Abstract:Bridging the simulation-to-reality (sim2real) gap remains challenging as labelled real-world data is scarce. Existing diffusion-based approaches rely on unstructured prompts or statistical alignment, which do not capture the structured factors that make images look real. We introduce Ontology- Guided Diffusion (OGD), a neuro-symbolic zero-shot sim2real image translation framework that represents realism as structured knowledge. OGD decomposes realism into an ontology of interpretable traits -- such as lighting and material properties -- and encodes their relationships in a knowledge graph. From a synthetic image, OGD infers trait activations and uses a graph neural network to produce a global embedding. In parallel, a symbolic planner uses the ontology traits to compute a consistent sequence of visual edits needed to narrow the realism gap. The graph embedding conditions a pretrained instruction-guided diffusion model via cross-attention, while the planned edits are converted into a structured instruction prompt. Across benchmarks, our graph-based embeddings better distinguish real from synthetic imagery than baselines, and OGD outperforms state-of-the-art diffusion methods in sim2real image translations. Overall, OGD shows that explicitly encoding realism structure enables interpretable, data-efficient, and generalisable zero-shot sim2real transfer.
Abstract:The object-based nature of human visual attention is well-known in cognitive science, but has only played a minor role in computational visual attention models so far. This is mainly due to a lack of suitable datasets and evaluation metrics for object-based attention. To address these limitations, we present \dataset~ -- a novel 120-participant dataset of spatial street-crossing navigation in virtual reality specifically geared to object-based attention evaluations. The uniqueness of the presented dataset lies in the ethical and safety affiliated challenges that make collecting comparable data in real-world environments highly difficult. \dataset~ not only features accurate gaze data and a complete state-space representation of objects in the virtual environment, but it also offers variable scenario complexities and rich annotations, including panoptic segmentation, depth information, and vehicle keypoints. We further propose object-based similarity (oSIM) as a novel metric to evaluate the performance of object-based visual attention models, a previously unexplored performance characteristic. Our evaluations show that explicitly optimising for object-based attention not only improves oSIM performance but also leads to an improved model performance on common metrics. In addition, we present SUMGraph, a Mamba U-Net-based model, which explicitly encodes critical scene objects (vehicles) in a graph representation, leading to further performance improvements over several state-of-the-art visual attention prediction methods. The dataset, code and models will be publicly released.




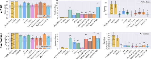
Abstract:While humans are inherently social creatures, the challenge of identifying when and how to assist and collaborate with others - particularly when pursuing independent goals - can hinder cooperation. To address this challenge, we aim to develop an AI system that provides useful feedback to promote prosocial behaviour - actions that benefit others, even when not directly aligned with one's own goals. We introduce ProToM, a Theory of Mind-informed facilitator that promotes prosocial actions in multi-agent systems by providing targeted, context-sensitive feedback to individual agents. ProToM first infers agents' goals using Bayesian inverse planning, then selects feedback to communicate by maximising expected utility, conditioned on the inferred goal distribution. We evaluate our approach against baselines in two multi-agent environments: Doors, Keys, and Gems, as well as Overcooked. Our results suggest that state-of-the-art large language and reasoning models fall short of communicating feedback that is both contextually grounded and well-timed - leading to higher communication overhead and task speedup. In contrast, ProToM provides targeted and helpful feedback, achieving a higher success rate, shorter task completion times, and is consistently preferred by human users.
Abstract:Most existing Theory of Mind (ToM) benchmarks for foundation models rely on variations of the Sally-Anne test, offering only a very limited perspective on ToM and neglecting the complexity of human social interactions. To address this gap, we propose ToM-SSI: a new benchmark specifically designed to test ToM capabilities in environments rich with social interactions and spatial dynamics. While current ToM benchmarks are limited to text-only or dyadic interactions, ToM-SSI is multimodal and includes group interactions of up to four agents that communicate and move in situated environments. This unique design allows us to study, for the first time, mixed cooperative-obstructive settings and reasoning about multiple agents' mental state in parallel, thus capturing a wider range of social cognition than existing benchmarks. Our evaluations reveal that the current models' performance is still severely limited, especially in these new tasks, highlighting critical gaps for future research.
Abstract:Developing collaborative AI hinges on Theory of Mind (ToM) - the ability to reason about the beliefs of others to build and maintain common ground. Existing ToM benchmarks, however, are restricted to passive observer settings or lack an assessment of how agents establish and maintain common ground over time. To address these gaps, we introduce the Yokai Learning Environment (YLE) - a multi-agent reinforcement learning (RL) environment based on the cooperative card game Yokai. In the YLE, agents take turns peeking at hidden cards and moving them to form clusters based on colour. Success requires tracking evolving beliefs, remembering past observations, using hints as grounded communication, and maintaining common ground with teammates. Our evaluation yields two key findings: First, current RL agents struggle to solve the YLE, even when given access to perfect memory. Second, while belief modelling improves performance, agents are still unable to effectively generalise to unseen partners or form accurate beliefs over longer games, exposing a reliance on brittle conventions rather than robust belief tracking. We use the YLE to investigate research questions in belief modelling, memory, partner generalisation, and scaling to higher-order ToM.
Abstract:We introduce Unsupervised Partner Design (UPD) - a population-free, multi-agent reinforcement learning framework for robust ad-hoc teamwork that adaptively generates training partners without requiring pretrained partners or manual parameter tuning. UPD constructs diverse partners by stochastically mixing an ego agent's policy with biased random behaviours and scores them using a variance-based learnability metric that prioritises partners near the ego agent's current learning frontier. We show that UPD can be integrated with unsupervised environment design, resulting in the first method enabling fully unsupervised curricula over both level and partner distributions in a cooperative setting. Through extensive evaluations on Overcooked-AI and the Overcooked Generalisation Challenge, we demonstrate that this dynamic partner curriculum is highly effective: UPD consistently outperforms both population-based and population-free baselines as well as ablations. In a user study, we further show that UPD achieves higher returns than all baselines and was perceived as significantly more adaptive, more human-like, a better collaborator, and less frustrating.
Abstract:Gaze-based applications are increasingly advancing with the availability of large datasets but ensuring data quality presents a substantial challenge when collecting data at scale. It further requires different parties to collaborate, therefore, privacy concerns arise. We propose QualitEye--the first method for verifying image-based gaze data quality. QualitEye employs a new semantic representation of eye images that contains the information required for verification while excluding irrelevant information for better domain adaptation. QualitEye covers a public setting where parties can freely exchange data and a privacy-preserving setting where parties cannot reveal their raw data nor derive gaze features/labels of others with adapted private set intersection protocols. We evaluate QualitEye on the MPIIFaceGaze and GazeCapture datasets and achieve a high verification performance (with a small overhead in runtime for privacy-preserving versions). Hence, QualitEye paves the way for new gaze analysis methods at the intersection of machine learning, human-computer interaction, and cryptography.
Abstract:We present HOIGaze - a novel learning-based approach for gaze estimation during hand-object interactions (HOI) in extended reality (XR). HOIGaze addresses the challenging HOI setting by building on one key insight: The eye, hand, and head movements are closely coordinated during HOIs and this coordination can be exploited to identify samples that are most useful for gaze estimator training - as such, effectively denoising the training data. This denoising approach is in stark contrast to previous gaze estimation methods that treated all training samples as equal. Specifically, we propose: 1) a novel hierarchical framework that first recognises the hand currently visually attended to and then estimates gaze direction based on the attended hand; 2) a new gaze estimator that uses cross-modal Transformers to fuse head and hand-object features extracted using a convolutional neural network and a spatio-temporal graph convolutional network; and 3) a novel eye-head coordination loss that upgrades training samples belonging to the coordinated eye-head movements. We evaluate HOIGaze on the HOT3D and Aria digital twin (ADT) datasets and show that it significantly outperforms state-of-the-art methods, achieving an average improvement of 15.6% on HOT3D and 6.0% on ADT in mean angular error. To demonstrate the potential of our method, we further report significant performance improvements for the sample downstream task of eye-based activity recognition on ADT. Taken together, our results underline the significant information content available in eye-hand-head coordination and, as such, open up an exciting new direction for learning-based gaze estimation.
Abstract:Our goal is to enable social robots to interact autonomously with humans in a realistic, engaging, and expressive manner. The 12 Principles of Animation [1] are a well-established framework animators use to create movements that make characters appear convincing, dynamic, and emotionally expressive. This paper proposes a novel approach that leverages Dynamic Movement Primitives (DMPs) to implement key animation principles, providing a learnable, explainable, modulable, online adaptable and composable model for automatic expressive motion generation. DMPs, originally developed for general imitation learning in robotics and grounded in a spring-damper system design, offer mathematical properties that make them particularly suitable for this task. Specifically, they enable modulation of the intensities of individual principles and facilitate the decomposition of complex, expressive motion sequences into learnable and parametrizable primitives. We present the mathematical formulation of the parameterized animation principles and demonstrate the effectiveness of our framework through experiments and application on three robotic platforms with different kinematic configurations, in simulation, on actual robots and in a user study. Our results show that the approach allows for creating diverse and nuanced expressions using a single base model.
Abstract:We propose CLAD -- a Constrained Latent Action Diffusion model for vision-language procedure planning in instructional videos. Procedure planning is the challenging task of predicting intermediate actions given a visual observation of a start and a goal state. However, future interactive AI systems must also be able to plan procedures using multi-modal input, e.g., where visual observations are augmented with language descriptions. To tackle this vision-language procedure planning task, our method uses a Variational Autoencoder (VAE) to learn the latent representation of actions and observations as constraints and integrate them into the diffusion process. This approach exploits that the latent space of diffusion models already has semantics that can be used. We use the latent constraints to steer the diffusion model to better generate actions. We report extensive experiments on the popular CrossTask, Coin, and NIV datasets and show that our method outperforms state-of-the-art methods by a large margin. By evaluating ablated versions of our method, we further show that the proposed integration of the action and observation representations learnt in the VAE latent space is key to these performance improvements.