Abstract:Should LLM reasoning live in a separate module, or within a single model's forward pass and representational space? We study dual-architecture latent reasoning, where a fluent Base exchanges latent messages with a Coprocessor, and test two hypotheses aimed at improving latent communication over Liu et al. (2024): (H1) increase channel capacity; (H2) learn communication via joint finetuning. Under matched latent-token budgets on GPT-2 and Qwen-3, H2 is consistently strongest while H1 yields modest gains. A unified soft-embedding baseline, a single model with the same forward pass and shared representations, using the same latent-token budget, nearly matches H2 and surpasses H1, suggesting current dual designs mostly add compute rather than qualitatively improving reasoning. Across GSM8K, ProsQA, and a Countdown stress test with increasing branching factor, scaling the latent-token budget beyond small values fails to improve robustness. Latent analyses show overlapping subspaces with limited specialization, consistent with weak reasoning gains. We conclude dual-model latent reasoning remains promising in principle, but likely requires objectives and communication mechanisms that explicitly shape latent spaces for algorithmic planning.




Abstract:Establishing a unified theory of cognition has been a major goal of psychology. While there have been previous attempts to instantiate such theories by building computational models, we currently do not have one model that captures the human mind in its entirety. Here we introduce Centaur, a computational model that can predict and simulate human behavior in any experiment expressible in natural language. We derived Centaur by finetuning a state-of-the-art language model on a novel, large-scale data set called Psych-101. Psych-101 reaches an unprecedented scale, covering trial-by-trial data from over 60,000 participants performing over 10,000,000 choices in 160 experiments. Centaur not only captures the behavior of held-out participants better than existing cognitive models, but also generalizes to new cover stories, structural task modifications, and entirely new domains. Furthermore, we find that the model's internal representations become more aligned with human neural activity after finetuning. Taken together, Centaur is the first real candidate for a unified model of human cognition. We anticipate that it will have a disruptive impact on the cognitive sciences, challenging the existing paradigm for developing computational models.




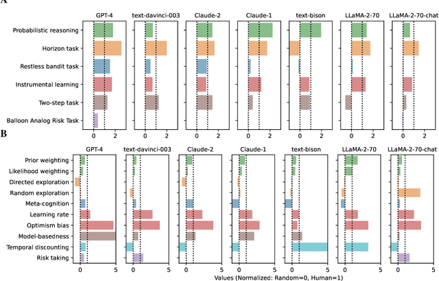
Abstract:Large language models (LLMs) have significantly advanced the field of artificial intelligence. Yet, evaluating them comprehensively remains challenging. We argue that this is partly due to the predominant focus on performance metrics in most benchmarks. This paper introduces CogBench, a benchmark that includes ten behavioral metrics derived from seven cognitive psychology experiments. This novel approach offers a toolkit for phenotyping LLMs' behavior. We apply CogBench to 35 LLMs, yielding a rich and diverse dataset. We analyze this data using statistical multilevel modeling techniques, accounting for the nested dependencies among fine-tuned versions of specific LLMs. Our study highlights the crucial role of model size and reinforcement learning from human feedback (RLHF) in improving performance and aligning with human behavior. Interestingly, we find that open-source models are less risk-prone than proprietary models and that fine-tuning on code does not necessarily enhance LLMs' behavior. Finally, we explore the effects of prompt-engineering techniques. We discover that chain-of-thought prompting improves probabilistic reasoning, while take-a-step-back prompting fosters model-based behaviors.
Abstract:Ecological rationality refers to the notion that humans are rational agents adapted to their environment. However, testing this theory remains challenging due to two reasons: the difficulty in defining what tasks are ecologically valid and building rational models for these tasks. In this work, we demonstrate that large language models can generate cognitive tasks, specifically category learning tasks, that match the statistics of real-world tasks, thereby addressing the first challenge. We tackle the second challenge by deriving rational agents adapted to these tasks using the framework of meta-learning, leading to a class of models called ecologically rational meta-learned inference (ERMI). ERMI quantitatively explains human data better than seven other cognitive models in two different experiments. It additionally matches human behavior on a qualitative level: (1) it finds the same tasks difficult that humans find difficult, (2) it becomes more reliant on an exemplar-based strategy for assigning categories with learning, and (3) it generalizes to unseen stimuli in a human-like way. Furthermore, we show that ERMI's ecologically valid priors allow it to achieve state-of-the-art performance on the OpenML-CC18 classification benchmark.
Abstract:Large Language Models (LLMs) are transforming society and permeating into diverse applications. As a result, LLMs will frequently interact with us and other agents. It is, therefore, of great societal value to understand how LLMs behave in interactive social settings. Here, we propose to use behavioral game theory to study LLM's cooperation and coordination behavior. To do so, we let different LLMs (GPT-3, GPT-3.5, and GPT-4) play finitely repeated games with each other and with other, human-like strategies. Our results show that LLMs generally perform well in such tasks and also uncover persistent behavioral signatures. In a large set of two players-two strategies games, we find that LLMs are particularly good at games where valuing their own self-interest pays off, like the iterated Prisoner's Dilemma family. However, they behave sub-optimally in games that require coordination. We, therefore, further focus on two games from these distinct families. In the canonical iterated Prisoner's Dilemma, we find that GPT-4 acts particularly unforgivingly, always defecting after another agent has defected only once. In the Battle of the Sexes, we find that GPT-4 cannot match the behavior of the simple convention to alternate between options. We verify that these behavioral signatures are stable across robustness checks. Finally, we show how GPT-4's behavior can be modified by providing further information about the other player as well as by asking it to predict the other player's actions before making a choice. These results enrich our understanding of LLM's social behavior and pave the way for a behavioral game theory for machines.
Abstract:Large language models have shown tremendous performance in a variety of tasks. In-context learning -- the ability to improve at a task after being provided with a number of demonstrations -- is seen as one of the main contributors to their success. In the present paper, we demonstrate that the in-context learning abilities of large language models can be recursively improved via in-context learning itself. We coin this phenomenon meta-in-context learning. Looking at two idealized domains, a one-dimensional regression task and a two-armed bandit task, we show that meta-in-context learning adaptively reshapes a large language model's priors over expected tasks. Furthermore, we find that meta-in-context learning modifies the in-context learning strategies of such models. Finally, we extend our approach to a benchmark of real-world regression problems where we observe competitive performance to traditional learning algorithms. Taken together, our work improves our understanding of in-context learning and paves the way toward adapting large language models to the environment they are applied purely through meta-in-context learning rather than traditional finetuning.




Abstract:Large language models are transforming research on machine learning while galvanizing public debates. Understanding not only when these models work well and succeed but also why they fail and misbehave is of great societal relevance. We propose to turn the lens of computational psychiatry, a framework used to computationally describe and modify aberrant behavior, to the outputs produced by these models. We focus on the Generative Pre-Trained Transformer 3.5 and subject it to tasks commonly studied in psychiatry. Our results show that GPT-3.5 responds robustly to a common anxiety questionnaire, producing higher anxiety scores than human subjects. Moreover, GPT-3.5's responses can be predictably changed by using emotion-inducing prompts. Emotion-induction not only influences GPT-3.5's behavior in a cognitive task measuring exploratory decision-making but also influences its behavior in a previously-established task measuring biases such as racism and ableism. Crucially, GPT-3.5 shows a strong increase in biases when prompted with anxiety-inducing text. Thus, it is likely that how prompts are communicated to large language models has a strong influence on their behavior in applied settings. These results progress our understanding of prompt engineering and demonstrate the usefulness of methods taken from computational psychiatry for studying the capable algorithms to which we increasingly delegate authority and autonomy.