connected to a handheld device on the ground. Due to the very large orbital speed, an effective handover strategy becomes of paramount importance. In particular, we study the benefits of soft handover in the uplink from the physical-layer point of view. We give a realistic model for both the ground-to-satellite and the inter-satellite links, following the 3GPP channel model for the former. We suppose that, during handover from a serving satellite to a target satellite, one of the two satellites forwards the received signal from the ground user to the other, thus acting as a relay. We quantify through simulations the loss of hard handover, compared to soft handover. For the latter, we test both amplify-and-forward (AF) and decode-and-forward (DF) relaying techniques and verify that, at least in the simulated conditions, DF does not repay, in terms of block error rate (BLER), the increase of complexity with respect to AF. Also, we study the effect of the LEO constellation size on the network BLER. Finally, we show that, with soft handover, the impact of misalignment on the inter-satellite link is severe, especially at optical frequencies.
Abstract:Millimeter wave (mmWave) and sub-THz communications, foreseen for sixth generation (6G), suffer from high propagation losses which affect the network coverage. To address this point, smart entities such as network-controlled repeaters (NCRs) have been considered as cost-efficient solutions for coverage extension. NCRs, which have been standardized in 3rd generation partnership project Release 18, are radio frequency repeaters with beamforming capability controlled by the network through side control information. Another challenge raised by the adoption of high frequency bands is the use of large bandwidths. Here, a common configuration is to divide a large frequency band into multiple smaller subbands. In this context, we consider a scenario with NCRs where signaling related to measurements used for radio resource management is transmitted in one subband centered at frequency $f_c$ and data transmission is performed at a different frequency $f_c + \Delta f$ based on the measurements taken at $f_c$. Here, a challenge is that the array radiation pattern can be frequency dependent and, therefore, lead to beam misalignment, called beam squinting. We characterize beam squinting in the context of subband operation and propose a solution where the beam patterns to be employed at a given subband can be adjusted/compensated to mitigate beam squinting. Our results show that, without compensation, the perceived signal to interference-plus-noise ratio (SINR) and so the throughput can be substantially decreased due to beam squinting. However, with our proposed compensation method, the system is able to support NCR subband signaling operation with similar performance as if signaling and data were transmitted at the same frequency.
Abstract:This paper considers the problem of downlink localization and user equipments (UEs) tracking with an adaptive procedure for a range of distances. We provide the base station (BS) with two signaling schemes and the UEs with two localization algorithms, assuming far-field (FF) and near-field (NF) conditions, respectively. The proposed schemes employ different beam-sweep patterns, where their compatibility depends on the UE range. Consequently, the FF-NF distinction transcends the traditional definition. Our proposed NF scheme requires beam-focusing on specific spots and more transmissions are required to sweep the area. Instead, the FF scheme assumes distant UEs, and fewer beams are sufficient. We derive a low-complexity algorithm that exploits the FF channel model and highlight its practical benefits and the limitations. Also, we propose an iterative adaptive procedure, where the signaling scheme is depends on the expected accuracy-complexity trade-off. Multiple iterations introduce a tracking application, where the formed trajectory dictates the validity of our assumptions. Moreover, the range from the BS, where the FF signaling scheme can be successfully employed, is investigated. We show that the conventional Fraunhofer distance is not sufficient for adaptive localization and tracking algorithms in the mixed NF and FF environment.
Abstract:This paper considers the problem of downlink localization of user equipment devices (UEs) that are either in the near-field (NF) or in the far-field (FF) of the array of the serving base station (BS). We propose a dual signaling scheme, which can be implemented at the BS, for localizing such UEs. The first scheme assumes FF, while the other assumes NF conditions. Both schemes comprise a beam-sweeping technique, employed by the BS, and a localization algorithm, employed by the UEs. The FF-based scheme enables beam-steering with a low signaling overhead, which is utilized for the proposed localization algorithm, while the NF-based scheme operates with a higher complexity. Specifically, our proposed localization scheme takes advantage of the relaxed structure of the FF, which yields low computational complexity, but is not suitable for operating in the NF. Since the compatibility and the performance of the FF- based scheme depends on the BS-to-UE distance, we study the limitations of FF-based procedure, explore the trade-off in terms of performance and resource requirements for the two schemes, and propose a triggering condition for operating the component schemes of the dual scheme. Also, we study the performance of an iterative localization algorithm that takes into account the accuracy-complexity trade-off and adapts to the actual position of the UE. We find that the conventional Fraunhofer distance is not sufficient for adapting localization algorithms in the mixed NF and FF environment.
Abstract:This letter studies the problem of jointly detecting active user equipments (UEs) and estimating their location in the near field, wherein the base station (BS) is unaware of the number of active (or inactive) UEs and their positions. The system is equipped with multiple reconfigurable intelligent surfaces (RISs) that aid the process of inspecting the coverage area of the BS with adequate localization resolution providing a low-complexity solution for detection and location estimation. To address this problem, we propose to utilize the additional degrees of freedom due to the additional inspection points provided by the RISs. Specifically, we propose an iterative detection procedure, where multiple inspections are jointly considered, allowing the BS to assign known pilots to previously detected UEs and thereby to provide a structured channel access. Also, the problem of multiple access interference is explored and identified as a limiting performance factor for the activity detection. The results show that, with a proper implementation of the RISs, our proposed scheme can detect/localize the UEs with high accuracy, augmenting benchmark UE detection schemes to a spatially aware detection.