Abstract:While Masked Image Modeling (MIM) has revolutionized fields of computer vision, its adoption in 3D medical image computing has been limited by the use of random masking, which overlooks the density of anatomical objects. To address this limitation, we enhance the pretext task with a simple yet effective masking strategy. Leveraging Hounsfield Unit (HU) measurements, we implement an HU-based Foreground Masking, which focuses on the intensity distribution of visceral organs and excludes non-tissue regions, such as air and fluid, that lack diagnostically meaningful features. Extensive experiments on five public 3D medical imaging datasets demonstrate that our masking consistently improves performance, both in quality of segmentation and Dice score (BTCV:~84.64\%, Flare22:~92.43\%, MM-WHS:~90.67\%, Amos22:~88.64\%, BraTS:~78.55\%). These results underscore the importance of domain-centric MIM and suggest a promising direction for representation learning in medical image segmentation. Implementation is available at github.com/AISeedHub/SubFore/.

Abstract:Kindai documents, written in modern Japanese from the late 19th to early 20th century, hold significant historical value for researchers studying societal structures, daily life, and environmental conditions of that period. However, transcribing these documents remains a labor-intensive and time-consuming task, resulting in limited annotated data for training optical character recognition (OCR) systems. This research addresses this challenge of data scarcity by leveraging parallel textline images - pairs of original Kindai text and their counterparts in contemporary Japanese fonts - to augment training datasets. We introduce a distance-based objective function that minimizes the gap between self-attention features of the parallel image pairs. Specifically, we explore Euclidean distance and Maximum Mean Discrepancy (MMD) as domain adaptation metrics. Experimental results demonstrate that our method reduces the character error rate (CER) by 2.23% and 3.94% over a Transformer-based OCR baseline when using Euclidean distance and MMD, respectively. Furthermore, our approach improves the discriminative quality of self-attention representations, leading to more effective OCR performance for historical documents.

Abstract:Vietnamese document analysis and recognition (DAR) is a crucial field with applications in digitization, information retrieval, and automation. Despite advancements in OCR and NLP, Vietnamese text recognition faces unique challenges due to its complex diacritics, tonal variations, and lack of large-scale annotated datasets. Traditional OCR methods often struggle with real-world document variations, while deep learning approaches have shown promise but remain limited by data scarcity and generalization issues. Recently, large language models (LLMs) and vision-language models have demonstrated remarkable improvements in text recognition and document understanding, offering a new direction for Vietnamese DAR. However, challenges such as domain adaptation, multimodal learning, and computational efficiency persist. This survey provide a comprehensive review of existing techniques in Vietnamese document recognition, highlights key limitations, and explores how LLMs can revolutionize the field. We discuss future research directions, including dataset development, model optimization, and the integration of multimodal approaches for improved document intelligence. By addressing these gaps, we aim to foster advancements in Vietnamese DAR and encourage community-driven solutions.





Abstract:Many existing models struggle to predict nonlinear behavior during extreme weather conditions. This study proposes a multi-scale temporal analysis for failure prediction in energy systems using PMU data. The model integrates multi-scale analysis with machine learning to capture both short-term and long-term behavior. PMU data lacks labeled states despite logged failure records, making it difficult to distinguish between normal and disturbance conditions. We address this through: (1) Extracting domain features from PMU time series data; (2) Applying multi-scale windows (30s, 60s, 180s) for pattern detection; (3) Using Recursive Feature Elimination to identify key features; (4) Training multiple machine learning models. Key contributions: Identifying significant features across multi-scale windows; Demonstrating LightGBM's superior performance (0.896 precision); Showing multi-scale analysis outperforms single-window models (0.841). Our work focuses on weather-related failures, with plans to extend to equipment failure and lightning events.





Abstract:The focus of this paper is the prototype development for 5G new radio (NR) sidelink communications, which enables NR UEs to transfer data independently without the assistance of a base station (gNB), designated as sidelink mode 2. Our design leverages open-source software operating on software-defined radios (SDRs), which can be easily extended for multiple UE scenarios. The software includes all signal processing components specified by 5G sidelink standards, including Low -Density Parity Check (LDPC) encoding/decoding, polar encoding/decoding, data and control multiplexing, modulation/demodulation, and orthogonal frequency-division multiplexing (OFDM) modulation/demodulation. It can be configured to operate with different bands, bandwidths, and multiple antenna settings. One method to demonstrate the completed Physical Sidelink Broadcast Channel (PSBCH) development is to show synchronization between a SyncRef UE and a nearby UE. The SyncRef UE broadcasts a sidelink synchronization signal block (S-SSB) periodically, which the nearby UE detects and uses to synchronize its timing and frequency components with the SyncRef UE. Once a connection is established, the SyncRef UE acts as a transmitter and shares data with the receiver UE (nearby UE) via the physical sidelink share channel (PSSCH). Our physical sidelink framework is tested using both an RF simulator and an over-the-air (OTA) testbed. In this work, we show both synchronization and data transmission/reception with 5G sidelink mode 2, where our OTA experimental results align well with our simulation results.





Abstract:People detection in top-view, fish-eye images is challenging as people in fish-eye images often appear in arbitrary directions and are distorted differently. Due to this unique radial geometry, axis-aligned people detectors often work poorly on fish-eye frames. Recent works account for this variability by modifying existing anchor-based detectors or relying on complex pre/post-processing. Anchor-based methods spread a set of pre-defined bounding boxes on the input image, most of which are invalid. In addition to being inefficient, this approach could lead to a significant imbalance between the positive and negative anchor boxes. In this work, we propose ARPD, a single-stage anchor-free fully convolutional network to detect arbitrarily rotated people in fish-eye images. Our network uses keypoint estimation to find the center point of each object and regress the object's other properties directly. To capture the various orientation of people in fish-eye cameras, in addition to the center and size, ARPD also predicts the angle of each bounding box. We also propose a periodic loss function that accounts for angle periodicity and relieves the difficulty of learning small-angle oscillations. Experimental results show that our method competes favorably with state-of-the-art algorithms while running significantly faster.





Abstract:Hydroxychloroquine (HCQ) is used to prevent or treat malaria caused by mosquito bites. Recently, the drug has been suggested to treat COVID-19, but that has not been supported by scientific evidence. The information regarding the drug efficacy has flooded social networks, posting potential threats to the community by perverting their perceptions of the drug efficacy. This paper studies the reactions of social network users on the recommendation of using HCQ for COVID-19 treatment by analyzing the reaction patterns and sentiment of the tweets. We collected 164,016 tweets from February to December 2020 and used a text mining approach to identify social reaction patterns and opinion change over time. Our descriptive analysis identified an irregularity of the users' reaction patterns associated tightly with the social and news feeds on the development of HCQ and COVID-19 treatment. The study linked the tweets and Google search frequencies to reveal the viewpoints of local communities on the use of HCQ for COVID-19 treatment across different states. Further, our tweet sentiment analysis reveals that public opinion changed significantly over time regarding the recommendation of using HCQ for COVID-19 treatment. The data showed that high support in the early dates but it significantly declined in October. Finally, using the manual classification of 4,850 tweets by humans as our benchmark, our sentiment analysis showed that the Google Cloud Natural Language algorithm outperformed the Valence Aware Dictionary and sEntiment Reasoner in classifying tweets, especially in the sarcastic tweet group.





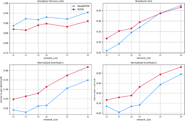
Abstract:Highly dynamic mobile ad-hoc networks (MANETs) remain as one of the most challenging environments to develop and deploy robust, efficient, and scalable routing protocols. In this paper, we present DeepCQ+ routing protocol which, in a novel manner integrates emerging multi-agent deep reinforcement learning (MADRL) techniques into existing Q-learning-based routing protocols and their variants and achieves persistently higher performance across a wide range of topology and mobility configurations. While keeping the overall protocol structure of the Q-learning-based routing protocols, DeepCQ+ replaces statically configured parameterized thresholds and hand-written rules with carefully designed MADRL agents such that no configuration of such parameters is required a priori. Extensive simulation shows that DeepCQ+ yields significantly increased end-to-end throughput with lower overhead and no apparent degradation of end-to-end delays (hop counts) compared to its Q-learning based counterparts. Qualitatively, and perhaps more significantly, DeepCQ+ maintains remarkably similar performance gains under many scenarios that it was not trained for in terms of network sizes, mobility conditions, and traffic dynamics. To the best of our knowledge, this is the first successful application of the MADRL framework for the MANET routing problem that demonstrates a high degree of scalability and robustness even under environments that are outside the trained range of scenarios. This implies that our MARL-based DeepCQ+ design solution significantly improves the performance of Q-learning based CQ+ baseline approach for comparison and increases its practicality and explainability because the real-world MANET environment will likely vary outside the trained range of MANET scenarios. Additional techniques to further increase the gains in performance and scalability are discussed.





Abstract:We address the packet routing problem in highly dynamic mobile ad-hoc networks (MANETs). In the network routing problem each router chooses the next-hop(s) of each packet to deliver the packet to a destination with lower delay, higher reliability, and less overhead in the network. In this paper, we present a novel framework and routing policies, DeepCQ+ routing, using multi-agent deep reinforcement learning (MADRL) which is designed to be robust and scalable for MANETs. Unlike other deep reinforcement learning (DRL)-based routing solutions in the literature, our approach has enabled us to train over a limited range of network parameters and conditions, but achieve realistic routing policies for a much wider range of conditions including a variable number of nodes, different data flows with varying data rates and source/destination pairs, diverse mobility levels, and other dynamic topology of networks. We demonstrate the scalability, robustness, and performance enhancements obtained by DeepCQ+ routing over a recently proposed model-free and non-neural robust and reliable routing technique (i.e. CQ+ routing). DeepCQ+ routing outperforms non-DRL-based CQ+ routing in terms of overhead while maintains same goodput rate. Under a wide range of network sizes and mobility conditions, we have observed the reduction in normalized overhead of 10-15%, indicating that the DeepCQ+ routing policy delivers more packets end-to-end with less overhead used. To the best of our knowledge, this is the first successful application of MADRL for the MANET routing problem that simultaneously achieves scalability and robustness under dynamic conditions while outperforming its non-neural counterpart. More importantly, we provide a framework to design scalable and robust routing policy with any desired network performance metric of interest.





Abstract:Phishing is an increasingly sophisticated method to steal personal user information using sites that pretend to be legitimate. In this paper, we take the following steps to identify phishing URLs. First, we carefully select lexical features of the URLs that are resistant to obfuscation techniques used by attackers. Second, we evaluate the classification accuracy when using only lexical features, both automatically and hand-selected, vs. when using additional features. We show that lexical features are sufficient for all practical purposes. Third, we thoroughly compare several classification algorithms, and we propose to use an online method (AROW) that is able to overcome noisy training data. Based on the insights gained from our analysis, we propose PhishDef, a phishing detection system that uses only URL names and combines the above three elements. PhishDef is a highly accurate method (when compared to state-of-the-art approaches over real datasets), lightweight (thus appropriate for online and client-side deployment), proactive (based on online classification rather than blacklists), and resilient to training data inaccuracies (thus enabling the use of large noisy training data).
