Abstract:The Khatri-Rao product is extensively used in array processing, tensor decomposition, and multi-way data analysis. Many applications require a least-squares (LS) Khatri-Rao factorization. In broadband sensor array problems, polynomial matrices effectively model frequency-dependent behaviors, necessitating extensions of conventional linear algebra techniques. This paper generalizes LS Khatri-Rao factorization from ordinary to polynomial matrices by applying it to the discrete Fourier transform (DFT) samples of polynomial matrices. Phase coherence across bin-wise Khatri-Rao factors is ensured via a phasesmoothing algorithm. The proposed method is validated through broadband angle-of-arrival (AoA) estimation for uniform planar arrays (UPAs), where the steering matrix is a polynomial matrix, which can be represented as a Khatri-Rao product between steering matrix in azimuth and elevation directions.




Abstract:The performance of the integrated sensing and communication (ISAC) networks is considerably affected by the mobility of the transceiver nodes, user equipment devices (UEs) and the passive objects that are sensed. For instance, the sensing efficiency is considerably affected by the presence or absence of a line-of-sight connection between the sensing transceivers and the object; a condition that may change quickly due to mobility. Moreover, the mobility of the UEs and objects may result in dynamically varying communication-to-sensing and sensing-to communication interference, deteriorating the network performance. In such cases, there may be a need to handover the sensing process to neighbor nodes. In this article, we develop the concept of mobility management in ISAC networks. Here, depending on the mobility of objects and/or the transceiver nodes, the data traffic, the sensing or communication coverage area of the transceivers, and the network interference, the transmission and/or the reception of the sensing signals may be handed over to neighbor nodes. Also, the ISAC configuration and modality - that is, using monostatic or bistatic sensing - are updated accordingly, such that the sensed objects can be continuously sensed with low overhead. We show that mobility management reduces the sensing interruption and boosts the communication and sensing efficiency of ISAC networks.
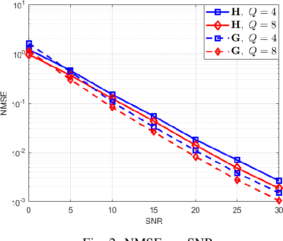
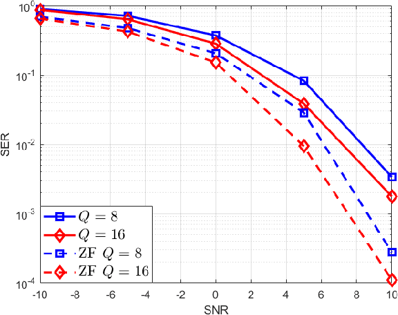
Abstract:We propose receivers for bistatic sensing and communication that exploit a tensor modeling of the received signals. We consider a hybrid scenario where the sensing link knows the transmitted data to estimate the target parameters while the communication link operates semi-blindly in a direct data decoding approach without channel knowledge. We show that the signals received at the sensing receiver and communication receiver follow PARATUCK and PARAFAC tensor models, respectively. These models are exploited to obtain accurate estimates of the target parameters (at the sensing receiver) and the transmitted symbols and channels (at the user equipment). We discuss uniqueness conditions and provide some simulation results to evaluate the performance of the proposed receivers. Our experiments show that the sensing parameters are well estimated at moderate signal-to-noise ratio (SNR) while keeping good symbol error rate (SER) and channel normalized mean square error (NMSE) results for the communication link.
Abstract:In this paper, we consider a double-RIS (D-RIS)-aided flat-fading MIMO system and propose an interference-free channel training and estimation protocol, where the two single-reflection links and the one double-reflection link are estimated separately. Specifically, by using the proposed training protocol, the signal measurements of a particular reflection link can be extracted interference-free from the measurements of the superposition of the three links. We show that some channels are associated with two different components of the received signal. Exploiting the common channels involved in the single and double reflection links while recasting the received signals as tensors, we formulate the coupled tensor-based least square Khatri-Rao factorization (C-KRAFT) algorithm which is a closed-form solution and an enhanced iterative solution with less restrictions on the identifiability constraints, the coupled-alternating least square (C-ALS) algorithm. The C-KRAFT and C-ALS based channel estimation schemes are used to obtain the channel matrices in both single and double reflection links. We show that the proposed coupled tensor decomposition-based channel estimation schemes offer more accurate channel estimates under less restrictive identifiability constraints compared to competing channel estimation methods. Simulation results are provided showing the effectiveness of the proposed algorithms.




Abstract:The channel estimation problem has been widely discussed in traditional reconfigurable intelligent surface assisted multiple-input multiple-output. However, solutions for channel estimation adapted to beyond diagonal RIS need further study, and few recent works have been proposed to tackle this problem. Moreover, methods that avoid or minimize the use of pilot sequences are of interest. This work formulates a data-driven (semi-blind) joint channel and symbol estimation algorithm for beyond diagonal RIS that avoids a prior pilot-assisted stage while providing decoupled estimates of the involved communication channels. The proposed receiver builds upon a PARATUCK tensor model for the received signal, from which a trilinear alternating estimation scheme is derived. Preliminary numerical results demonstrate the proposed method's performance for selected system setups. The symbol error rate performance is also compared with that of a linear receiver operating with perfect knowledge of the cascaded channel.




Abstract:We design a self-exploratory reinforcement learning (RL) framework, based on the Q-learning algorithm, that enables the base station (BS) to choose a suitable modulation and coding scheme (MCS) that maximizes the spectral efficiency while maintaining a low block error rate (BLER). In this framework, the BS chooses the MCS based on the channel quality indicator (CQI) reported by the user equipment (UE). A transmission is made with the chosen MCS and the results of this transmission are converted by the BS into rewards that the BS uses to learn the suitable mapping from CQI to MCS. Comparing with a conventional fixed look-up table and the outer loop link adaptation, the proposed framework achieves superior performance in terms of spectral efficiency and BLER.