Abstract:Algorithmic stability is a classical framework for analyzing the generalization error of learning algorithms. It predicts that an algorithm has small generalization error if it is insensitive to small perturbations in the training set such as the removal or replacement of a training point. While stability has been demonstrated for numerous well-known algorithms, this framework has had limited success in analyses of deep neural networks. In this paper we study the algorithmic stability of deep ReLU homogeneous neural networks that achieve zero training error using parameters with the smallest $L_2$ norm, also known as the minimum-norm interpolation, a phenomenon that can be observed in overparameterized models trained by gradient-based algorithms. We investigate sufficient conditions for such networks to be stable. We find that 1) such networks are stable when they contain a (possibly small) stable sub-network, followed by a layer with a low-rank weight matrix, and 2) such networks are not guaranteed to be stable even when they contain a stable sub-network, if the following layer is not low-rank. The low-rank assumption is inspired by recent empirical and theoretical results which demonstrate that training deep neural networks is biased towards low-rank weight matrices, for minimum-norm interpolation and weight-decay regularization.
Abstract:Quantum machine learning models based on parametrized quantum circuits, also called quantum neural networks (QNNs), are considered to be among the most promising candidates for applications on near-term quantum devices. Here we explore the expressivity and inductive bias of QNNs by exploiting an exact mapping from QNNs with inputs $x$ to classical perceptrons acting on $x \otimes x$ (generalised to complex inputs). The simplicity of the perceptron architecture allows us to provide clear examples of the shortcomings of current QNN models, and the many barriers they face to becoming useful general-purpose learning algorithms. For example, a QNN with amplitude encoding cannot express the Boolean parity function for $n\geq 3$, which is but one of an exponential number of data structures that such a QNN is unable to express. Mapping a QNN to a classical perceptron simplifies training, allowing us to systematically study the inductive biases of other, more expressive embeddings on Boolean data. Several popular embeddings primarily produce an inductive bias towards functions with low class balance, reducing their generalisation performance compared to deep neural network architectures which exhibit much richer inductive biases. We explore two alternate strategies that move beyond standard QNNs. In the first, we use a QNN to help generate a classical DNN-inspired kernel. In the second we draw an analogy to the hierarchical structure of deep neural networks and construct a layered non-linear QNN that is provably fully expressive on Boolean data, while also exhibiting a richer inductive bias than simple QNNs. Finally, we discuss characteristics of the QNN literature that may obscure how hard it is to achieve quantum advantage over deep learning algorithms on classical data.
Abstract:The remarkable performance of overparameterized deep neural networks (DNNs) must arise from an interplay between network architecture, training algorithms, and structure in the data. To disentangle these three components, we apply a Bayesian picture, based on the functions expressed by a DNN, to supervised learning. The prior over functions is determined by the network, and is varied by exploiting a transition between ordered and chaotic regimes. For Boolean function classification, we approximate the likelihood using the error spectrum of functions on data. When combined with the prior, this accurately predicts the posterior, measured for DNNs trained with stochastic gradient descent. This analysis reveals that structured data, combined with an intrinsic Occam's razor-like inductive bias towards (Kolmogorov) simple functions that is strong enough to counteract the exponential growth of the number of functions with complexity, is a key to the success of DNNs.




Abstract:Double-descent curves in neural networks describe the phenomenon that the generalisation error initially descends with increasing parameters, then grows after reaching an optimal number of parameters which is less than the number of data points, but then descends again in the overparameterised regime. Here we use a neural network Gaussian process (NNGP) which maps exactly to a fully connected network (FCN) in the infinite width limit, combined with techniques from random matrix theory, to calculate this generalisation behaviour, with a particular focus on the overparameterised regime. We verify our predictions with numerical simulations of the corresponding Gaussian process regressions. An advantage of our NNGP approach is that the analytical calculations are easier to interpret. We argue that neural network generalization performance improves in the overparameterised regime precisely because that is where they converge to their equivalent Gaussian process.




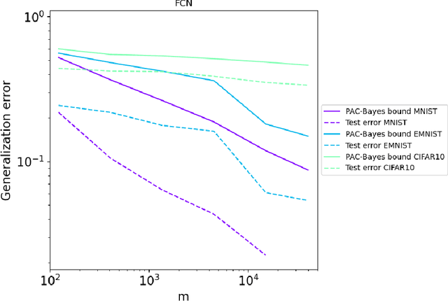
Abstract:Generalization in deep learning has been the topic of much recent theoretical and empirical research. Here we introduce desiderata for techniques that predict generalization errors for deep learning models in supervised learning. Such predictions should 1) scale correctly with data complexity; 2) scale correctly with training set size; 3) capture differences between architectures; 4) capture differences between optimization algorithms; 5) be quantitatively not too far from the true error (in particular, be non-vacuous); 6) be efficiently computable; and 7) be rigorous. We focus on generalization error upper bounds, and introduce a categorisation of bounds depending on assumptions on the algorithm and data. We review a wide range of existing approaches, from classical VC dimension to recent PAC-Bayesian bounds, commenting on how well they perform against the desiderata. We next use a function-based picture to derive a marginal-likelihood PAC-Bayesian bound. This bound is, by one definition, optimal up to a multiplicative constant in the asymptotic limit of large training sets, as long as the learning curve follows a power law, which is typically found in practice for deep learning problems. Extensive empirical analysis demonstrates that our marginal-likelihood PAC-Bayes bound fulfills desiderata 1-3 and 5. The results for 6 and 7 are promising, but not yet fully conclusive, while only desideratum 4 is currently beyond the scope of our bound. Finally, we comment on why this function-based bound performs significantly better than current parameter-based PAC-Bayes bounds.




Abstract:Overparameterised deep neural networks (DNNs) are highly expressive and so can, in principle, generate almost any function that fits a training dataset with zero error. The vast majority of these functions will perform poorly on unseen data, and yet in practice DNNs often generalise remarkably well. This success suggests that a trained DNN must have a strong inductive bias towards functions with low generalisation error. Here we empirically investigate this inductive bias by calculating, for a range of architectures and datasets, the probability $P_{SGD}(f\mid S)$ that an overparameterised DNN, trained with stochastic gradient descent (SGD) or one of its variants, converges on a function $f$ consistent with a training set $S$. We also use Gaussian processes to estimate the Bayesian posterior probability $P_B(f\mid S)$ that the DNN expresses $f$ upon random sampling of its parameters, conditioned on $S$. Our main findings are that $P_{SGD}(f\mid S)$ correlates remarkably well with $P_B(f\mid S)$ and that $P_B(f\mid S)$ is strongly biased towards low-error and low complexity functions. These results imply that strong inductive bias in the parameter-function map (which determines $P_B(f\mid S)$), rather than a special property of SGD, is the primary explanation for why DNNs generalise so well in the overparameterised regime. While our results suggest that the Bayesian posterior $P_B(f\mid S)$ is the first order determinant of $P_{SGD}(f\mid S)$, there remain second order differences that are sensitive to hyperparameter tuning. A function probability picture, based on $P_{SGD}(f\mid S)$ and/or $P_B(f\mid S)$, can shed new light on the way that variations in architecture or hyperparameter settings such as batch size, learning rate, and optimiser choice, affect DNN performance.




Abstract:Understanding the inductive bias of neural networks is critical to explaining their ability to generalise. Here, for one of the simplest neural networks -- a single-layer perceptron with $n$ input neurons, one output neuron, and no threshold bias term -- we prove that upon random initialisation of weights, the a priori probability $P(t)$ that it represents a Boolean function that classifies $t$ points in $\{0,1\}^n$ as $1$ has a remarkably simple form: $ P(t) = 2^{-n} \,\, {\rm for} \,\, 0\leq t < 2^n$. Since a perceptron can express far fewer Boolean functions with small or large values of $t$ (low "entropy") than with intermediate values of $t$ (high "entropy") there is, on average, a strong intrinsic a-priori bias towards individual functions with low entropy. Furthermore, within a class of functions with fixed $t$, we often observe a further intrinsic bias towards functions of lower complexity. Finally, we prove that, regardless of the distribution of inputs, the bias towards low entropy becomes monotonically stronger upon adding ReLU layers, and empirically show that increasing the variance of the bias term has a similar effect.




Abstract:Deep neural networks generalize remarkably well without explicit regularization even in the strongly over-parametrized regime. This success suggests that some form of implicit regularization must be at work. In this paper we argue that a strong intrinsic bias in the parameter-function map helps explain the success of deep neural networks. We provide evidence that the parameter-function map results in a heavily biased prior over functions, if we assume that the training algorithm samples parameters close to uniformly within the zero-error region. The PAC-Bayes theorem then guarantees good expected generalization for target functions producing high-likelihood training sets. We exploit connections between deep neural networks and Gaussian processes to estimate the marginal likelihood, finding remarkably good agreement between Gaussian processes and neural networks for small input sets. Using approximate marginal likelihood calculations we produce nontrivial generalization PAC-Bayes error bounds which correlate well with the true error on realistic datasets such as MNIST and CIFAR and for architectures including convolutional and fully connected networks. As predicted by recent arguments based on algorithmic information theory, we find that the prior probability drops exponentially with linear increases in several measures of descriptional complexity of the target function. As target functions in many real problems are expected to be highly structured, this simplicity bias offers an insight into why deep networks generalize well on real world problems, but badly on randomized data.