


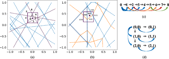
Abstract:Although neural networks (NNs) with ReLU activation functions have found success in a wide range of applications, their adoption in risk-sensitive settings has been limited by the concerns on robustness and interpretability. Previous works to examine robustness and to improve interpretability partially exploited the piecewise linear function form of ReLU NNs. In this paper, we explore the unique topological structure that ReLU NNs create in the input space, identifying the adjacency among the partitioned local polytopes and developing a traversing algorithm based on this adjacency. Our polytope traversing algorithm can be adapted to verify a wide range of network properties related to robustness and interpretability, providing an unified approach to examine the network behavior. As the traversing algorithm explicitly visits all local polytopes, it returns a clear and full picture of the network behavior within the traversed region. The time and space complexity of the traversing algorithm is determined by the number of a ReLU NN's partitioning hyperplanes passing through the traversing region.




Abstract:Principal component analysis (PCA) is a well-known linear dimension-reduction method that has been widely used in data analysis and modeling. It is an unsupervised learning technique that identifies a suitable linear subspace for the input variable that contains maximal variation and preserves as much information as possible. PCA has also been used in prediction models where the original, high-dimensional space of predictors is reduced to a smaller, more manageable, set before conducting regression analysis. However, this approach does not incorporate information in the response during the dimension-reduction stage and hence can have poor predictive performance. To address this concern, several supervised linear dimension-reduction techniques have been proposed in the literature. This paper reviews selected techniques, extends some of them, and compares their performance through simulations. Two of these techniques, partial least squares (PLS) and least-squares PCA (LSPCA), consistently outperform the others in this study.




Abstract:We demonstrate an application of risk-sensitive reinforcement learning to optimizing execution in limit order book markets. We represent taking order execution decisions based on limit order book knowledge by a Markov Decision Process; and train a trading agent in a market simulator, which emulates multi-agent interaction by synthesizing market response to our agent's execution decisions from historical data. Due to market impact, executing high volume orders can incur significant cost. We learn trading signals from market microstructure in presence of simulated market response and derive explainable decision-tree-based execution policies using risk-sensitive Q-learning to minimize execution cost subject to constraints on cost variance.



Abstract:Deep learning models have significantly improved the visual quality and accuracy on compressive sensing recovery. In this paper, we propose an algorithm for signal reconstruction from compressed measurements with image priors captured by a generative model. We search and constrain on latent variable space to make the method stable when the number of compressed measurements is extremely limited. We show that, by exploiting certain structures of the latent variables, the proposed method produces improved reconstruction accuracy and preserves realistic and non-smooth features in the image. Our algorithm achieves high computation speed by projecting between the original signal space and the latent variable space in an alternating fashion.




Abstract:We propose a novel appearance-based gesture recognition algorithm using compressed domain signal processing techniques. Gesture features are extracted directly from the compressed measurements, which are the block averages and the coded linear combinations of the image sensor's pixel values. We also improve both the computational efficiency and the memory requirement of the previous DTW-based K-NN gesture classifiers. Both simulation testing and hardware implementation strongly support the proposed algorithm.




Abstract:In this paper we propose an energy-efficient camera-based gesture recognition system powered by light energy for "always on" applications. Low energy consumption is achieved by directly extracting gesture features from the compressed measurements, which are the block averages and the linear combinations of the image sensor's pixel values. The gestures are recognized using a nearest-neighbour (NN) classifier followed by Dynamic Time Warping (DTW). The system has been implemented on an Analog Devices Black Fin ULP vision processor and powered by PV cells whose output is regulated by TI's DC-DC buck converter with Maximum Power Point Tracking (MPPT). Measured data reveals that with only 400 compressed measurements (768x compression ratio) per frame, the system is able to recognize key wake-up gestures with greater than 80% accuracy and only 95mJ of energy per frame. Owing to its fully self-powered operation, the proposed system can find wide applications in "always-on" vision systems such as in surveillance, robotics and consumer electronics with touch-less operation.