



Abstract:The rise of large language models (LLMs), such as ChatGPT, DeepSeek, and Grok-3, has reshaped the artificial intelligence landscape. As prominent examples of foundational models (FMs) built on LLMs, these models exhibit remarkable capabilities in generating human-like content, bringing us closer to achieving artificial general intelligence (AGI). However, their large-scale nature, sensitivity to privacy concerns, and substantial computational demands present significant challenges to personalized customization for end users. To bridge this gap, this paper presents the vision of artificial personalized intelligence (API), focusing on adapting these powerful models to meet the specific needs and preferences of users while maintaining privacy and efficiency. Specifically, this paper proposes personalized federated intelligence (PFI), which integrates the privacy-preserving advantages of federated learning (FL) with the zero-shot generalization capabilities of FMs, enabling personalized, efficient, and privacy-protective deployment at the edge. We first review recent advances in both FL and FMs, and discuss the potential of leveraging FMs to enhance federated systems. We then present the key motivations behind realizing PFI and explore promising opportunities in this space, including efficient PFI, trustworthy PFI, and PFI empowered by retrieval-augmented generation (RAG). Finally, we outline key challenges and future research directions for deploying FM-powered FL systems at the edge with improved personalization, computational efficiency, and privacy guarantees. Overall, this survey aims to lay the groundwork for the development of API as a complement to AGI, with a particular focus on PFI as a key enabling technique.
Abstract:In this paper, we propose the FedFeat+ framework, which distinctively separates feature extraction from classification. We develop a two-tiered model training process: following local training, clients transmit their weights and some features extracted from the feature extractor from the final local epochs to the server. The server aggregates these models using the FedAvg method and subsequently retrains the global classifier utilizing the shared features. The classifier retraining process enhances the model's understanding of the holistic view of the data distribution, ensuring better generalization across diverse datasets. This improved generalization enables the classifier to adaptively influence the feature extractor during subsequent local training epochs. We establish a balance between enhancing model accuracy and safeguarding individual privacy through the implementation of differential privacy mechanisms. By incorporating noise into the feature vectors shared with the server, we ensure that sensitive data remains confidential. We present a comprehensive convergence analysis, along with theoretical reasoning regarding performance enhancement and privacy preservation. We validate our approach through empirical evaluations conducted on benchmark datasets, including CIFAR-10, CIFAR-100, MNIST, and FMNIST, achieving high accuracy while adhering to stringent privacy guarantees. The experimental results demonstrate that the FedFeat+ framework, despite using only a lightweight two-layer CNN classifier, outperforms the FedAvg method in both IID and non-IID scenarios, achieving accuracy improvements ranging from 3.92 % to 12.34 % across CIFAR-10, CIFAR-100, and Fashion-MNIST datasets.




Abstract:This paper aims to improve the robustness of a small global model while maintaining clean accuracy under adversarial attacks and non-IID challenges in federated learning. By leveraging the concise knowledge embedded in the class probabilities from a pre-trained model for both clean and adversarial image classification, we propose a Pre-trained Model-guided Adversarial Federated Learning (PM-AFL) training paradigm. This paradigm integrates vanilla mixture and adversarial mixture knowledge distillation to effectively balance accuracy and robustness while promoting local models to learn from diverse data. Specifically, for clean accuracy, we adopt a dual distillation strategy where the class probabilities of randomly paired images and their blended versions are aligned between the teacher model and the local models. For adversarial robustness, we use a similar distillation approach but replace clean samples on the local side with adversarial examples. Moreover, considering the bias between local and global models, we also incorporate a consistency regularization term to ensure that local adversarial predictions stay aligned with their corresponding global clean ones. These strategies collectively enable local models to absorb diverse knowledge from the teacher model while maintaining close alignment with the global model, thereby mitigating overfitting to local optima and enhancing the generalization of the global model. Experiments demonstrate that the PM-AFL-based paradigm outperforms other methods that integrate defense strategies by a notable margin.




Abstract:Federated learning (FL) is a distributed training technology that enhances data privacy in mobile edge networks by allowing data owners to collaborate without transmitting raw data to the edge server. However, data heterogeneity and adversarial attacks pose challenges to develop an unbiased and robust global model for edge deployment. To address this, we propose Federated hyBrid Adversarial training and self-adversarial disTillation (FedBAT), a new framework designed to improve both robustness and generalization of the global model. FedBAT seamlessly integrates hybrid adversarial training and self-adversarial distillation into the conventional FL framework from data augmentation and feature distillation perspectives. From a data augmentation perspective, we propose hybrid adversarial training to defend against adversarial attacks by balancing accuracy and robustness through a weighted combination of standard and adversarial training. From a feature distillation perspective, we introduce a novel augmentation-invariant adversarial distillation method that aligns local adversarial features of augmented images with their corresponding unbiased global clean features. This alignment can effectively mitigate bias from data heterogeneity while enhancing both the robustness and generalization of the global model. Extensive experimental results across multiple datasets demonstrate that FedBAT yields comparable or superior performance gains in improving robustness while maintaining accuracy compared to several baselines.




Abstract:Advancements in 6G wireless technology have elevated the importance of beamforming, especially for attaining ultra-high data rates via millimeter-wave (mmWave) frequency deployment. Although promising, mmWave bands require substantial beam training to achieve precise beamforming. While initial deep learning models that use RGB camera images demonstrated promise in reducing beam training overhead, their performance suffers due to sensitivity to lighting and environmental variations. Due to this sensitivity, Quality of Service (QoS) fluctuates, eventually affecting the stability and dependability of networks in dynamic environments. This emphasizes a critical need for more robust solutions. This paper proposes a robust beamforming technique to ensure consistent QoS under varying environmental conditions. An optimization problem has been formulated to maximize users' data rates. To solve the formulated NP-hard optimization problem, we decompose it into two subproblems: the semantic localization problem and the optimal beam selection problem. To solve the semantic localization problem, we propose a novel method that leverages the k-means clustering and YOLOv8 model. To solve the beam selection problem, we propose a novel lightweight hybrid architecture that utilizes various data sources and a weighted entropy-based mechanism to predict the optimal beams. Rapid and accurate beam predictions are needed to maintain QoS. A novel metric, Accuracy-Complexity Efficiency (ACE), has been proposed to quantify this. Six testing scenarios have been developed to evaluate the robustness of the proposed model. Finally, the simulation result demonstrates that the proposed model outperforms several state-of-the-art baselines regarding beam prediction accuracy, received power, and ACE in the developed test scenarios.




Abstract:Federated learning (FL) facilitates a privacy-preserving neural network training paradigm through collaboration between edge clients and a central server. One significant challenge is that the distributed data is not independently and identically distributed (non-IID), typically including both intra-domain and inter-domain heterogeneity. However, recent research is limited to simply using averaged signals as a form of regularization and only focusing on one aspect of these non-IID challenges. Given these limitations, this paper clarifies these two non-IID challenges and attempts to introduce cluster representation to address them from both local and global perspectives. Specifically, we propose a dual-clustered feature contrast-based FL framework with dual focuses. First, we employ clustering on the local representations of each client, aiming to capture intra-class information based on these local clusters at a high level of granularity. Then, we facilitate cross-client knowledge sharing by pulling the local representation closer to clusters shared by clients with similar semantics while pushing them away from clusters with dissimilar semantics. Second, since the sizes of local clusters belonging to the same class may differ for each client, we further utilize clustering on the global side and conduct averaging to create a consistent global signal for guiding each local training in a contrastive manner. Experimental results on multiple datasets demonstrate that our proposal achieves comparable or superior performance gain under intra-domain and inter-domain heterogeneity.




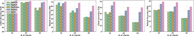
Abstract:Federated learning (FL) is a privacy-preserving distributed framework for collaborative model training on devices in edge networks. However, challenges arise due to vulnerability to adversarial examples (AEs) and the non-independent and identically distributed (non-IID) nature of data distribution among devices, hindering the deployment of adversarially robust and accurate learning models at the edge. While adversarial training (AT) is commonly acknowledged as an effective defense strategy against adversarial attacks in centralized training, we shed light on the adverse effects of directly applying AT in FL that can severely compromise accuracy, especially in non-IID challenges. Given this limitation, this paper proposes FatCC, which incorporates local logit \underline{C}alibration and global feature \underline{C}ontrast into the vanilla federated adversarial training (\underline{FAT}) process from both logit and feature perspectives. This approach can effectively enhance the federated system's robust accuracy (RA) and clean accuracy (CA). First, we propose logit calibration, where the logits are calibrated during local adversarial updates, thereby improving adversarial robustness. Second, FatCC introduces feature contrast, which involves a global alignment term that aligns each local representation with unbiased global features, thus further enhancing robustness and accuracy in federated adversarial environments. Extensive experiments across multiple datasets demonstrate that FatCC achieves comparable or superior performance gains in both CA and RA compared to other baselines.




Abstract:Federated learning (FL) is a privacy-preserving distributed management framework based on collaborative model training of distributed devices in edge networks. However, recent studies have shown that FL is vulnerable to adversarial examples (AEs), leading to a significant drop in its performance. Meanwhile, the non-independent and identically distributed (non-IID) challenge of data distribution between edge devices can further degrade the performance of models. Consequently, both AEs and non-IID pose challenges to deploying robust learning models at the edge. In this work, we adopt the adversarial training (AT) framework to improve the robustness of FL models against adversarial example (AE) attacks, which can be termed as federated adversarial training (FAT). Moreover, we address the non-IID challenge by implementing a simple yet effective logits calibration strategy under the FAT framework, which can enhance the robustness of models when subjected to adversarial attacks. Specifically, we employ a direct strategy to adjust the logits output by assigning higher weights to classes with small samples during training. This approach effectively tackles the class imbalance in the training data, with the goal of mitigating biases between local and global models. Experimental results on three dataset benchmarks, MNIST, Fashion-MNIST, and CIFAR-10 show that our strategy achieves competitive results in natural and robust accuracy compared to several baselines.




Abstract:Federated learning-assisted edge intelligence enables privacy protection in modern intelligent services. However, not Independent and Identically Distributed (non-IID) distribution among edge clients can impair the local model performance. The existing single prototype-based strategy represents a sample by using the mean of the feature space. However, feature spaces are usually not clustered, and a single prototype may not represent a sample well. Motivated by this, this paper proposes a multi-prototype federated contrastive learning approach (MP-FedCL) which demonstrates the effectiveness of using a multi-prototype strategy over a single-prototype under non-IID settings, including both label and feature skewness. Specifically, a multi-prototype computation strategy based on \textit{k-means} is first proposed to capture different embedding representations for each class space, using multiple prototypes ($k$ centroids) to represent a class in the embedding space. In each global round, the computed multiple prototypes and their respective model parameters are sent to the edge server for aggregation into a global prototype pool, which is then sent back to all clients to guide their local training. Finally, local training for each client minimizes their own supervised learning tasks and learns from shared prototypes in the global prototype pool through supervised contrastive learning, which encourages them to learn knowledge related to their own class from others and reduces the absorption of unrelated knowledge in each global iteration. Experimental results on MNIST, Digit-5, Office-10, and DomainNet show that our method outperforms multiple baselines, with an average test accuracy improvement of about 4.6\% and 10.4\% under feature and label non-IID distributions, respectively.




Abstract:Machine learning is the study of computer algorithms that can automatically improve based on data and experience. Machine learning algorithms build a model from sample data, called training data, to make predictions or judgments without being explicitly programmed to do so. A variety of wellknown machine learning algorithms have been developed for use in the field of computer science to analyze data. This paper introduced a new machine learning algorithm called impact learning. Impact learning is a supervised learning algorithm that can be consolidated in both classification and regression problems. It can furthermore manifest its superiority in analyzing competitive data. This algorithm is remarkable for learning from the competitive situation and the competition comes from the effects of autonomous features. It is prepared by the impacts of the highlights from the intrinsic rate of natural increase (RNI). We, moreover, manifest the prevalence of the impact learning over the conventional machine learning algorithm.