Abstract:Non-stationarity arises from concurrent policy updates and leads to persistent environmental fluctuations. Existing approaches like Centralized Training with Decentralized Execution (CTDE) and sequential update schemes mitigate this issue. However, since the perception of the policies of other agents remains dependent on sampling environmental interaction data, the agent essentially operates in a passive perception state. This inevitably triggers equilibrium oscillations and significantly slows the convergence speed of the system. To address this issue, we propose Gradient Realignment via Active Shared Perception (GRASP), a novel framework that defines generalized Bellman equilibrium as a stable objective for policy evolution. The core mechanism of GRASP involves utilizing the independent gradients of agents to derive a defined consensus gradient, enabling agents to actively perceive policy updates and optimize team collaboration. Theoretically, we leverage the Kakutani Fixed-Point Theorem to prove that the consensus direction $u^*$ guarantees the existence and attainability of this equilibrium. Extensive experiments on StarCraft II Multi-Agent Challenge (SMAC) and Google Research Football (GRF) demonstrate the scalability and promising performance of the framework.
Abstract:The Flexible Job Shop Problem (FJSP) is a well-studied combinatorial optimization problem with extensive applications for manufacturing and production scheduling. It involves assigning jobs to various machines to optimize criteria, such as minimizing total completion time. Current learning-based methods in this domain often rely on localized feature extraction models, limiting their capacity to capture overarching dependencies spanning operations and machines. This paper introduces an innovative architecture that harnesses Mamba, a state-space model with linear computational complexity, to facilitate comprehensive sequence modeling tailored for FJSP. In contrast to prevalent graph-attention-based frameworks that are computationally intensive for FJSP, we show our model is more efficient. Specifically, the proposed model possesses an encoder and a decoder. The encoder incorporates a dual Mamba block to extract operation and machine features separately. Additionally, we introduce an efficient cross-attention decoder to learn interactive embeddings of operations and machines. Our experimental results demonstrate that our method achieves faster solving speed and surpasses the performance of state-of-the-art learning-based methods for FJSP across various benchmarks.
Abstract:Human motion synthesis aims to generate plausible human motion sequences, which has raised widespread attention in computer animation. Recent score-based generative models (SGMs) have demonstrated impressive results on this task. However, their training process involves complex curvature trajectories, leading to unstable training process. In this paper, we propose a Deterministic-to-Stochastic Diverse Latent Feature Mapping (DSDFM) method for human motion synthesis. DSDFM consists of two stages. The first human motion reconstruction stage aims to learn the latent space distribution of human motions. The second diverse motion generation stage aims to build connections between the Gaussian distribution and the latent space distribution of human motions, thereby enhancing the diversity and accuracy of the generated human motions. This stage is achieved by the designed deterministic feature mapping procedure with DerODE and stochastic diverse output generation procedure with DivSDE.DSDFM is easy to train compared to previous SGMs-based methods and can enhance diversity without introducing additional training parameters.Through qualitative and quantitative experiments, DSDFM achieves state-of-the-art results surpassing the latest methods, validating its superiority in human motion synthesis.




Abstract:In recent years, the field of Transfer Evolutionary Optimization (TrEO) has witnessed substantial growth, fueled by the realization of its profound impact on solving complex problems. Numerous algorithms have emerged to address the challenges posed by transferring knowledge between tasks. However, the recently highlighted ``no free lunch theorem'' in transfer optimization clarifies that no single algorithm reigns supreme across diverse problem types. This paper addresses this conundrum by adopting a benchmarking approach to evaluate the performance of various TrEO algorithms in realistic scenarios. Despite the growing methodological focus on transfer optimization, existing benchmark problems often fall short due to inadequate design, predominantly featuring synthetic problems that lack real-world relevance. This paper pioneers a practical TrEO benchmark suite, integrating problems from the literature categorized based on the three essential aspects of Big Source Task-Instances: volume, variety, and velocity. Our primary objective is to provide a comprehensive analysis of existing TrEO algorithms and pave the way for the development of new approaches to tackle practical challenges. By introducing realistic benchmarks that embody the three dimensions of volume, variety, and velocity, we aim to foster a deeper understanding of algorithmic performance in the face of diverse and complex transfer scenarios. This benchmark suite is poised to serve as a valuable resource for researchers, facilitating the refinement and advancement of TrEO algorithms in the pursuit of solving real-world problems.
Abstract:In this paper, we scale evolutionary algorithms to high-dimensional optimization problems that deceptively possess a low effective dimensionality (certain dimensions do not significantly affect the objective function). To this end, an instantiation of the multiform optimization paradigm is presented, where multiple low-dimensional counterparts of a target high-dimensional task are generated via random embeddings. Since the exact relationship between the auxiliary (low-dimensional) tasks and the target is a priori unknown, a multiform evolutionary algorithm is developed for unifying all formulations into a single multi-task setting. The resultant joint optimization enables the target task to efficiently reuse solutions evolved across various low-dimensional searches via cross-form genetic transfers, hence speeding up overall convergence characteristics. To validate the overall efficacy of our proposed algorithmic framework, comprehensive experimental studies are carried out on well-known continuous benchmark functions as well as a set of practical problems in the hyper-parameter tuning of machine learning models and deep learning models in classification tasks and Predator-Prey games, respectively.




Abstract:Until recently, the potential to transfer evolved skills across distinct optimization problem instances (or tasks) was seldom explored in evolutionary computation. The concept of evolutionary multitasking (EMT) fills this gap. It unlocks a population's implicit parallelism to jointly solve a set of tasks, hence creating avenues for skills transfer between them. Despite it being early days, the idea of EMT has begun to show promise in a range of real-world applications. In the backdrop of recent advances, the contribution of this paper is twofold. First, we present a review of several application-oriented explorations of EMT in the literature, assimilating them into half a dozen broad categories according to their respective application areas. Each category elaborates fundamental motivations to multitask, and contains a representative experimental study (referred from the literature). Second, we present a set of recipes by which general problem formulations of practical interest, those that cut across different disciplines, could be transformed in the new light of EMT. We intend our discussions to underscore the practical utility of existing EMT methods, and spark future research toward novel algorithms crafted for real-world deployment.




Abstract:In recent years, to improve the evolutionary algorithms used to solve optimization problems involving a large number of decision variables, many attempts have been made to simplify the problem solution space of a given problem for the evolutionary search. In the literature, the existing approaches can generally be categorized as decomposition-based methods and dimension-reduction-based methods. The former decomposes a large-scale problem into several smaller subproblems, while the latter transforms the original high-dimensional solution space into a low-dimensional space. However, it is worth noting that a given large-scale optimization problem may not always be decomposable, and it is also difficult to guarantee that the global optimum of the original problem is preserved in the reduced low-dimensional problem space. This paper thus proposes a new search paradigm, namely the multi-space evolutionary search, to enhance the existing evolutionary search methods for solving large-scale optimization problems. In contrast to existing approaches that perform an evolutionary search in a single search space, the proposed paradigm is designed to conduct a search in multiple solution spaces that are derived from the given problem, each possessing a unique landscape. The proposed paradigm makes no assumptions about the large-scale optimization problem of interest, such as that the problem is decomposable or that a certain relationship exists among the decision variables. To verify the efficacy of the proposed paradigm, comprehensive empirical studies in comparison to four state-of-the-art algorithms were conducted using the CEC2013 large-scale benchmark problems.




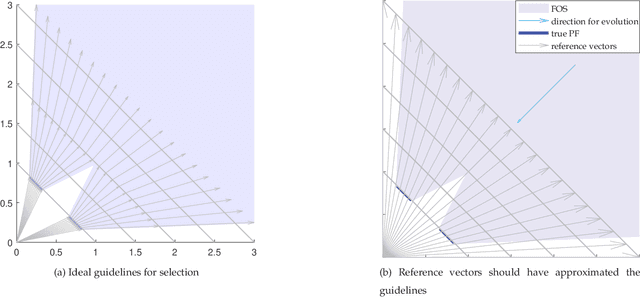
Abstract:The infeasible parts of the objective space in difficult many-objective optimization problems cause trouble for evolutionary algorithms. This paper proposes a reference vector based algorithm which uses two interacting engines to adapt the reference vectors and to evolve the population towards the true Pareto Front (PF) s.t. the reference vectors are always evenly distributed within the current PF to provide appropriate guidance for selection. The current PF is tracked by maintaining an archive of undominated individuals, and adaptation of reference vectors is conducted with the help of another archive that contains layers of reference vectors corresponding to different density. Experimental results show the expected characteristics and competitive performance of the proposed algorithm TEEA.