



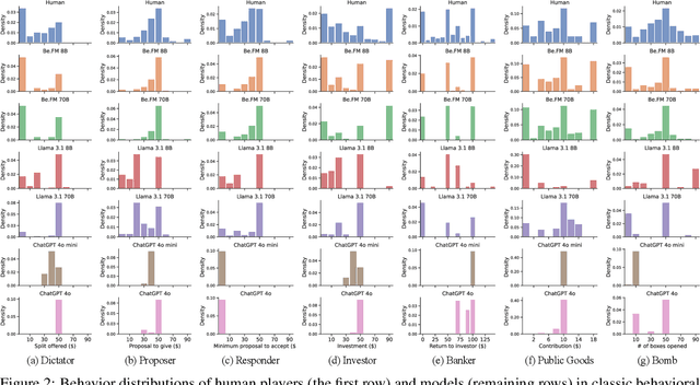
Abstract:Despite their success in numerous fields, the potential of foundation models for modeling and understanding human behavior remains largely unexplored. We introduce Be.FM, one of the first open foundation models designed for human behavior modeling. Built upon open-source large language models and fine-tuned on a diverse range of behavioral data, Be.FM can be used to understand and predict human decision-making. We construct a comprehensive set of benchmark tasks for testing the capabilities of behavioral foundation models. Our results demonstrate that Be.FM can predict behaviors, infer characteristics of individuals and populations, generate insights about contexts, and apply behavioral science knowledge.
Abstract:Large language models (LLMs) are vulnerable to unsafe training data that even small amounts of unsafe data can lead to harmful model behaviors. Detecting and filtering such unsafe training data is essential for trustworthy model development. Current state-of-the-art (SOTA) approaches typically rely on training moderation classifiers which requires significant computational overhead and are limited to predefined taxonomies, making them less adaptable to evolving safety concerns. Moreover, these classifiers lack insight into the training process, limiting their effectiveness in filtering unsafe data. To address these limitations, we propose DABUF, leveraging data attribution to detect and filter unsafe training data by attributing harmful model outputs to influential training data points. DABUF enables flexible identification of various unsafe data types without predefined taxonomies. However, in practice, model outputs can be complex with combined safe linguistic features and unsafe content, leading to reduced attribution accuracy. In such cases, DABUF will integrate moderation classifiers to identify a minimal subset of unsafe training data for targeted attribution (such as jailbreak). When model outputs are relatively straightforward, DABUF uses model outputs directly as the attribution targets. We evaluate the performance on two different tasks: in filtering jailbreaking training data and in identifying and mitigating gender bias. DABUF outperforms SOTA approaches by up to 7.5\% in detection AUPRC in jailbreaking scenarios, and 44.1\% in detecting gender bias. Moreover, retraining on DABUF-filtered data leads to higher model safety across experiments, underscoring its versatility in addressing a broad spectrum of unsafe data issues.




Abstract:Data attribution methods aim to quantify the influence of individual training samples on the prediction of artificial intelligence (AI) models. As training data plays an increasingly crucial role in the modern development of large-scale AI models, data attribution has found broad applications in improving AI performance and safety. However, despite a surge of new data attribution methods being developed recently, there lacks a comprehensive library that facilitates the development, benchmarking, and deployment of different data attribution methods. In this work, we introduce $\texttt{dattri}$, an open-source data attribution library that addresses the above needs. Specifically, $\texttt{dattri}$ highlights three novel design features. Firstly, $\texttt{dattri}$ proposes a unified and easy-to-use API, allowing users to integrate different data attribution methods into their PyTorch-based machine learning pipeline with a few lines of code changed. Secondly, $\texttt{dattri}$ modularizes low-level utility functions that are commonly used in data attribution methods, such as Hessian-vector product, inverse-Hessian-vector product or random projection, making it easier for researchers to develop new data attribution methods. Thirdly, $\texttt{dattri}$ provides a comprehensive benchmark framework with pre-trained models and ground truth annotations for a variety of benchmark settings, including generative AI settings. We have implemented a variety of state-of-the-art efficient data attribution methods that can be applied to large-scale neural network models, and will continuously update the library in the future. Using the developed $\texttt{dattri}$ library, we are able to perform a comprehensive and fair benchmark analysis across a wide range of data attribution methods. The source code of $\texttt{dattri}$ is available at https://github.com/TRAIS-Lab/dattri.