Abstract:As Embodied AI systems move from research prototypes to real world deployments, they tend to evolve rapidly while remaining reliable under workload changes and partial failures. In practice, many deployments are only partially decoupled: middleware moves messages, but shared context and feedback semantics are implicit, causing interface drift, cross-module interference, and brittle recovery at scale. We present ANCHOR, a modular framework that makes decoupling and robustness explicit system-level primitives. ANCHOR separates (i) Canonical Records, an evolvable contract for the standardized shared state, from (ii) a communication bus for many-to-many dissemination and feedback-oriented coordination, forming an inspectable end-to-end loop. We validate closed-loop feasibility on a de-identified workflow instantiation, characterize latency distributions under varying payload sizes and publish rates, and demonstrate automatic stream resumption after hard crashes and restarts even with shared-memory loss. Overall, ANCHOR turns ad-hoc integration glue into explicit contracts, enabling controlled degradation under load and self-healing recovery for scalable deployment of closed-loop AI systems.




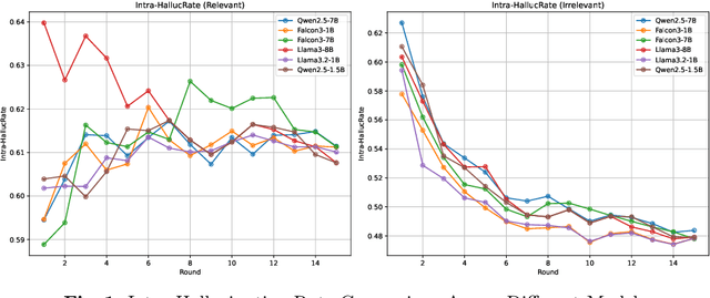
Abstract:Hallucinations -- plausible yet erroneous outputs -- remain a critical barrier to reliable deployment of large language models (LLMs). We present the first systematic study linking hallucination incidence to internal-state drift induced by incremental context injection. Using TruthfulQA, we construct two 16-round "titration" tracks per question: one appends relevant but partially flawed snippets, the other injects deliberately misleading content. Across six open-source LLMs, we track overt hallucination rates with a tri-perspective detector and covert dynamics via cosine, entropy, JS and Spearman drifts of hidden states and attention maps. Results reveal (1) monotonic growth of hallucination frequency and representation drift that plateaus after 5--7 rounds; (2) relevant context drives deeper semantic assimilation, producing high-confidence "self-consistent" hallucinations, whereas irrelevant context induces topic-drift errors anchored by attention re-routing; and (3) convergence of JS-Drift ($\sim0.69$) and Spearman-Drift ($\sim0$) marks an "attention-locking" threshold beyond which hallucinations solidify and become resistant to correction. Correlation analyses expose a seesaw between assimilation capacity and attention diffusion, clarifying size-dependent error modes. These findings supply empirical foundations for intrinsic hallucination prediction and context-aware mitigation mechanisms.




Abstract:This paper introduces EmbodiedAgent, a hierarchical framework for heterogeneous multi-robot control. EmbodiedAgent addresses critical limitations of hallucination in impractical tasks. Our approach integrates a next-action prediction paradigm with a structured memory system to decompose tasks into executable robot skills while dynamically validating actions against environmental constraints. We present MultiPlan+, a dataset of more than 18,000 annotated planning instances spanning 100 scenarios, including a subset of impractical cases to mitigate hallucination. To evaluate performance, we propose the Robot Planning Assessment Schema (RPAS), combining automated metrics with LLM-aided expert grading. Experiments demonstrate EmbodiedAgent's superiority over state-of-the-art models, achieving 71.85% RPAS score. Real-world validation in an office service task highlights its ability to coordinate heterogeneous robots for long-horizon objectives.




Abstract:We introduce a new regression framework designed to deal with large-scale, complex data that lies around a low-dimensional manifold. Our approach first constructs a graph representation, referred to as the skeleton, to capture the underlying geometric structure. We then define metrics on the skeleton graph and apply nonparametric regression techniques, along with feature transformations based on the graph, to estimate the regression function. In addition to the included nonparametric methods, we also discuss the limitations of some nonparametric regressors with respect to the general metric space such as the skeleton graph. The proposed regression framework allows us to bypass the curse of dimensionality and provides additional advantages that it can handle the union of multiple manifolds and is robust to additive noise and noisy observations. We provide statistical guarantees for the proposed method and demonstrate its effectiveness through simulations and real data examples.




Abstract:Brain network analysis for traumatic brain injury (TBI) patients is critical for its consciousness level assessment and prognosis evaluation, which requires the segmentation of certain consciousness-related brain regions. However, it is difficult to construct a TBI segmentation model as manually annotated MR scans of TBI patients are hard to collect. Data augmentation techniques can be applied to alleviate the issue of data scarcity. However, conventional data augmentation strategies such as spatial and intensity transformation are unable to mimic the deformation and lesions in traumatic brains, which limits the performance of the subsequent segmentation task. To address these issues, we propose a novel medical image inpainting model named TBI-GAN to synthesize TBI MR scans with paired brain label maps. The main strength of our TBI-GAN method is that it can generate TBI images and corresponding label maps simultaneously, which has not been achieved in the previous inpainting methods for medical images. We first generate the inpainted image under the guidance of edge information following a coarse-to-fine manner, and then the synthesized intensity image is used as the prior for label inpainting. Furthermore, we introduce a registration-based template augmentation pipeline to increase the diversity of the synthesized image pairs and enhance the capacity of data augmentation. Experimental results show that the proposed TBI-GAN method can produce sufficient synthesized TBI images with high quality and valid label maps, which can greatly improve the 2D and 3D traumatic brain segmentation performance compared with the alternatives.




Abstract:We introduce a density-based clustering method called skeleton clustering that can detect clusters in multivariate and even high-dimensional data with irregular shapes. To bypass the curse of dimensionality, we propose surrogate density measures that are less dependent on the dimension but have intuitive geometric interpretations. The clustering framework constructs a concise representation of the given data as an intermediate step and can be thought of as a combination of prototype methods, density-based clustering, and hierarchical clustering. We show by theoretical analysis and empirical studies that the skeleton clustering leads to reliable clusters in multivariate and high-dimensional scenarios.