



Abstract:Medical Triage is of paramount importance to healthcare systems, allowing for the correct orientation of patients and allocation of the necessary resources to treat them adequately. While reliable decision-tree methods exist to triage patients based on their presentation, those trees implicitly require human inference and are not immediately applicable in a fully automated setting. On the other hand, learning triage policies directly from experts may correct for some of the limitations of hard-coded decision-trees. In this work, we present a Deep Reinforcement Learning approach (a variant of DeepQ-Learning) to triage patients using curated clinical vignettes. The dataset, consisting of 1374 clinical vignettes, was created by medical doctors to represent real-life cases. Each vignette is associated with an average of 3.8 expert triage decisions given by medical doctors relying solely on medical history. We show that this approach is on a par with human performance, yielding safe triage decisions in 94% of cases, and matching expert decisions in 85% of cases. The trained agent learns when to stop asking questions, acquires optimized decision policies requiring less evidence than supervised approaches, and adapts to the novelty of a situation by asking for more information. Overall, we demonstrate that a Deep Reinforcement Learning approach can learn effective medical triage policies directly from expert decisions, without requiring expert knowledge engineering. This approach is scalable and can be deployed in healthcare settings or geographical regions with distinct triage specifications, or where trained experts are scarce, to improve decision making in the early stage of care.




Abstract:We elaborate on using importance sampling for causal reasoning, in particular for counterfactual inference. We show how this can be implemented natively in probabilistic programming. By considering the structure of the counterfactual query, one can significantly optimise the inference process. We also consider design choices to enable further optimisations. We introduce MultiVerse, a probabilistic programming prototype engine for approximate causal reasoning. We provide experimental results and compare with Pyro, an existing probabilistic programming framework with some of causal reasoning tools.



Abstract:Probabilistic programming languages (PPLs) are powerful modelling tools which allow to formalise our knowledge about the world and reason about its inherent uncertainty. Inference methods used in PPL can be computationally costly due to significant time burden and/or storage requirements; or they can lack theoretical guarantees of convergence and accuracy when applied to large scale graphical models. To this end, we present the Universal Marginaliser (UM), a novel method for amortised inference, in PPL. We show how combining samples drawn from the original probabilistic program prior with an appropriate augmentation method allows us to train one neural network to approximate any of the corresponding conditional marginal distributions, with any separation into latent and observed variables, and thus amortise the cost of inference. Finally, we benchmark the method on multiple probabilistic programs, in Pyro, with different model structure.




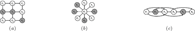
Abstract:Probabilistic graphical models are powerful tools which allow us to formalise our knowledge about the world and reason about its inherent uncertainty. There exist a considerable number of methods for performing inference in probabilistic graphical models; however, they can be computationally costly due to significant time burden and/or storage requirements; or they lack theoretical guarantees of convergence and accuracy when applied to large scale graphical models. To this end, we propose the Universal Marginaliser Importance Sampler (UM-IS) -- a hybrid inference scheme that combines the flexibility of a deep neural network trained on samples from the model and inherits the asymptotic guarantees of importance sampling. We show how combining samples drawn from the graphical model with an appropriate masking function allows us to train a single neural network to approximate any of the corresponding conditional marginal distributions, and thus amortise the cost of inference. We also show that the graph embeddings can be applied for tasks such as: clustering, classification and interpretation of relationships between the nodes. Finally, we benchmark the method on a large graph (>1000 nodes), showing that UM-IS outperforms sampling-based methods by a large margin while being computationally efficient.
Abstract:This abstract extends on the previous work (arXiv:1407.2646, arXiv:1606.00075) on program induction using probabilistic programming. It describes possible further steps to extend that work, such that, ultimately, automatic probabilistic program synthesis can generalise over any reasonable set of inputs and outputs, in particular in regard to text, image and video data.




Abstract:Online symptom checkers have significant potential to improve patient care, however their reliability and accuracy remain variable. We hypothesised that an artificial intelligence (AI) powered triage and diagnostic system would compare favourably with human doctors with respect to triage and diagnostic accuracy. We performed a prospective validation study of the accuracy and safety of an AI powered triage and diagnostic system. Identical cases were evaluated by both an AI system and human doctors. Differential diagnoses and triage outcomes were evaluated by an independent judge, who was blinded from knowing the source (AI system or human doctor) of the outcomes. Independently of these cases, vignettes from publicly available resources were also assessed to provide a benchmark to previous studies and the diagnostic component of the MRCGP exam. Overall we found that the Babylon AI powered Triage and Diagnostic System was able to identify the condition modelled by a clinical vignette with accuracy comparable to human doctors (in terms of precision and recall). In addition, we found that the triage advice recommended by the AI System was, on average, safer than that of human doctors, when compared to the ranges of acceptable triage provided by independent expert judges, with only a minimal reduction in appropriateness.




Abstract:We consider the problem of inference in a causal generative model where the set of available observations differs between data instances. We show how combining samples drawn from the graphical model with an appropriate masking function makes it possible to train a single neural network to approximate all the corresponding conditional marginal distributions and thus amortize the cost of inference. We further demonstrate that the efficiency of importance sampling may be improved by basing proposals on the output of the neural network. We also outline how the same network can be used to generate samples from an approximate joint posterior via a chain decomposition of the graph.




Abstract:Spreadsheet workbook contents are simple programs. Because of this, probabilistic programming techniques can be used to perform Bayesian inversion of spreadsheet computations. What is more, existing execution engines in spreadsheet applications such as Microsoft Excel can be made to do this using only built-in functionality. We demonstrate this by developing a native Excel implementation of both a particle Markov Chain Monte Carlo variant and black-box variational inference for spreadsheet probabilistic programming. The resulting engine performs probabilistically coherent inference over spreadsheet computations, notably including spreadsheets that include user-defined black-box functions. Spreadsheet engines that choose to integrate the functionality we describe in this paper will give their users the ability to both easily develop probabilistic models and maintain them over time by including actuals via a simple user-interface mechanism. For spreadsheet end-users this would mean having access to efficient and probabilistically coherent probabilistic modeling and inference for use in all kinds of decision making under uncertainty.




Abstract:We describe Venture, an interactive virtual machine for probabilistic programming that aims to be sufficiently expressive, extensible, and efficient for general-purpose use. Like Church, probabilistic models and inference problems in Venture are specified via a Turing-complete, higher-order probabilistic language descended from Lisp. Unlike Church, Venture also provides a compositional language for custom inference strategies built out of scalable exact and approximate techniques. We also describe four key aspects of Venture's implementation that build on ideas from probabilistic graphical models. First, we describe the stochastic procedure interface (SPI) that specifies and encapsulates primitive random variables. The SPI supports custom control flow, higher-order probabilistic procedures, partially exchangeable sequences and ``likelihood-free'' stochastic simulators. It also supports external models that do inference over latent variables hidden from Venture. Second, we describe probabilistic execution traces (PETs), which represent execution histories of Venture programs. PETs capture conditional dependencies, existential dependencies and exchangeable coupling. Third, we describe partitions of execution histories called scaffolds that factor global inference problems into coherent sub-problems. Finally, we describe a family of stochastic regeneration algorithms for efficiently modifying PET fragments contained within scaffolds. Stochastic regeneration linear runtime scaling in cases where many previous approaches scaled quadratically. We show how to use stochastic regeneration and the SPI to implement general-purpose inference strategies such as Metropolis-Hastings, Gibbs sampling, and blocked proposals based on particle Markov chain Monte Carlo and mean-field variational inference techniques.