Abstract:The advent of Large Language Models (LLMs) and generative AI is fundamentally transforming information retrieval and processing on the Internet, bringing both great potential and significant concerns regarding content authenticity and reliability. This paper presents a novel quantitative approach to shed light on the complex information dynamics arising from the growing use of generative AI tools. Despite their significant impact on the digital ecosystem, these dynamics remain largely uncharted and poorly understood. We propose a stochastic model to characterize the generation, indexing, and dissemination of information in response to new topics. This scenario particularly challenges current LLMs, which often rely on real-time Retrieval-Augmented Generation (RAG) techniques to overcome their static knowledge limitations. Our findings suggest that the rapid pace of generative AI adoption, combined with increasing user reliance, can outpace human verification, escalating the risk of inaccurate information proliferation across digital resources. An in-depth analysis of Stack Exchange data confirms that high-quality answers inevitably require substantial time and human effort to emerge. This underscores the considerable risks associated with generating persuasive text in response to new questions and highlights the critical need for responsible development and deployment of future generative AI tools.
Abstract:We consider a constellation of low-earth-orbit (LEO) satellites connected to a handheld device on the ground. Due to the very large orbital speed, an effective handover strategy becomes of paramount importance. In particular, we study the benefits of soft handover in the uplink from the physical-layer point of view. We give a realistic model for both the ground-to-satellite and the inter-satellite links, following the 3GPP channel model for the former. We suppose that, during handover from a serving satellite to a target satellite, one of the two satellites forwards the received signal from the ground user to the other, thus acting as a relay. We quantify through simulations the loss of hard handover, compared to soft handover. For the latter, we test both amplify-and-forward (AF) and decode-and-forward (DF) relaying techniques and verify that, at least in the simulated conditions, DF does not repay, in terms of block error rate (BLER), the increase of complexity with respect to AF. Also, we study the effect of the LEO constellation size on the network BLER. Finally, we show that, with soft handover, the impact of misalignment on the inter-satellite link is severe, especially at optical frequencies.




Abstract:Motivated by the challenges of future 6G communications where terahertz (THz) frequencies, intelligent reflective surfaces (IRSs) and ultra-wideband (UWB) signals coexist, we analyse and propose a set of efficient techniques for configuring the IRS when the signal bandwidth is a significant fraction of the central frequency (up to 50%). To the best of our knowledge this is the first time that IRS configuration techniques are analyzed for such huge bandwidths. In our work we take into account for the channel model, the power spectral density of the signal reflected by the IRS and the network geometry. We evaluate the proposed solutions in terms of achievable rate and compare it against an upper bound we derived. Our results hint rules for designing IRS-aided communication systems and allow to draw conclusions on the trade-off between performance and complexity required for configuring the IRS.




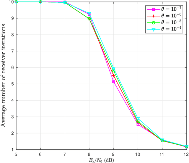
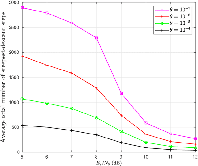
Abstract:Phase noise (PN) is a major disturbance in MIMO systems, where the contribution of different oscillators at the transmitter and the receiver side may degrade the overall performance and offset the gains offered by MIMO techniques. This is even more crucial in the case of massive MIMO, since the number of PN sources may increase considerably. In this work, we propose an iterative receiver based on the application of the expectation-maximization algorithm. We consider a massive MIMO framework with a general association of oscillators to antennas, and include other channel disturbances like imperfect channel state information and Rician block fading. At each receiver iteration, given the information on the transmitted symbols, steepest descent is used to estimate the PN samples, with an optimized adaptive step size and a threshold-based stopping rule. The results obtained for several test cases show how the bit error rate and mean square error can benefit from the proposed phase-detection algorithm, even to the point of reaching the same performance as in the case where no PN is present. Further analysis of the results allow to draw some useful trade-offs respecting final performance and consumption of resources.




Abstract:We consider the problem of ranking $N$ objects starting from a set of noisy pairwise comparisons provided by a crowd of equal workers. We assume that objects are endowed with intrinsic qualities and that the probability with which an object is preferred to another depends only on the difference between the qualities of the two competitors. We propose a class of non-adaptive ranking algorithms that rely on a least-squares optimization criterion for the estimation of qualities. Such algorithms are shown to be asymptotically optimal (i.e., they require $O(\frac{N}{\epsilon^2}\log \frac{N}{\delta})$ comparisons to be $(\epsilon, \delta)$-PAC). Numerical results show that our schemes are very efficient also in many non-asymptotic scenarios exhibiting a performance similar to the maximum-likelihood algorithm. Moreover, we show how they can be extended to adaptive schemes and test them on real-world datasets.




Abstract:We investigate crowdsourcing algorithms for finding the top-quality item within a large collection of objects with unknown intrinsic quality values. This is an important problem with many relevant applications, for example in networked recommendation systems. The core of the algorithms is that objects are distributed to crowd workers, who return a noisy and biased evaluation. All received evaluations are then combined, to identify the top-quality object. We first present a simple probabilistic model for the system under investigation. Then, we devise and study a class of efficient adaptive algorithms to assign in an effective way objects to workers. We compare the performance of several algorithms, which correspond to different choices of the design parameters/metrics. In the simulations we show that some of the algorithms achieve near optimal performance for a suitable setting of the system parameters.