Abstract:Metaverse aims for building a fully immersive virtual shared space, where the users are able to engage in various activities. To successfully deploy the service for each user, the Metaverse service provider and network service provider generally localise the user first and then support the communication between the base station (BS) and the user. A reconfigurable intelligent surface (RIS) is capable of creating a reflected link between the BS and the user to enhance line-of-sight. Furthermore, the new key performance indicators (KPIs) in Metaverse, such as its energy-consumption-dependent total service cost and transmission latency, are often overlooked in ultra-reliable low latency communication (URLLC) designs, which have to be carefully considered in next-generation URLLC (xURLLC) regimes. In this paper, our design objective is to jointly optimise the transmit power, the RIS phase shifts, and the decoding error probability to simultaneously minimise the total service cost and transmission latency and approach the Pareto Front (PF). We conceive a twin-stage central controller, which aims for localising the users first and then supports the communication between the BS and users. In the first stage, we localise the Metaverse users, where the stochastic gradient descent (SGD) algorithm is invoked for accurate user localisation. In the second stage, a meta-learning-based position-dependent multi-objective soft actor and critic (MO-SAC) algorithm is proposed to approach the PF between the total service cost and transmission latency and to further optimise the latency-dependent reliability. Our numerical results demonstrate that ...
Abstract:Non-orthogonal multiple access (NOMA) is capable of serving different numbers of users in the same time-frequency resource element, and this feature can be leveraged to carry additional information. In the orthogonal frequency division multiplexing (OFDM) system, we propose a novel enhanced NOMA scheme, called NOMA with informative envelope (NOMA-IE), to explore the flexibility of the envelope of NOMA signals. In this scheme, data bits are conveyed by the quantified signal envelope in addition to classic signal constellations. The subcarrier activation patterns of different users are jointly decided by the envelope former. At the receiver, successive interference cancellation (SIC) is employed, and we also introduce the envelope detection coefficient to eliminate the error floor. Theoretical expressions of spectral efficiency and energy efficiency are provided for the NOMA-IE. Then, considering the binary phase shift keying modulation, we derive the asymptotic bit error rate for the two-subcarrier OFDM subblock. Afterwards, the expressions are extended to the four-subcarrier case. The analytical results reveal that the imperfect SIC and the index error are the main factors degrading the error performance. The numerical results demonstrate the superiority of the NOMA-IE over the OFDM and OFDM-NOMA, especially in the high signal-to-noise ratio (SNR) regime.




Abstract:The conventional model aggregation-based federated learning (FL) approaches require all local models to have the same architecture and fail to support practical scenarios with heterogeneous local models. Moreover, the frequent model exchange is costly for resource-limited wireless networks since modern deep neural networks usually have over-million parameters. To tackle these challenges, we first propose a novel knowledge-aided FL (KFL) framework, which aggregates light high-level data features, namely knowledge, in the per-round learning process. This framework allows devices to design their machine learning models independently, and the KFL also reduces the communication overhead in the training process. We then theoretically analyze the convergence bound of the proposed framework under a non-convex loss function setting, revealing that large data volumes should be scheduled in the early rounds if the total data volumes during the entire learning course are fixed. Inspired by this, we define a new objective function, i.e., the weighted scheduled data sample volume, to transform the inexplicit global loss minimization problem into a tractable one for device scheduling, bandwidth allocation and power control. To deal with the unknown time-varying wireless channels, we transform the problem into a deterministic problem with the assistance of the Lyapunov optimization framework. Then, we also develop an efficient online device scheduling algorithm to achieve an energy-learning trade-off in the learning process. Experimental results on two typical datasets (i.e., MNIST and CIFAR-10) under highly heterogeneous local data distribution show that the proposed KFL is capable of reducing over 99% communication overhead while achieving better learning performance than the conventional model aggregation-based algorithms.




Abstract:In multi-access edge computing (MEC), most existing task software caching works focus on statically caching data at the network edge, which may hardly preserve high reusability due to the time-varying user requests in practice. To this end, this work considers dynamic task software caching at the MEC server to assist users' task execution. Specifically, we formulate a joint task software caching update (TSCU) and computation offloading (COMO) problem to minimize users' energy consumption while guaranteeing delay constraints, where the limited cache size and computation capability of the MEC server, as well as the time-varying task demand of users are investigated. This problem is proved to be non-deterministic polynomial-time hard, so we transform it into two sub-problems according to their temporal correlations, i.e., the real-time COMO problem and the Markov decision process-based TSCU problem. We first model the COMO problem as a multi-user game and propose a decentralized algorithm to address its Nash equilibrium solution. We then propose a double deep Q-network (DDQN)-based method to solve the TSCU policy. To reduce the computation complexity and convergence time, we provide a new design for the deep neural network (DNN) in DDQN, named state coding and action aggregation (SCAA). In SCAA-DNN, we introduce a dropout mechanism in the input layer to code users' activity states. Additionally, at the output layer, we devise a two-layer architecture to dynamically aggregate caching actions, which is able to solve the huge state-action space problem. Simulation results show that the proposed solution outperforms existing schemes, saving over 12% energy, and converges with fewer training episodes.




Abstract:A novel reconfigurable intelligent surface-aided multi-robot network is proposed, where multiple mobile robots are served by an access point (AP) through non-orthogonal multiple access (NOMA). The goal is to maximize the sum-rate of whole trajectories for multi-robot system by jointly optimizing trajectories and NOMA decoding orders of robots, phase-shift coefficients of the RIS, and the power allocation of the AP, subject to predicted initial and final positions of robots and the quality of service (QoS) of each robot. To tackle this problem, an integrated machine learning (ML) scheme is proposed, which combines long short-term memory (LSTM)-autoregressive integrated moving average (ARIMA) model and dueling double deep Q-network (D$^{3}$QN) algorithm. For initial and final position prediction for robots, the LSTM-ARIMA is able to overcome the problem of gradient vanishment of non-stationary and non-linear sequences of data. For jointly determining the phase shift matrix and robots' trajectories, D$^{3}$QN is invoked for solving the problem of action value overestimation. Based on the proposed scheme, each robot holds a global optimal trajectory based on the maximum sum-rate of a whole trajectory, which reveals that robots pursue long-term benefits for whole trajectory design. Numerical results demonstrated that: 1) LSTM-ARIMA model provides high accuracy predicting model; 2) The proposed D$^{3}$QN algorithm can achieve fast average convergence; 3) The RIS with higher resolution bits offers a bigger sum-rate of trajectories than lower resolution bits; and 4) RIS-NOMA networks have superior network performance compared to RIS-aided orthogonal counterparts.




Abstract:The new concept of semi-integrated-sensing-and-communication (Semi-ISaC) is proposed for next-generation cellular networks. We propose a novel Semi-ISaC framework which provides more freedom as it allows that a portion of the bandwidth is exclusively used for either wireless communication or for radar detection, while the rest is for ISaC transmission. To enhance the bandwidth efficiency (BE), we investigate the evolution of Semi-ISaC networks from orthogonal multiple access (OMA) to non-orthogonal multiple access (NOMA). First, we evaluate the performance of an OMA-based Semi-ISaC network. As for the communication signals, we investigate both the outage probability (OP) and the ergodic rate. As for the radar echoes, we characterize the ergodic radar estimation information rate (REIR). Based on these metrics, we derive the analytical and asymptotic expressions of the ergodic RIER. Then, we investigate the performance of a NOMA-based Semi-ISaC network. More specifically, we derive the analytical expressions of both the OP and of the ergodic rate for the communication signals. The asymptotic expressions of OP are also derived for quantifying the diversity gains of the communication signals. As for the radar echoes, we derive the analytical and asymptotic ergodic REIR. The high signal-to-noise ratio (SNR) slopes are also evaluated. The analytical results indicate that: 1) Under a two-user NOMA Semi-ISaC scenario, the diversity order of the near-user equals to the coefficient of the Nakagami-m fading channels ($m$), while that of the far-user is zero; and 2) The high-SNR slope for the ergodic REIR is based on the ratio of the radar signal's duty cycle and the pulse duration. Our simulation results show that: 1) Semi-ISaC has better channel capacity than conventional ISaC; and 2) NOMA-based Semi-ISaC has better channel capacity than OMA-based Semi-ISaC.




Abstract:The limited communication resources, e.g., bandwidth and energy, and data heterogeneity across devices are two of the main bottlenecks for federated learning (FL). To tackle these challenges, we first devise a novel FL framework with partial model aggregation (PMA), which only aggregates the lower layers of neural networks responsible for feature extraction while the upper layers corresponding to complex pattern recognition remain at devices for personalization. The proposed PMA-FL is able to address the data heterogeneity and reduce the transmitted information in wireless channels. We then obtain a convergence bound of the framework under a non-convex loss function setting. With the aid of this bound, we define a new objective function, named the scheduled data sample volume, to transfer the original inexplicit optimization problem into a tractable one for device scheduling, bandwidth allocation, computation and communication time division. Our analysis reveals that the optimal time division is achieved when the communication and computation parts of PMA-FL have the same power. We also develop a bisection method to solve the optimal bandwidth allocation policy and use the set expansion algorithm to address the optimal device scheduling. Compared with the state-of-the-art benchmarks, the proposed PMA-FL improves 2.72% and 11.6% accuracy on two typical heterogeneous datasets, i.e., MINIST and CIFAR-10, respectively. In addition, the proposed joint dynamic device scheduling and resource optimization approach achieve slightly higher accuracy than the considered benchmarks, but they provide a satisfactory energy and time reduction: 29% energy or 20% time reduction on the MNIST; and 25% energy or 12.5% time reduction on the CIFAR-10.



Abstract:Coverage and capacity are the important metrics for performance evaluation in wireless networks, while the coverage and capacity have several conflicting relationships, e.g. high transmit power contributes to large coverage but high inter-cell interference reduces the capacity performance. Therefore, in order to strike a balance between the coverage and capacity, a novel model is proposed for the coverage and capacity optimization of simultaneously transmitting and reflecting reconfigurable intelligent surfaces (STAR-RISs) assisted networks. To solve the coverage and capacity optimization (CCO) problem, a machine learning-based multi-objective optimization algorithm, i.e., the multi-objective proximal policy optimization (MO-PPO) algorithm, is proposed. In this algorithm, a loss function-based update strategy is the core point, which is able to calculate weights for both loss functions of coverage and capacity by a min-norm solver at each update. The numerical results demonstrate that the investigated update strategy outperforms the fixed weight-based MO algorithms.




Abstract:Simultaneous transmitting and reflecting intelligent omini-surfaces (STAR-IOSs) are able to achieve full coverage "smart radio environments". By splitting the energy or altering the active number of STAR-IOS elements, STAR-IOSs provide high flexibility of successive interference cancellation (SIC) orders for non-orthogonal multiple access (NOMA) systems. Based on the aforementioned advantages, this paper investigates a STAR-IOS-aided downlink NOMA network with randomly deployed users. We first propose three tractable channel models for different application scenarios, namely the central limit model, the curve fitting model, and the M-fold convolution model. More specifically, the central limit model fits the scenarios with large-size STAR-IOSs while the curve fitting model is extended to evaluate multi-cell networks. However, these two models cannot obtain accurate diversity orders. Hence, we figure out the M-fold convolution model to derive accurate diversity orders. We consider three protocols for STAR-IOSs, namely, the energy splitting (ES) protocol, the time switching (TS) protocol, and the mode switching (MS) protocol. Based on the ES protocol, we derive analytical outage probability expressions for the paired NOMA users by the central limit model and the curve fitting model. Based on three STAR-IOS protocols, we derive the diversity gains of NOMA users by the M-fold convolution model. The analytical results reveal that the diversity gain of NOMA users is equal to the active number of STAR-IOS elements. Numerical results indicate that 1) in high signal-to-noise ratio regions, the central limit model performs as an upper bound, while a lower bound is obtained by the curve fitting model; 2) the TS protocol has the best performance but requesting more time blocks than other protocols; 3) the ES protocol outperforms the MS protocol as the ES protocol has higher diversity gains.




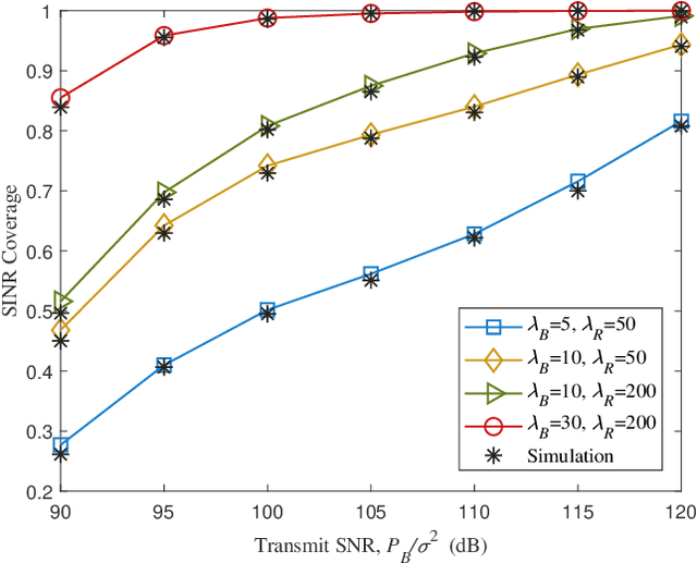
Abstract:Reconfigurable intelligent surface (RIS) has been regarded as a promising tool to strengthen the quality of signal transmissions in non-orthogonal multiple access (NOMA) networks. This article introduces a heterogeneous network (HetNet) structure into RIS-aided NOMA multi-cell networks. A practical user equipment (UE) association scheme for maximizing the average received power is adopted. To evaluate system performance, we provide a stochastic geometry based analytical framework, where the locations of RISs, base stations (BSs), and UEs are modeled as homogeneous Poisson point processes (PPPs). Based on this framework, we first derive the closed-form probability density function (PDF) to characterize the distribution of the reflective links created by RISs. Then, both the exact expressions and upper/lower bounds of UE association probability are calculated. Lastly, the analytical expressions of the signal-to-interference-plus-noise-ratio (SINR) and rate coverage probability are deduced. Additionally, to investigate the impact of RISs on system coverage, the asymptotic expressions of two coverage probabilities are derived. The theoretical results show that RIS length is not the decisive factor for coverage improvement. Numerical results demonstrate that the proposed RIS HetNet structure brings significant enhancement in rate coverage. Moreover, there exists an optimal combination of RISs and BSs deployment densities to maximize coverage probability.