



Abstract:Sequential recommendation has garnered significant attention for its ability to capture dynamic preferences by mining users' historical interaction data. Given that users' complex and intertwined periodic preferences are difficult to disentangle in the time domain, recent research is exploring frequency domain analysis to identify these hidden patterns. However, current frequency-domain-based methods suffer from two key limitations: (i) They primarily employ static filters with fixed characteristics, overlooking the personalized nature of behavioral patterns; (ii) While the global discrete Fourier transform excels at modeling long-range dependencies, it can blur non-stationary signals and short-term fluctuations. To overcome these limitations, we propose a novel method called Wavelet Enhanced Adaptive Frequency Filter for Sequential Recommendation. Specifically, it consists of two vital modules: dynamic frequency-domain filtering and wavelet feature enhancement. The former is used to dynamically adjust filtering operations based on behavioral sequences to extract personalized global information, and the latter integrates wavelet transform to reconstruct sequences, enhancing blurred non-stationary signals and short-term fluctuations. Finally, these two modules work to achieve comprehensive performance and efficiency optimization in long sequential recommendation scenarios. Extensive experiments on four widely-used benchmark datasets demonstrate the superiority of our work.




Abstract:Sequential Recommendation (SR) has received increasing attention due to its ability to capture user dynamic preferences. Recently, Contrastive Learning (CL) provides an effective approach for sequential recommendation by learning invariance from different views of an input. However, most existing data or model augmentation methods may destroy semantic sequential interaction characteristics and often rely on the hand-crafted property of their contrastive view-generation strategies. In this paper, we propose a Meta-optimized Seq2Seq Generator and Contrastive Learning (Meta-SGCL) for sequential recommendation, which applies the meta-optimized two-step training strategy to adaptive generate contrastive views. Specifically, Meta-SGCL first introduces a simple yet effective augmentation method called Sequence-to-Sequence (Seq2Seq) generator, which treats the Variational AutoEncoders (VAE) as the view generator and can constitute contrastive views while preserving the original sequence's semantics. Next, the model employs a meta-optimized two-step training strategy, which aims to adaptively generate contrastive views without relying on manually designed view-generation techniques. Finally, we evaluate our proposed method Meta-SGCL using three public real-world datasets. Compared with the state-of-the-art methods, our experimental results demonstrate the effectiveness of our model and the code is available.

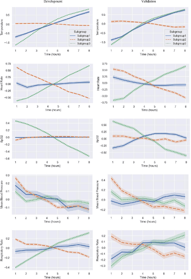
Abstract:This study employed the MIMIC-IV database as data source to investigate the use of dynamic, high-frequency, multivariate time-series vital signs data, including temperature, heart rate, mean blood pressure, respiratory rate, and SpO2, monitored first 8 hours data in the ICU stay. Various clustering algorithms were compared, and an end-to-end multivariate time series clustering system called Time2Feat, combined with K-Means, was chosen as the most effective method to cluster patients in the ICU. In clustering analysis, data of 8,080 patients admitted between 2008 and 2016 was used for model development and 2,038 patients admitted between 2017 and 2019 for model validation. By analyzing the differences in clinical mortality prognosis among different categories, varying risks of ICU mortality and hospital mortality were found between different subgroups. Furthermore, the study visualized the trajectory of vital signs changes. The findings of this study provide valuable insights into the potential use of multivariate time-series clustering systems in patient management and monitoring in the ICU setting.




Abstract:Sequential recommendation (SR) aims to model user preferences by capturing behavior patterns from their item historical interaction data. Most existing methods model user preference in the time domain, omitting the fact that users' behaviors are also influenced by various frequency patterns that are difficult to separate in the entangled chronological items. However, few attempts have been made to train SR in the frequency domain, and it is still unclear how to use the frequency components to learn an appropriate representation for the user. To solve this problem, we shift the viewpoint to the frequency domain and propose a novel Contrastive Enhanced \textbf{SLI}de Filter \textbf{M}ixEr for Sequential \textbf{Rec}ommendation, named \textbf{SLIME4Rec}. Specifically, we design a frequency ramp structure to allow the learnable filter slide on the frequency spectrums across different layers to capture different frequency patterns. Moreover, a Dynamic Frequency Selection (DFS) and a Static Frequency Split (SFS) module are proposed to replace the self-attention module for effectively extracting frequency information in two ways. DFS is used to select helpful frequency components dynamically, and SFS is combined with the dynamic frequency selection module to provide a more fine-grained frequency division. Finally, contrastive learning is utilized to improve the quality of user embedding learned from the frequency domain. Extensive experiments conducted on five widely used benchmark datasets demonstrate our proposed model performs significantly better than the state-of-the-art approaches. Our code is available at https://github.com/sudaada/SLIME4Rec.
Abstract:Contrastive Learning (CL) performances as a rising approach to address the challenge of sparse and noisy recommendation data. Although having achieved promising results, most existing CL methods only perform either hand-crafted data or model augmentation for generating contrastive pairs to find a proper augmentation operation for different datasets, which makes the model hard to generalize. Additionally, since insufficient input data may lead the encoder to learn collapsed embeddings, these CL methods expect a relatively large number of training data (e.g., large batch size or memory bank) to contrast. However, not all contrastive pairs are always informative and discriminative enough for the training processing. Therefore, a more general CL-based recommendation model called Meta-optimized Contrastive Learning for sequential Recommendation (MCLRec) is proposed in this work. By applying both data augmentation and learnable model augmentation operations, this work innovates the standard CL framework by contrasting data and model augmented views for adaptively capturing the informative features hidden in stochastic data augmentation. Moreover, MCLRec utilizes a meta-learning manner to guide the updating of the model augmenters, which helps to improve the quality of contrastive pairs without enlarging the amount of input data. Finally, a contrastive regularization term is considered to encourage the augmentation model to generate more informative augmented views and avoid too similar contrastive pairs within the meta updating. The experimental results on commonly used datasets validate the effectiveness of MCLRec.