Abstract:Physics-informed neural networks (PINNs) have shown promise in solving partial differential equations (PDEs), with growing interest in their energy-efficient, real-time training on edge devices. Photonic computing offers a potential solution to achieve this goal because of its ultra-high operation speed. However, the lack of photonic memory and the large device sizes prevent training real-size PINNs on photonic chips. This paper proposes a completely back-propagation-free (BP-free) and highly salable framework for training real-size PINNs on silicon photonic platforms. Our approach involves three key innovations: (1) a sparse-grid Stein derivative estimator to avoid the BP in the loss evaluation of a PINN, (2) a dimension-reduced zeroth-order optimization via tensor-train decomposition to achieve better scalability and convergence in BP-free training, and (3) a scalable on-chip photonic PINN training accelerator design using photonic tensor cores. We validate our numerical methods on both low- and high-dimensional PDE benchmarks. Through circuit simulation based on real device parameters, we further demonstrate the significant performance benefit (e.g., real-time training, huge chip area reduction) of our photonic accelerator.
Abstract:Many non-traditional students in cybersecurity programs often lack access to advice from peers, family members and professors, which can hinder their educational experiences. Additionally, these students may not fully benefit from various LLM-powered AI assistants due to issues like content relevance, locality of advice, minimum expertise, and timing. This paper addresses these challenges by introducing an application designed to provide comprehensive support by answering questions related to knowledge, skills, and career preparation advice tailored to the needs of these students. We developed a learning tool platform, CyberMentor, to address the diverse needs and pain points of students majoring in cybersecurity. Powered by agentic workflow and Generative Large Language Models (LLMs), the platform leverages Retrieval-Augmented Generation (RAG) for accurate and contextually relevant information retrieval to achieve accessibility and personalization. We demonstrated its value in addressing knowledge requirements for cybersecurity education and for career marketability, in tackling skill requirements for analytical and programming assignments, and in delivering real time on demand learning support. Using three use scenarios, we showcased CyberMentor in facilitating knowledge acquisition and career preparation and providing seamless skill-based guidance and support. We also employed the LangChain prompt-based evaluation methodology to evaluate the platform's impact, confirming its strong performance in helpfulness, correctness, and completeness. These results underscore the system's ability to support students in developing practical cybersecurity skills while improving equity and sustainability within higher education. Furthermore, CyberMentor's open-source design allows for adaptation across other disciplines, fostering educational innovation and broadening its potential impact.




Abstract:Large language models (LLMs) and prompt engineering hold significant potential for advancing computer programming education through personalized instruction. This paper explores this potential by investigating three critical research questions: the systematic categorization of prompt engineering strategies tailored to diverse educational needs, the empowerment of LLMs to solve complex problems beyond their inherent capabilities, and the establishment of a robust framework for evaluating and implementing these strategies. Our methodology involves categorizing programming questions based on educational requirements, applying various prompt engineering strategies, and assessing the effectiveness of LLM-generated responses. Experiments with GPT-4, GPT-4o, Llama3-8b, and Mixtral-8x7b models on datasets such as LeetCode and USACO reveal that GPT-4o consistently outperforms others, particularly with the "multi-step" prompt strategy. The results show that tailored prompt strategies significantly enhance LLM performance, with specific strategies recommended for foundational learning, competition preparation, and advanced problem-solving. This study underscores the crucial role of prompt engineering in maximizing the educational benefits of LLMs. By systematically categorizing and testing these strategies, we provide a comprehensive framework for both educators and students to optimize LLM-based learning experiences. Future research should focus on refining these strategies and addressing current LLM limitations to further enhance educational outcomes in computer programming instruction.




Abstract:Solving partial differential equations (PDEs) numerically often requires huge computing time, energy cost, and hardware resources in practical applications. This has limited their applications in many scenarios (e.g., autonomous systems, supersonic flows) that have a limited energy budget and require near real-time response. Leveraging optical computing, this paper develops an on-chip training framework for physics-informed neural networks (PINNs), aiming to solve high-dimensional PDEs with fJ/MAC photonic power consumption and ultra-low latency. Despite the ultra-high speed of optical neural networks, training a PINN on an optical chip is hard due to (1) the large size of photonic devices, and (2) the lack of scalable optical memory devices to store the intermediate results of back-propagation (BP). To enable realistic optical PINN training, this paper presents a scalable method to avoid the BP process. We also employ a tensor-compressed approach to improve the convergence and scalability of our optical PINN training. This training framework is designed with tensorized optical neural networks (TONN) for scalable inference acceleration and MZI phase-domain tuning for \textit{in-situ} optimization. Our simulation results of a 20-dim HJB PDE show that our photonic accelerator can reduce the number of MZIs by a factor of $1.17\times 10^3$, with only $1.36$ J and $1.15$ s to solve this equation. This is the first real-size optical PINN training framework that can be applied to solve high-dimensional PDEs.
Abstract:Backward propagation (BP) is widely used to compute the gradients in neural network training. However, it is hard to implement BP on edge devices due to the lack of hardware and software resources to support automatic differentiation. This has tremendously increased the design complexity and time-to-market of on-device training accelerators. This paper presents a completely BP-free framework that only requires forward propagation to train realistic neural networks. Our technical contributions are three-fold. Firstly, we present a tensor-compressed variance reduction approach to greatly improve the scalability of zeroth-order (ZO) optimization, making it feasible to handle a network size that is beyond the capability of previous ZO approaches. Secondly, we present a hybrid gradient evaluation approach to improve the efficiency of ZO training. Finally, we extend our BP-free training framework to physics-informed neural networks (PINNs) by proposing a sparse-grid approach to estimate the derivatives in the loss function without using BP. Our BP-free training only loses little accuracy on the MNIST dataset compared with standard first-order training. We also demonstrate successful results in training a PINN for solving a 20-dim Hamiltonian-Jacobi-Bellman PDE. This memory-efficient and BP-free approach may serve as a foundation for the near-future on-device training on many resource-constraint platforms (e.g., FPGA, ASIC, micro-controllers, and photonic chips).




Abstract:The conventional model aggregation-based federated learning (FL) approaches require all local models to have the same architecture and fail to support practical scenarios with heterogeneous local models. Moreover, the frequent model exchange is costly for resource-limited wireless networks since modern deep neural networks usually have over-million parameters. To tackle these challenges, we first propose a novel knowledge-aided FL (KFL) framework, which aggregates light high-level data features, namely knowledge, in the per-round learning process. This framework allows devices to design their machine learning models independently, and the KFL also reduces the communication overhead in the training process. We then theoretically analyze the convergence bound of the proposed framework under a non-convex loss function setting, revealing that large data volumes should be scheduled in the early rounds if the total data volumes during the entire learning course are fixed. Inspired by this, we define a new objective function, i.e., the weighted scheduled data sample volume, to transform the inexplicit global loss minimization problem into a tractable one for device scheduling, bandwidth allocation and power control. To deal with the unknown time-varying wireless channels, we transform the problem into a deterministic problem with the assistance of the Lyapunov optimization framework. Then, we also develop an efficient online device scheduling algorithm to achieve an energy-learning trade-off in the learning process. Experimental results on two typical datasets (i.e., MNIST and CIFAR-10) under highly heterogeneous local data distribution show that the proposed KFL is capable of reducing over 99% communication overhead while achieving better learning performance than the conventional model aggregation-based algorithms.




Abstract:In multi-access edge computing (MEC), most existing task software caching works focus on statically caching data at the network edge, which may hardly preserve high reusability due to the time-varying user requests in practice. To this end, this work considers dynamic task software caching at the MEC server to assist users' task execution. Specifically, we formulate a joint task software caching update (TSCU) and computation offloading (COMO) problem to minimize users' energy consumption while guaranteeing delay constraints, where the limited cache size and computation capability of the MEC server, as well as the time-varying task demand of users are investigated. This problem is proved to be non-deterministic polynomial-time hard, so we transform it into two sub-problems according to their temporal correlations, i.e., the real-time COMO problem and the Markov decision process-based TSCU problem. We first model the COMO problem as a multi-user game and propose a decentralized algorithm to address its Nash equilibrium solution. We then propose a double deep Q-network (DDQN)-based method to solve the TSCU policy. To reduce the computation complexity and convergence time, we provide a new design for the deep neural network (DNN) in DDQN, named state coding and action aggregation (SCAA). In SCAA-DNN, we introduce a dropout mechanism in the input layer to code users' activity states. Additionally, at the output layer, we devise a two-layer architecture to dynamically aggregate caching actions, which is able to solve the huge state-action space problem. Simulation results show that the proposed solution outperforms existing schemes, saving over 12% energy, and converges with fewer training episodes.




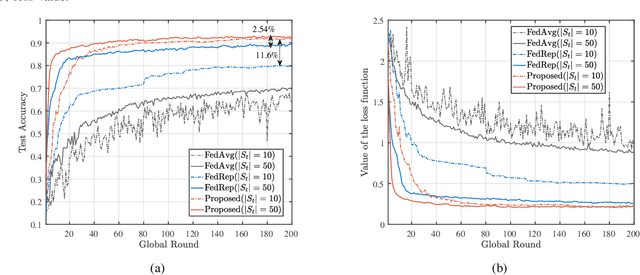
Abstract:The limited communication resources, e.g., bandwidth and energy, and data heterogeneity across devices are two of the main bottlenecks for federated learning (FL). To tackle these challenges, we first devise a novel FL framework with partial model aggregation (PMA), which only aggregates the lower layers of neural networks responsible for feature extraction while the upper layers corresponding to complex pattern recognition remain at devices for personalization. The proposed PMA-FL is able to address the data heterogeneity and reduce the transmitted information in wireless channels. We then obtain a convergence bound of the framework under a non-convex loss function setting. With the aid of this bound, we define a new objective function, named the scheduled data sample volume, to transfer the original inexplicit optimization problem into a tractable one for device scheduling, bandwidth allocation, computation and communication time division. Our analysis reveals that the optimal time division is achieved when the communication and computation parts of PMA-FL have the same power. We also develop a bisection method to solve the optimal bandwidth allocation policy and use the set expansion algorithm to address the optimal device scheduling. Compared with the state-of-the-art benchmarks, the proposed PMA-FL improves 2.72% and 11.6% accuracy on two typical heterogeneous datasets, i.e., MINIST and CIFAR-10, respectively. In addition, the proposed joint dynamic device scheduling and resource optimization approach achieve slightly higher accuracy than the considered benchmarks, but they provide a satisfactory energy and time reduction: 29% energy or 20% time reduction on the MNIST; and 25% energy or 12.5% time reduction on the CIFAR-10.