



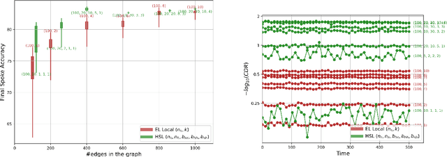
Abstract:We introduce the Hubs and Spokes Learning (HSL) framework, a novel paradigm for collaborative machine learning that combines the strengths of Federated Learning (FL) and Decentralized Learning (P2PL). HSL employs a two-tier communication structure that avoids the single point of failure inherent in FL and outperforms the state-of-the-art P2PL framework, Epidemic Learning Local (ELL). At equal communication budgets (total edges), HSL achieves higher performance than ELL, while at significantly lower communication budgets, it can match ELL's performance. For instance, with only 400 edges, HSL reaches the same test accuracy that ELL achieves with 1000 edges for 100 peers (spokes) on CIFAR-10, demonstrating its suitability for resource-constrained systems. HSL also achieves stronger consensus among nodes after mixing, resulting in improved performance with fewer training rounds. We substantiate these claims through rigorous theoretical analyses and extensive experimental results, showcasing HSL's practicality for large-scale collaborative learning.




Abstract:Federated learning is a decentralized learning paradigm introduced to preserve privacy of client data. Despite this, prior work has shown that an attacker at the server can still reconstruct the private training data using only the client updates. These attacks are known as data reconstruction attacks and fall into two major categories: gradient inversion (GI) and linear layer leakage attacks (LLL). However, despite demonstrating the effectiveness of these attacks in breaching privacy, prior work has not investigated the usefulness of the reconstructed data for downstream tasks. In this work, we explore data reconstruction attacks through the lens of training and improving models with leaked data. We demonstrate the effectiveness of both GI and LLL attacks in maliciously training models using the leaked data more accurately than a benign federated learning strategy. Counter-intuitively, this bump in training quality can occur despite limited reconstruction quality or a small total number of leaked images. Finally, we show the limitations of these attacks for downstream training, individually for GI attacks and for LLL attacks.




Abstract:Secure aggregation promises a heightened level of privacy in federated learning, maintaining that a server only has access to a decrypted aggregate update. Within this setting, linear layer leakage methods are the only data reconstruction attacks able to scale and achieve a high leakage rate regardless of the number of clients or batch size. This is done through increasing the size of an injected fully-connected (FC) layer. However, this results in a resource overhead which grows larger with an increasing number of clients. We show that this resource overhead is caused by an incorrect perspective in all prior work that treats an attack on an aggregate update in the same way as an individual update with a larger batch size. Instead, by attacking the update from the perspective that aggregation is combining multiple individual updates, this allows the application of sparsity to alleviate resource overhead. We show that the use of sparsity can decrease the model size overhead by over 327$\times$ and the computation time by 3.34$\times$ compared to SOTA while maintaining equivalent total leakage rate, 77% even with $1000$ clients in aggregation.




Abstract:Security and privacy are important concerns in machine learning. End user devices often contain a wealth of data and this information is sensitive and should not be shared with servers or enterprises. As a result, federated learning was introduced to enable machine learning over large decentralized datasets while promising privacy by eliminating the need for data sharing. However, prior work has shown that shared gradients often contain private information and attackers can gain knowledge either through malicious modification of the architecture and parameters or by using optimization to approximate user data from the shared gradients. Despite this, most attacks have so far been limited in scale of number of clients, especially failing when client gradients are aggregated together using secure model aggregation. The attacks that still function are strongly limited in the number of clients attacked, amount of training samples they leak, or number of iterations they take to be trained. In this work, we introduce MANDRAKE, an attack that overcomes previous limitations to directly leak large amounts of client data even under secure aggregation across large numbers of clients. Furthermore, we break the anonymity of aggregation as the leaked data is identifiable and directly tied back to the clients they come from. We show that by sending clients customized convolutional parameters, the weight gradients of data points between clients will remain separate through aggregation. With an aggregation across many clients, prior work could only leak less than 1% of images. With the same number of non-zero parameters, and using only a single training iteration, MANDRAKE leaks 70-80% of data samples.




Abstract:Sequencing technologies are prone to errors, making error correction (EC) necessary for downstream applications. EC tools need to be manually configured for optimal performance. We find that the optimal parameters (e.g., k-mer size) are both tool- and dataset-dependent. Moreover, evaluating the performance (i.e., Alignment-rate or Gain) of a given tool usually relies on a reference genome, but quality reference genomes are not always available. We introduce Lerna for the automated configuration of k-mer-based EC tools. Lerna first creates a language model (LM) of the uncorrected genomic reads; then, calculates the perplexity metric to evaluate the corrected reads for different parameter choices. Next, it finds the one that produces the highest alignment rate without using a reference genome. The fundamental intuition of our approach is that the perplexity metric is inversely correlated with the quality of the assembly after error correction. Results: First, we show that the best k-mer value can vary for different datasets, even for the same EC tool. Second, we show the gains of our LM using its component attention-based transformers. We show the model's estimation of the perplexity metric before and after error correction. The lower the perplexity after correction, the better the k-mer size. We also show that the alignment rate and assembly quality computed for the corrected reads are strongly negatively correlated with the perplexity, enabling the automated selection of k-mer values for better error correction, and hence, improved assembly quality. Additionally, we show that our attention-based models have significant runtime improvement for the entire pipeline -- 18X faster than previous works, due to parallelizing the attention mechanism and the use of JIT compilation for GPU inferencing.




Abstract:Federated learning---multi-party, distributed learning in a decentralized environment---is vulnerable to model poisoning attacks, even more so than centralized learning approaches. This is because malicious clients can collude and send in carefully tailored model updates to make the global model inaccurate. This motivated the development of Byzantine-resilient federated learning algorithms, such as Krum, Bulyan, FABA, and FoolsGold. However, a recently developed untargeted model poisoning attack showed that all prior defenses can be bypassed. The attack uses the intuition that simply by changing the sign of the gradient updates that the optimizer is computing, for a set of malicious clients, a model can be diverted from the optima to increase the test error rate. In this work, we develop TESSERACT---a defense against this directed deviation attack, a state-of-the-art model poisoning attack. TESSERACT is based on a simple intuition that in a federated learning setting, certain patterns of gradient flips are indicative of an attack. This intuition is remarkably stable across different learning algorithms, models, and datasets. TESSERACT assigns reputation scores to the participating clients based on their behavior during the training phase and then takes a weighted contribution of the clients. We show that TESSERACT provides robustness against even a white-box version of the attack.




Abstract:Plant leaf diseases pose a significant danger to food security and they cause depletion in quality and volume of production. Therefore accurate and timely detection of leaf disease is very important to check the loss of the crops and meet the growing food demand of the people. Conventional techniques depend on lab investigation and human skills which are generally costly and inaccessible. Recently, Deep Neural Networks have been exceptionally fruitful in image classification. In this research paper, plant leaf disease detection employing transfer learning is explored in the JPEG compressed domain. Here, the JPEG compressed stream consisting of DCT coefficients is, directly fed into the Neural Network to improve the efficiency of classification. The experimental results on JPEG compressed leaf dataset demonstrate the efficacy of the proposed model.




Abstract:Areas where Artificial Intelligence (AI) & related fields are finding their applications are increasing day by day, moving from core areas of computer science they are finding their applications in various other domains.In recent times Machine Learning i.e. a sub-domain of AI has been widely used in order to assist medical experts and doctors in the prediction, diagnosis and prognosis of various diseases and other medical disorders. In this manuscript the authors applied various machine learning algorithms to a problem in the domain of medical diagnosis and analyzed their efficiency in predicting the results. The problem selected for the study is the diagnosis of the Chronic Kidney Disease.The dataset used for the study consists of 400 instances and 24 attributes. The authors evaluated 12 classification techniques by applying them to the Chronic Kidney Disease data. In order to calculate efficiency, results of the prediction by candidate methods were compared with the actual medical results of the subject.The various metrics used for performance evaluation are predictive accuracy, precision, sensitivity and specificity. The results indicate that decision-tree performed best with nearly the accuracy of 98.6%, sensitivity of 0.9720, precision of 1 and specificity of 1.