



Abstract:In this paper, we investigate 3-D localization and frequency synchronization with multiple reconfigurable intelligent surfaces (RISs) in the presence of carrier frequency offset (CFO) for a stationary user equipment (UE). In line with the 6G goals of sustainability and efficiency, we focus on a frugal communication scenario with minimal spatial and spectral resources (i.e., narrowband single-input single-ouput system), considering both the presence and blockage of the line-of-sight (LoS) path between the base station (BS) and the UE. We design a generalized likelihood ratio test (GLRT)-based LoS detector, channel parameter estimation and localization algorithms, with varying complexity. To verify the efficiency of our estimators, we compare the root mean-squared error (RMSE) to the Cram\'er- Rao bound (CRB) of the unknown parameters. We also evaluate the sensitivity of our algorithms to the presence of uncontrolled multi-path components (MPC) and various levels of CFO. Simulation results showcase the effectiveness of the proposed algorithms under minimal hardware and spectral requirements, and a wide range of operating conditions, thereby confirming the viability of RIS-aided frugal localization in 6G scenarios.
Abstract:The technology of reconfigurable intelligent surfaces (RIS) has been showing promising potential in a variety of applications relying on Beyond-5G networks. Reconfigurable intelligent surface (RIS) can indeed provide fine channel flexibility to improve communication quality of service (QoS) or restore localization capabilities in challenging operating conditions, while conventional approaches fail (e.g., due to insufficient infrastructure, severe radio obstructions). In this paper, we tackle a general low-complexity approach for optimizing the precoders that control such reflective surfaces under hardware constraints. More specifically, it allows the approximation of any desired beam pattern using a pre-characterized look-up table of feasible complex reflection coefficients for each RIS element. The proposed method is first evaluated in terms of beam fidelity for several examples of RIS hardware prototypes. Then, by means of a theoretical bounds analysis, we examine the impact of RIS beams approximation on the performance of near-field downlink positioning in non-line-of-sight conditions, while considering several RIS phase profiles (incl. directional, random and localization-optimal designs). Simulation results in a canonical scenario illustrate how the introduced RIS profile optimization scheme can reliably produce the desired RIS beams under realistic hardware limitations. They also highlight its sensitivity to both the underlying hardware characteristics and the required beam kinds in relation to the specificity of RIS-aided localization applications.
Abstract:In the upcoming sixth generation (6G) of wireless communication systems, reconfigurable intelligent surfaces~(RISs) are regarded as one of the promising technological enablers, which can provide programmable signal propagation. Therefore, simultaneous radio localization and mapping(SLAM) with RISs appears as an emerging research direction within the 6G ecosystem. In this paper, we propose a novel framework of RIS-enabled radio SLAM for wireless operation without the intervention of access points (APs). We first design the RIS phase profiles leveraging prior information for the user equipment~(UE), such that they uniformly illuminate the angular sector where the UE is probabilistically located. Second, we modify the marginal Poisson multi-Bernoulli SLAM filter and estimate the UE state and landmarks, which enables efficient mapping of the radio propagation environment. Third, we derive the theoretical Cram\'er-Rao lower bounds on the estimators for the channel parameters and the UE state. We finally evaluate the performance of the proposed method under scenarios with a limited number of transmissions, taking into account the channel coherence time. Our results demonstrate that the RIS enables solving the radio SLAM problem with zero APs, and that the consideration of the Doppler shift contributes to improving the UE speed estimates.




Abstract:Reconfigurable intelligent surface (RIS) is a promising technological enabler for the 6th generation (6G) of wireless systems with applications in localization and communication. In this paper, we consider the problem of positioning a single-antenna user in 3D space based on the received signal from a single-antenna base station and reflected signal from an RIS by taking into account the mobility of the user and spatial-wideband (WB) effects. To do so, we first derive the spatial-WB channel model under the far-field assumption, for orthogonal frequency-division multiplexing signal transmission with the user having a constant velocity. We derive the Cramer Rao bounds to serve as a benchmark. Furthermore, we devise a low-complexity estimator that attains the bounds in high signal-to-noise ratios. Our estimator neglects the spatial-WB effects and deals with the user mobility by estimating the radial velocities and compensating for their effects in an iterative fashion. We show that the spatial-WB effects can degrade the localization accuracy for large RIS sizes and large signal bandwidths as the direction of arrival or departure deviate from the RIS normal. In particular, for a 64X64 RIS, the proposed estimator is resilient against the spatial-WB effects up to 140 MHz bandwidth. Regarding user mobility, our results suggest that the velocity of the user influences neither the bounds nor the accuracy of our estimator. Specifically, we observe that the state of the user with a high speed (42 m/s) can be estimated virtually with the same accuracy as a static user.




Abstract:Reconfigurable intelligent surfaces (RISs) have tremendous potential for both communication and localization. While communication benefits are now well-understood, the breakthrough nature of the technology may well lie in its capability to provide location estimates when conventional approaches fail, (e.g., due to insufficient available infrastructure). A limited number of example scenarios have been identified, but an overview of possible RIS-enabled localization scenarios is still missing from the literature. In this article, we present such an overview and extend localization to include even user orientation or velocity. In particular, we consider localization scenarios with various numbers of RISs, single- or multi-antenna base stations, narrowband or wideband transmissions, and near- and farfield operation. Furthermore, we provide a short description of the general RIS operation together with radio localization fundamentals, experimental validation of a localization scheme with two RISs, as well as key research directions and open challenges specific to RIS-enabled localization and sensing.




Abstract:The rising concept of reconfigurable intelligent surface (RIS) has promising potential for Beyond 5G localization applications. We herein investigate different phase profile designs at a reflective RIS, which enable non-line-of-sight positioning in nearfield from downlink single antenna transmissions. We first derive the closed-form expressions of the corresponding Fisher information matrix (FIM) and position error bound (PEB). Accordingly, we then propose a new localization-optimal phase profile design, assuming prior knowledge of the user equipment location. Numerical simulations in a canonical scenario show that our proposal outperforms conventional RIS random and directional beam codebook designs in terms of PEB. We also illustrate the four beams allocated at the RIS (i.e., one directional beam, along with its derivatives with respect to space dimensions) and show how their relative weights according to the optimal solution can be practically implemented through time sharing (i.e., considering feasible beams sequentially).




Abstract:Smart radio environments (SREs) are seen as a key rising concept of next generation wireless networks, where propagation channels between transmitters and receivers are purposely controlled. One promising approach to achieve such channel flexibility relies on semipassive reflective Reconfigurable intelligent surfaces (RISs), which can shape the bouncing multipath signals for enhancing communication quality of service, making localization feasible in adverse operating conditions, or reducing unwanted electromagnetic emissions. This paper introduces a generic framework that aims at optimizing the end-to-end precoder controlled by RISs, so that arbitrary beam patterns can be generated, given a predefined lookup table of RIS element-wise complex reflection coefficients. This method is validated and illustrated for different targeted beam patterns in both the far-field and the near-field regimes, while considering the prior characterization of real-life RIS hardware prototypes. These results show how, and to which extent, RIS configuration optimization can approximate the desired beams under realistic hardware limitations and low-complexity implementation practicability, or conversely, which RIS elements' lookup tables would be more suitable. The latter can provide useful guidelines for future RIS hardware designs.




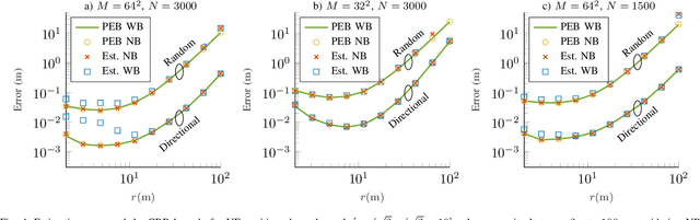
Abstract:Reconfigurable intelligent surfaces (RISs) are one of the most promising technological enablers of the next (6th) generation of wireless systems. In this paper, we introduce a novel use-case of the RIS technology in radio localization, which is enabling the user to estimate its own position via transmitting orthogonal frequency-division multiplexing (OFDM) pilots and processing the signal reflected from the RIS. We demonstrate that user localization in this scenario is possible by deriving Cramer-Rao lower bounds on the positioning error and devising a low-complexity position estimation algorithm. We consider random and directional RIS phase profiles and apply a specific temporal coding to them, such that the reflected signal from the RIS can be separated from the uncontrolled multipath. Finally, we assess the performance of our position estimator for an example system and show that the proposed algorithm can attain the derived bound at high signal-to-noise ratio values.




Abstract:Reconfigurable intelligent surfaces (RISs) have the potential to enable user localization in scenarios where traditional approaches fail. Building on prior work in single-antenna RIS-enabled localization, we investigate the potential to exploit wavefront curvature in geometric near-field conditions. Via a Fisher information analysis, we demonstrate that while near-field improves localization accuracy mostly at short distances when the line-of-sight (LoS) path is present, it could still provide reasonable performance when this path is blocked by relying on a single RIS reflection.




Abstract:Upcoming beyond fifth generation (5G) communications systems aim at further enhancing key performance indicators and fully supporting brand new use cases by embracing emerging techniques, e.g., reconfigurable intelligent surface (RIS), integrated communication, localization, and sensing, and mmWave/THz communications. The wireless intelligence empowered by state-of-the-art artificial intelligence techniques has been widely considered at the transceivers, and now the paradigm is deemed to be shifted to the smart control of radio propagation environment by virtue of RISs. In this article, we argue that to harness the full potential of RISs, localization and communication must be tightly coupled. This is in sharp contrast to 5G and earlier generations, where localization was a minor additional service. To support this, we first introduce the fundamentals of RIS mmWave channel modeling, followed by RIS channel state information acquisition and link establishment. Then, we deal with the connection between localization and communications, from a separate and joint perspective.