Abstract:Chain-of-thought (CoT) outputs let us read a model's step-by-step reasoning. Since any long, serial reasoning process must pass through this textual trace, the quality of the CoT is a direct window into what the model is thinking. This visibility could help us spot unsafe or misaligned behavior (monitorability), but only if the CoT is transparent about its internal reasoning (faithfulness). Fully measuring faithfulness is difficult, so researchers often focus on examining the CoT in cases where the model changes its answer after adding a cue to the input. This proxy finds some instances of unfaithfulness but loses information when the model maintains its answer, and does not investigate aspects of reasoning not tied to the cue. We extend these results to a more holistic sense of monitorability by introducing verbosity: whether the CoT lists every factor needed to solve the task. We combine faithfulness and verbosity into a single monitorability score that shows how well the CoT serves as the model's external `working memory', a property that many safety schemes based on CoT monitoring depend on. We evaluate instruction-tuned and reasoning models on BBH, GPQA, and MMLU. Our results show that models can appear faithful yet remain hard to monitor when they leave out key factors, and that monitorability differs sharply across model families. We release our evaluation code using the Inspect library to support reproducible future work.




Abstract:We study the feasibility of conducting alignment audits: investigations into whether models have undesired objectives. As a testbed, we train a language model with a hidden objective. Our training pipeline first teaches the model about exploitable errors in RLHF reward models (RMs), then trains the model to exploit some of these errors. We verify via out-of-distribution evaluations that the model generalizes to exhibit whatever behaviors it believes RMs rate highly, including ones not reinforced during training. We leverage this model to study alignment audits in two ways. First, we conduct a blind auditing game where four teams, unaware of the model's hidden objective or training, investigate it for concerning behaviors and their causes. Three teams successfully uncovered the model's hidden objective using techniques including interpretability with sparse autoencoders (SAEs), behavioral attacks, and training data analysis. Second, we conduct an unblinded follow-up study of eight techniques for auditing the model, analyzing their strengths and limitations. Overall, our work provides a concrete example of using alignment audits to discover a model's hidden objective and proposes a methodology for practicing and validating progress in alignment auditing.




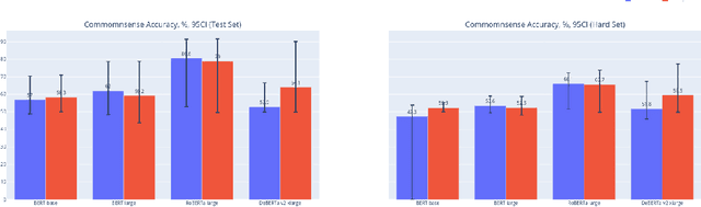
Abstract:In this work, we study the alignment (BrainScore) of large language models (LLMs) fine-tuned for moral reasoning on behavioral data and/or brain data of humans performing the same task. We also explore if fine-tuning several LLMs on the fMRI data of humans performing moral reasoning can improve the BrainScore. We fine-tune several LLMs (BERT, RoBERTa, DeBERTa) on moral reasoning behavioral data from the ETHICS benchmark [Hendrycks et al., 2020], on the moral reasoning fMRI data from Koster-Hale et al. [2013], or on both. We study both the accuracy on the ETHICS benchmark and the BrainScores between model activations and fMRI data. While larger models generally performed better on both metrics, BrainScores did not significantly improve after fine-tuning.




Abstract:We investigate feature universality in large language models (LLMs), a research field that aims to understand how different models similarly represent concepts in the latent spaces of their intermediate layers. Demonstrating feature universality allows discoveries about latent representations to generalize across several models. However, comparing features across LLMs is challenging due to polysemanticity, in which individual neurons often correspond to multiple features rather than distinct ones. This makes it difficult to disentangle and match features across different models. To address this issue, we employ a method known as dictionary learning by using sparse autoencoders (SAEs) to transform LLM activations into more interpretable spaces spanned by neurons corresponding to individual features. After matching feature neurons across models via activation correlation, we apply representational space similarity metrics like Singular Value Canonical Correlation Analysis to analyze these SAE features across different LLMs. Our experiments reveal significant similarities in SAE feature spaces across various LLMs, providing new evidence for feature universality.
Abstract:To understand the goals and goal representations of AI systems, we carefully study a pretrained reinforcement learning policy that solves mazes by navigating to a range of target squares. We find this network pursues multiple context-dependent goals, and we further identify circuits within the network that correspond to one of these goals. In particular, we identified eleven channels that track the location of the goal. By modifying these channels, either with hand-designed interventions or by combining forward passes, we can partially control the policy. We show that this network contains redundant, distributed, and retargetable goal representations, shedding light on the nature of goal-direction in trained policy networks.