



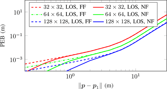
Reconfigurable intelligent surfaces (RISs) have the potential to enable user localization in scenarios where traditional approaches fail. Building on prior work in single-antenna RIS-enabled localization, we investigate the potential to exploit wavefront curvature in geometric near-field conditions. Via a Fisher information analysis, we demonstrate that while near-field improves localization accuracy mostly at short distances when the line-of-sight (LoS) path is present, it could still provide reasonable performance when this path is blocked by relying on a single RIS reflection.