



Abstract:Understanding the alignment between large language models (LLMs) and human brain activity can reveal computational principles underlying language processing. We introduce a fine-grained input attribution method to identify the specific words most important for brain-LLM alignment, and leverage it to study a contentious research question about brain-LLM alignment: the relationship between brain alignment (BA) and next-word prediction (NWP). Our findings reveal that BA and NWP rely on largely distinct word subsets: NWP exhibits recency and primacy biases with a focus on syntax, while BA prioritizes semantic and discourse-level information with a more targeted recency effect. This work advances our understanding of how LLMs relate to human language processing and highlights differences in feature reliance between BA and NWP. Beyond this study, our attribution method can be broadly applied to explore the cognitive relevance of model predictions in diverse language processing tasks.




Abstract:Non-markovian Reinforcement Learning (RL) tasks are very hard to solve, because agents must consider the entire history of state-action pairs to act rationally in the environment. Most works use symbolic formalisms (as Linear Temporal Logic or automata) to specify the temporally-extended task. These approaches only work in finite and discrete state environments or continuous problems for which a mapping between the raw state and a symbolic interpretation is known as a symbol grounding (SG) function. Here, we define Neural Reward Machines (NRM), an automata-based neurosymbolic framework that can be used for both reasoning and learning in non-symbolic non-markovian RL domains, which is based on the probabilistic relaxation of Moore Machines. We combine RL with semisupervised symbol grounding (SSSG) and we show that NRMs can exploit high-level symbolic knowledge in non-symbolic environments without any knowledge of the SG function, outperforming Deep RL methods which cannot incorporate prior knowledge. Moreover, we advance the research in SSSG, proposing an algorithm for analysing the groundability of temporal specifications, which is more efficient than baseline techniques of a factor $10^3$.
Abstract:In this work, we introduce DeepDFA, a novel approach to identifying Deterministic Finite Automata (DFAs) from traces, harnessing a differentiable yet discrete model. Inspired by both the probabilistic relaxation of DFAs and Recurrent Neural Networks (RNNs), our model offers interpretability post-training, alongside reduced complexity and enhanced training efficiency compared to traditional RNNs. Moreover, by leveraging gradient-based optimization, our method surpasses combinatorial approaches in both scalability and noise resilience. Validation experiments conducted on target regular languages of varying size and complexity demonstrate that our approach is accurate, fast, and robust to noise in both the input symbols and the output labels of training data, integrating the strengths of both logical grammar induction and deep learning.
Abstract:Compositional Explanations is a method for identifying logical formulas of concepts that approximate the neurons' behavior. However, these explanations are linked to the small spectrum of neuron activations (i.e., the highest ones) used to check the alignment, thus lacking completeness. In this paper, we propose a generalization, called Clustered Compositional Explanations, that combines Compositional Explanations with clustering and a novel search heuristic to approximate a broader spectrum of the neurons' behavior. We define and address the problems connected to the application of these methods to multiple ranges of activations, analyze the insights retrievable by using our algorithm, and propose desiderata qualities that can be used to study the explanations returned by different algorithms.




Abstract:The recent success of deep learning models in solving complex problems and in different domains has increased interest in understanding what they learn. Therefore, different approaches have been employed to explain these models, one of which uses human-understandable concepts as explanations. Two examples of methods that use this approach are Network Dissection and Compositional explanations. The former explains units using atomic concepts, while the latter makes explanations more expressive, replacing atomic concepts with logical forms. While intuitively, logical forms are more informative than atomic concepts, it is not clear how to quantify this improvement, and their evaluation is often based on the same metric that is optimized during the search-process and on the usage of hyper-parameters to be tuned. In this paper, we propose to use as evaluation metric the Detection Accuracy, which measures units' consistency of detection of their assigned explanations. We show that this metric (1) evaluates explanations of different lengths effectively, (2) can be used as a stopping criterion for the compositional explanation search, eliminating the explanation length hyper-parameter, and (3) exposes new specialized units whose length 1 explanations are the perceptual abstractions of their longer explanations.




Abstract:Due to their black-box and data-hungry nature, deep learning techniques are not yet widely adopted for real-world applications in critical domains, like healthcare and justice. This paper presents Memory Wrap, a plug-and-play extension to any image classification model. Memory Wrap improves both data-efficiency and model interpretability, adopting a content-attention mechanism between the input and some memories of past training samples. We show that Memory Wrap outperforms standard classifiers when it learns from a limited set of data, and it reaches comparable performance when it learns from the full dataset. We discuss how its structure and content-attention mechanisms make predictions interpretable, compared to standard classifiers. To this end, we both show a method to build explanations by examples and counterfactuals, based on the memory content, and how to exploit them to get insights about its decision process. We test our approach on image classification tasks using several architectures on three different datasets, namely CIFAR10, SVHN, and CINIC10.




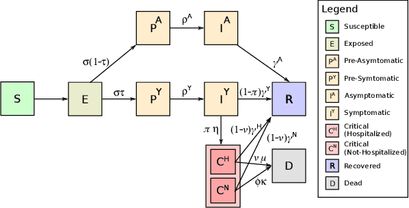
Abstract:The year 2020 has seen the COVID-19 virus lead to one of the worst global pandemics in history. As a result, governments around the world are faced with the challenge of protecting public health, while keeping the economy running to the greatest extent possible. Epidemiological models provide insight into the spread of these types of diseases and predict the effects of possible intervention policies. However, to date,the even the most data-driven intervention policies rely on heuristics. In this paper, we study how reinforcement learning (RL) can be used to optimize mitigation policies that minimize the economic impact without overwhelming the hospital capacity. Our main contributions are (1) a novel agent-based pandemic simulator which, unlike traditional models, is able to model fine-grained interactions among people at specific locations in a community; and (2) an RL-based methodology for optimizing fine-grained mitigation policies within this simulator. Our results validate both the overall simulator behavior and the learned policies under realistic conditions.




Abstract:Research on reinforcement learning has demonstrated promising results in manifold applications and domains. Still, efficiently learning effective robot behaviors is very difficult, due to unstructured scenarios, high uncertainties, and large state dimensionality (e.g. multi-agent systems or hyper-redundant robots). To alleviate this problem, we present DOP, a deep model-based reinforcement learning algorithm, which exploits action values to both (1) guide the exploration of the state space and (2) plan effective policies. Specifically, we exploit deep neural networks to learn Q-functions that are used to attack the curse of dimensionality during a Monte-Carlo tree search. Our algorithm, in fact, constructs upper confidence bounds on the learned value function to select actions optimistically. We implement and evaluate DOP on different scenarios: (1) a cooperative navigation problem, (2) a fetching task for a 7-DOF KUKA robot, and (3) a human-robot handover with a humanoid robot (both in simulation and real). The obtained results show the effectiveness of DOP in the chosen applications, where action values drive the exploration and reduce the computational demand of the planning process while achieving good performance.




Abstract:Research on multi-robot systems has demonstrated promising results in manifold applications and domains. Still, efficiently learning an effective robot behaviors is very difficult, due to unstructured scenarios, high uncertainties, and large state dimensionality (e.g. hyper-redundant and groups of robot). To alleviate this problem, we present Q-CP a cooperative model-based reinforcement learning algorithm, which exploits action values to both (1) guide the exploration of the state space and (2) generate effective policies. Specifically, we exploit Q-learning to attack the curse-of-dimensionality in the iterations of a Monte-Carlo Tree Search. We implement and evaluate Q-CP on different stochastic cooperative (general-sum) games: (1) a simple cooperative navigation problem among 3 robots, (2) a cooperation scenario between a pair of KUKA YouBots performing hand-overs, and (3) a coordination task between two mobile robots entering a door. The obtained results show the effectiveness of Q-CP in the chosen applications, where action values drive the exploration and reduce the computational demand of the planning process while achieving good performance.




Abstract:Human-robot handovers are characterized by high uncertainty and poor structure of the problem that make them difficult tasks. While machine learning methods have shown promising results, their application to problems with large state dimensionality, such as in the case of humanoid robots, is still limited. Additionally, by using these methods and during the interaction with the human operator, no guarantees can be obtained on the correct interpretation of spatial constraints (e.g., from social rules). In this paper, we present Policy Improvement with Spatio-Temporal Affordance Maps -- $\pi$-STAM, a novel iterative algorithm to learn spatial affordances and generate robot behaviors. Our goal consists in generating a policy that adapts to the unknown action semantics by using affordances. In this way, while learning to perform a human-robot handover task, we can (1) efficiently generate good policies with few training episodes, and (2) easily encode action semantics and, if available, enforce prior knowledge in it. We experimentally validate our approach both in simulation and on a real NAO robot whose task consists in taking an object from the hands of a human. The obtained results show that our algorithm obtains a good policy while reducing the computational load and time duration of the learning process.