Abstract:This paper investigates the energy efficiency optimization for movable antenna (MA) systems by considering the time delay and energy consumption introduced by MA movement. We first derive the upper bound on energy efficiency for a single-user downlink communication system, where the user is equipped with a single MA. Then, the energy efficiency maximization problem is formulated to optimize the MA position, and an efficient algorithm based on successive convex approximation is proposed to solve this non-convex optimization problem. Simulation results show that, despite the overhead caused by MA movement, the MA system can still improve the energy efficiency compared to the conventional fixed-position antenna (FPA) system.




Abstract:Large language models (LLMs) excel in various NLP tasks and modern medicine, but their evaluation in traditional Chinese medicine (TCM) is underexplored. To address this, we introduce TCM3CEval, a benchmark assessing LLMs in TCM across three dimensions: core knowledge mastery, classical text understanding, and clinical decision-making. We evaluate diverse models, including international (e.g., GPT-4o), Chinese (e.g., InternLM), and medical-specific (e.g., PLUSE). Results show a performance hierarchy: all models have limitations in specialized subdomains like Meridian & Acupoint theory and Various TCM Schools, revealing gaps between current capabilities and clinical needs. Models with Chinese linguistic and cultural priors perform better in classical text interpretation and clinical reasoning. TCM-3CEval sets a standard for AI evaluation in TCM, offering insights for optimizing LLMs in culturally grounded medical domains. The benchmark is available on Medbench's TCM track, aiming to assess LLMs' TCM capabilities in basic knowledge, classic texts, and clinical decision-making through multidimensional questions and real cases.




Abstract:The rapidly evolving field of generative artificial intelligence technology has introduced innovative approaches for developing semantic communication (SemCom) frameworks, leading to the emergence of a new paradigm-generative SemCom (GSC). However, the complex processes involved in semantic extraction and generative inference may result in considerable latency in resource-constrained scenarios. To tackle these issues, we introduce a new GSC framework that involves fast and adaptive semantic transmission (FAST-GSC). This framework incorporates one innovative communication mechanism and two enhancement strategies at the transmitter and receiver, respectively. Aiming to reduce task latency, our communication mechanism enables fast semantic transmission by parallelizing the processes of semantic extraction at the transmitter and inference at the receiver. Preliminary evaluations indicate that while this mechanism effectively reduces task latency, it could potentially compromise task performance. To address this issue, we propose two additional methods for enhancement. First, at the transmitter, we employ reinforcement learning to discern the intrinsic temporal dependencies among the semantic units and design their extraction and transmission sequence accordingly. Second, at the receiver, we design a semantic difference calculation module and propose a sequential conditional denoising approach to alleviate the stringent immediacy requirement for the reception of semantic features. Extensive experiments demonstrate that our proposed architecture achieves a performance score comparable to the conventional GSC architecture while realizing a 52% reduction in residual task latency that extends beyond the fixed inference duration.




Abstract:Semantic Communication (SemCom) is envisaged as the next-generation paradigm to address challenges stemming from the conflicts between the increasing volume of transmission data and the scarcity of spectrum resources. However, existing SemCom systems face drawbacks, such as low explainability, modality rigidity, and inadequate reconstruction functionality. Recognizing the transformative capabilities of AI-generated content (AIGC) technologies in content generation, this paper explores a pioneering approach by integrating them into SemCom to address the aforementioned challenges. We employ a three-layer model to illustrate the proposed AIGC-assisted SemCom (AIGC-SCM) architecture, emphasizing its clear deviation from existing SemCom. Grounded in this model, we investigate various AIGC technologies with the potential to augment SemCom's performance. In alignment with SemCom's goal of conveying semantic meanings, we also introduce the new evaluation methods for our AIGC-SCM system. Subsequently, we explore communication scenarios where our proposed AIGC-SCM can realize its potential. For practical implementation, we construct a detailed integration workflow and conduct a case study in a virtual reality image transmission scenario. The results demonstrate our ability to maintain a high degree of alignment between the reconstructed content and the original source information, while substantially minimizing the data volume required for transmission. These findings pave the way for further enhancements in communication efficiency and the improvement of Quality of Service. At last, we present future directions for AIGC-SCM studies.




Abstract:Semantic communication (SemCom) has emerged as a promising architecture in the realm of intelligent communication paradigms. SemCom involves extracting and compressing the core information at the transmitter while enabling the receiver to interpret it based on established knowledge bases (KBs). This approach enhances communication efficiency greatly. However, the open nature of wireless transmission and the presence of homogeneous KBs among subscribers of identical data type pose a risk of privacy leakage in SemCom. To address this challenge, we propose to leverage the simultaneous transmitting and reflecting reconfigurable intelligent surface (STAR-RIS) to achieve privacy protection in a SemCom system. In this system, the STAR-RIS is utilized to enhance the signal transmission of the SemCom between a base station and a destination user, as well as to covert the signal to interference specifically for the eavesdropper (Eve). Simulation results demonstrate that our generated task-level disturbance outperforms other benchmarks in protecting SemCom privacy, as evidenced by the significantly lower task success rate achieved by Eve.




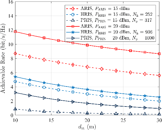
Abstract:Due to the serious path loss of millimeter-wave (mmWave), the signal sent by the base station is seriously attenuated when it reaches the indoors. Recent studies have proposed a glass-based metasurface that can enhance mmWave indoor signals. The transparent reconfigurable intelligent surface (RIS) focuses on the mmWave signal to a specific location indoors. In this paper, a novel RIS-assisted mmWave indoor enhancement scheme is proposed, in which a transparent RIS is deployed on the glass to enhance mmWave indoor signals, and three assisted transmission scenarios, namely passive RIS (PRIS), active RIS (ARIS), and a novel hybrid RIS (HRIS) are proposed. This paper aims to maximize the signal-to-noise ratio (SNR) of the received signal for the three assisted transmission scenarios. The closed-form solution to the maximum SNR is presented in the PRIS and the ARIS-assisted transmission scenarios. Meanwhile, the closed-form solution to the maximum SNR for the HRIS-assisted transmission scenario is presented for given active unit cells. In addition, the performance of the proposed scheme is analyzed under three assisted transmission scenarios. The results indicate that under a specific RIS power budget, the ARIS-assisted transmission scenario achieves the highest data rate and energy efficiency. Also, it requires very few unit cells, thus dramatically reducing the size of the metasurface.
Abstract:In reconfigurable intelligent surface (RIS)-assisted wireless communication systems, adjusting the phase shift of RIS unit cells is crucial for improving communication performance. Due to massive RIS unit cells, the number of phase shift parameters fed back from the base station (BS) to the RIS is enormous, which occupies a large number of frequency resources. In this paper, we propose a feedback scheme for millimeter-wave RIS phase shift applying a knowledge base autoencoder framework, in which the learnable knowledge base is shared at the BS and the RIS. The encoder at the BS compresses the RIS phase shift matrix to multiple feature vectors. Then the knowledge base vectors index is obtained by calculating the similarity between feature vectors and knowledge base vectors and transmitted to the RIS. With utilizing the index at the RIS, the corresponding knowledge base vectors are extracted and used as the decoder's inputs to reconstruct the phase shift of the RIS. Simulation results show that the proposed scheme can significantly improve the accuracy of phase shift feedback and impressively reduce the amount of RIS phase shift feedback data. Moreover, the proposed scheme is easy to deploy in actual scenarios due to lower complexity and fewer parameters.




Abstract:This letter considers the secure communication in a reconfigurable intelligent surface (RIS) aided full duplex (FD) system. A FD base station (BS) serves an uplink (UL) user and a downlink (DL) user simultaneously over the same timefrequency dimension assisted by a RIS in the presence of an eavesdropper. In addition, the BS transmits artificial noise (AN) to interfere the eavesdropper's channel. We aim to maximize the weighted sum secrecy rate of UL and DL users by jointly optimizing the transmit beamforming, receive beamforming and AN covariance matrix at the BS, and passive beamforming at the RIS. To handle the non-convex problem, we decompose it into tractable subproblems and propose an efficient algorithm based on alternating optimization framework. Specifically, the receive beamforming is derived as a closed-form solution while other variables are obtained by using semidefinite relaxation (SDR) method and successive convex approximation (SCA) algorithm. Simulation results demonstrate the superior performance of our proposed scheme compared to other baseline schemes.




Abstract:In this letter, we study the reconfigurable intelligent surfaces (RIS) aided full-duplex (FD) communication system. By jointly designing the active beamforming of two multi-antenna sources and passive beamforming of RIS, we aim to maximize the energy efficiency of the system, where extra self-interference cancellation power consumption in FD system is also considered. We divide the optimization problem into active and passive beamforming design subproblems, and adopt the alternative optimization framework to solve them iteratively. Dinkelbach's method is used to tackle the fractional objective function in active beamforming problem. Penalty method and successive convex approximation are exploited for passive beamforming design. Simulation results show the energy efficiency of our scheme outperforms other benchmarks.


Abstract:This work studies the effectiveness of a novel simultaneous transmission and reflection reconfigurable intelligent surface (STAR-RIS) aided Full-Duplex (FD) communication system. We aim to maximize the energy efficiency by jointly optimizing the transmit power and passive beamforming at the STAR-RIS. We propose an efficient algorithm to optimize them iteratively under the alternating optimization framework. The successive convex approximation (SCA) and Dinkelbach's method are used to solve the power optimization subproblem. The penalty-based method is used to design passive beamforming at the STAR-RIS. Numerical results verify the convergence and effectiveness of the proposed algorithm, and further reveal the benifits of the combining of the STAR-RIS and FD communication compared to benchmarks.